目录
[A 收缩映射示例](#A 收缩映射示例)
[A.1 非线性情况分析](#A.1 非线性情况分析)
[B RNN和LSTM在序列预测任务中表现不佳的原因](#B RNN和LSTM在序列预测任务中表现不佳的原因)
[C 嵌套预测细节说明](#C 嵌套预测细节说明)
上一篇文章:图神经网络分享系列-GGNN(GATED GRAPH SEQUENCE NEURAL NETWORKS)(二)
七、相关研究
最密切相关的成果是图神经网络(GNNs),前文已详细讨论。Micheli(2009)提出了另一紧密相关模型,其与GNNs的主要差异在于输出模块。GNNs已在多个领域应用(Gori等,2005;Di Massa等,2006;Scarselli等,2009;Uwents等,2011),但未在ICLR社区广泛使用。本文部分目标是将GNNs推广为一种实用且有趣的神经网络变体。
从GNNs到门控图序列神经网络(GG-NNs)的改进,可与Domke(2011)和Stoyanov等(2011)在结构化预测中的工作类比。他们将需收敛至稳定状态的信念传播替换为截断式信念传播更新,并通过训练使固定次数的迭代产生有效结果。类似地,递归神经网络(Goller & Kuchler,1996;Socher等,2011)扩展为树结构LSTM(Tai等,2015),与GG-NNs采用GRU更新而非标准GNN循环机制的目的一致,均旨在提升信息在图结构中的长期传播效率。
本文提出的"通过组合学习组件构建问题定制化神经网络"的核心思想可追溯至Hinton(1988)通过族谱结构组装神经网络以预测人际关系的早期研究。Hammer & Jain(2004)和Bottou(2014)也体现了类似理念。
图核方法(Shervashidze等,2011;Kashima等,2003)可用于基于核的图结构输入学习任务,但未见其同时学习核函数并生成序列的研究。Perozzi等(2014)通过随机游走将图转化为序列,再利用序列方法学习节点嵌入。Sperduti & Starita(1997)将图映射为向量后通过神经网络分类。
多项研究涉及图结构中节点表征的传播机制。Bruna等(2013)将卷积推广至图结构,其与GNNs的差异类似于卷积网络与循环网络的差异。Duvenaud等(2015)设计了可微分的图特征学习操作。Lusci等(2013)将无向图转为多组有向无环图(DAGs),并向各根节点内聚传播节点表征,训练集成模型。上述研究均聚焦单步问题。
GNNs及其扩展具备指针网络(Vinyals等,2015)的多数优势:当使用节点选择输出层时,可直接选取输入节点作为输出。主要区别在于:其一,GNNs显式利用图结构,虽降低通用性但可能增强泛化能力;其二,指针网络要求节点具备属性(如空间位置),而GNNs可仅通过图中位置定义节点,从而在另一维度上更具通用性。
门控图序列神经网络(GGS-NNs)与软对齐及注意力模型(如Bahdanau等,2014;Kumar等,2015;Sukhbaatar等,2015)存在两点关联:其一,公式7中的图表示利用上下文聚焦关键节点;其二,程序验证案例中的节点标注跟踪已解释节点,确保输出序列生成时覆盖所有输入节点。
八、讨论
GG-NN模型学到了什么?
通过类比逻辑推理方法来分析GG-NN模型的学习机制具有启发性。以bAbI任务为例,考察右侧示例所需的子集文本行。
逻辑推理与模型学习的对比
传统逻辑推理需要两个核心组件:故事中事实的逻辑编码,以及以推理规则形式编码的背景世界知识。例如:

