一、随机变量与分布函数
1、随机变量
(1)随机变量的定义:

(2)随机变量的分类:
①离散型随机变量。
②连续型随机变量。
③非离散非连续型随机变量。
2、分布函数


3、分布函数的性质
(1)非负性:

(2)规范性:

(3)单调不减性:

(4)右连续性:

4、例题


二、离散型随机变量及其分布
1、离散型随机变量

2、分布律(概率分布)

3、离散型随机变量的分布函数


4、几种常见的离散型分布
(1)0-1分布:

(2)二项分布:

(3)泊松分布:


(4)超几何分布:

(5)几何分布:

5、例题






三、连续型随机变量及其分布
1、连续型随机变量
(1)连续型随机变量的定义:

(2)概率密度函数的性质:

2、均匀分布
(1)定义:


(2)性质:

3、指数分布
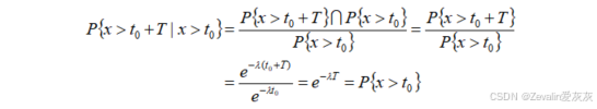
(1)定义:

(2)性质:


4、正态分布
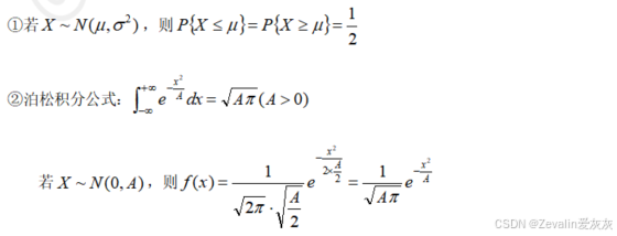
(1)定义:

(2)性质:



5、例题






四、随机变量函数的分布
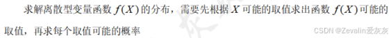
1、离散型随机变量函数的分布

2、连续型随机变量函数的分布


3、例题