任务编码与背景知识
当前的任务编码方式简化了故事到图结构的解析过程,但并未提供任何背景知识。GG-NN(图门控神经网络)模型可视为通过学习神经网络权重来隐式掌握这些知识。
实验结果与局限性
论文结果表明,GGS-NN(图门控序列神经网络)在具有内在图结构的问题上展现出良好的归纳偏置,其适用场景可能更为广泛。但若要进一步扩展应用范围,仍需克服以下限制:
- 输入时序与高阶关系:现有bAbI任务转换未考虑输入的时间顺序或三元及以上关系。改进方向可能包括串联多个GG-NN(每个边对应一个子网络),或将高阶关系表示为因子图。
- 非结构化输入处理:当前bAbI任务依赖符号化输入,理想情况应支持非结构化输入。潜在解决方案是将非结构化输入与隐向量融入GGS-NN框架,但需实验验证最佳实现方式。
动态推理优化
当前GGS-NN要求在接收全部事实后再处理问题,迫使网络预先推导所有事实后果并将相关信息存储于节点表征中。更优方案是让问题作为初始输入,动态推导回答问题所需的事实。
未来应用展望
GGS-NN的后续应用潜力广阔,重点方向包括:
- 端到端可学习系统:开发能学习程序语义属性或复杂图算法的系统。
- 知识库与数据库推理:应用于需基于知识库和数据库进行推理的问题。
- 结构化与深度学习的融合:结合结构化表征与深度学习算法,在利用已知结构的同时学习推理与扩展表征的方法。
该技术代表了向结构化表征与深度学习高效结合的重要一步。
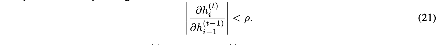
A 收缩映射示例
考虑一个具有N个节点{1, ..., N}的线性单隐藏单元循环结构GNN。为简化问题,忽略所有边标签和节点标签,等价于一个简单示例(,
)。在每一步时间
,隐藏状态
的更新规则如下:

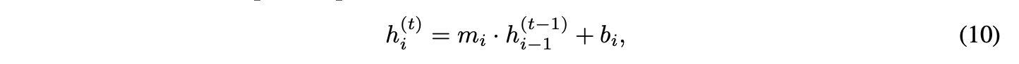
对于每个i,其中mi和bi是传播模型的参数。采用约定:当j ≤ 0时,hj循环指向h。定义h(t) = [h(t), ..., h(t)]⊤。

给定向量 b = [b₁, ..., b_N]ᵀ,可以表示为所有 I 的联合更新。

限制更新以定义欧几里得度量下的收缩映射
这意味着存在某个 ρ < 1,使得对于任意 h 和 h′,满足以下条件:

或者换种说法,

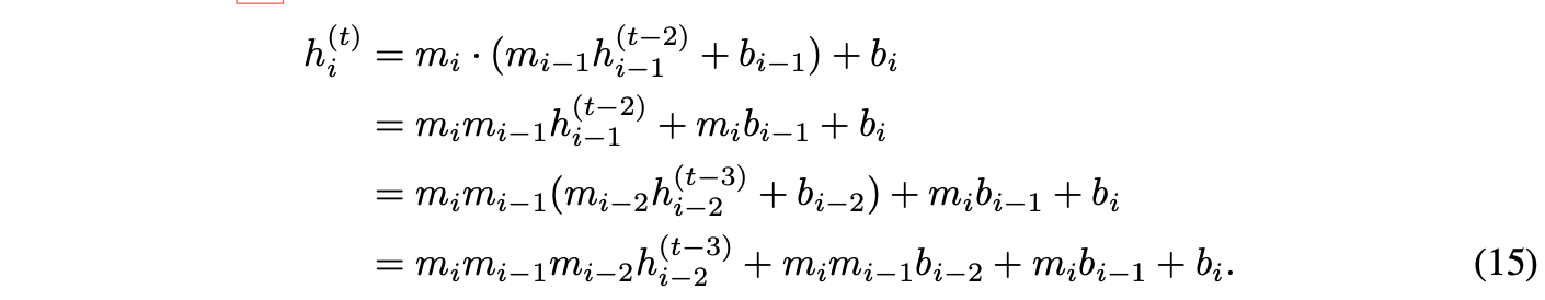
可以立即看出,这意味着对于每个 ( i ) 都有 ( |m_i| < ),只需令 ( h ) 为单位向量(除第 ( i-1 ) 位为 1 外其余全零),并令 ( h' ) 为零向量。展开公式 10 可得:

GNN模型中的节点标签与信息传播
在GNN模型中,节点标签 控制传播过程中使用的
和
的取值。
信息衰减与长程依赖限制
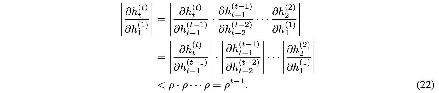
通过分析展开式并注意到所有 满足
,可以观察到:距离为
的节点标签信息会以速率
衰减。因此,在这种简单情况下,要求
为压缩映射的约束意味着模型无法维持长程依赖关系。
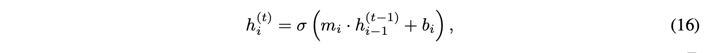
A.1 非线性情况分析
同样的分析方法适用于非线性更新情况。

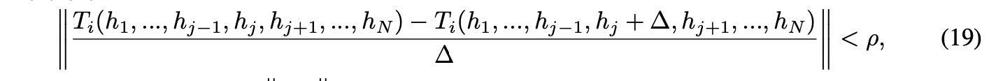
设σ为任意非线性函数,定义变换T(h) = σ(Mh + b)。将T(h)表示为[T₁(h), ..., T_N(h)]ᵀ,其中T_i(h^(t−1)) = h^(t)。根据收缩映射的定义(式13),T的雅可比矩阵的每个元素的绝对值均以ρ为界。

为理解这一点,考虑两个向量 h 和 h′ ,其中 h_k = h′_k (对于所有 k ≠ j ),且 h_j + ∆ = h′_j 。根据等式13的定义,对于所有 I,

因此

左侧表达式在∆趋近于0时定义为∂Ti/∂hj
当j= i-1时

由于特殊的循环图结构,对于所有其他 j,我们得到 ∂Ti/∂hj = 0。将该结论应用于时间步 t 的更新时,可得:

通过链式法则和特殊的图结构,可以分析h(1)的变化如何影响h(t)。

当 ρ < 1 时,该导数会随着 t 的增长以指数级速度趋近于 0。直观上,这意味着一个节点对远处另一个节点的影响会呈指数级衰减,因此难以建模长距离依赖关系。
B RNN和LSTM在序列预测任务中表现不佳的原因
RNN(循环神经网络)和LSTM(长短期记忆网络)在序列预测任务(如bAbI任务19、最短路径和欧拉回路)上的表现明显逊色于单输出任务。其中,欧拉回路任务是RNN和LSTM表现最差的任务之一。以下是可能的原因:

该描述定义了一个包含两个环路的图:主目标环路 3-7-5-8-6 和干扰子图 1-2-4-0。所有边均以双向形式呈现两次以保证对称性。任务要求根据给定的起始两个节点及方向(从第一个节点指向第二个节点)找到对应的环路。干扰子图的加入提高了任务难度,导致输出环路并非严格意义上的"欧拉环"。对于RNN和LSTM模型,上述训练样例会被进一步转换为令牌序列。

节点ID说明
此处节点ID与原始符号数据中的ID不同。RNN和LSTM会读取整个序列,并在读到ans标记时开始预测第一个输出。每个预测步骤中,模型将ans标记作为输入,并期望输出目标节点ID(视为类别标签)。当前设置中,每个预测步骤的输出不会作为下一步的输入。GGS-NN模型采用相同设置,仅将预测的节点标注传递至下一步,因此与RNN和LSTM的比较仍保持公平。如何利用历史预测改进基线模型和GGS-NN是未来研究方向。
长序列依赖挑战
本例中RNN和LSTM需处理的序列较长(接近80个标记后才开始预测)。部分预测严重依赖长程记忆,例如第三个预测步骤(原始符号数据中的节点3,RNN数据中的节点4)需要参考序列开头的边(3-7)和前几个标记(n4 e1 n8)。RNN难以保持长程记忆,LSTM表现更优但仍无法完全解决该问题。
非顺序性数据挑战
该任务的另一难点在于输出序列顺序与输入序列无关。即使边的排列顺序随机变化,目标输出序列也应保持不变。bAbI任务19和最短路径任务同理。GGS-NN擅长处理此类"静态"数据,而RNN和LSTM则不然。但GGS-NN如何适应RNN和LSTM擅长的时序序列数据仍需未来探索,这是第8节讨论的GGS-NN模型局限性之一。
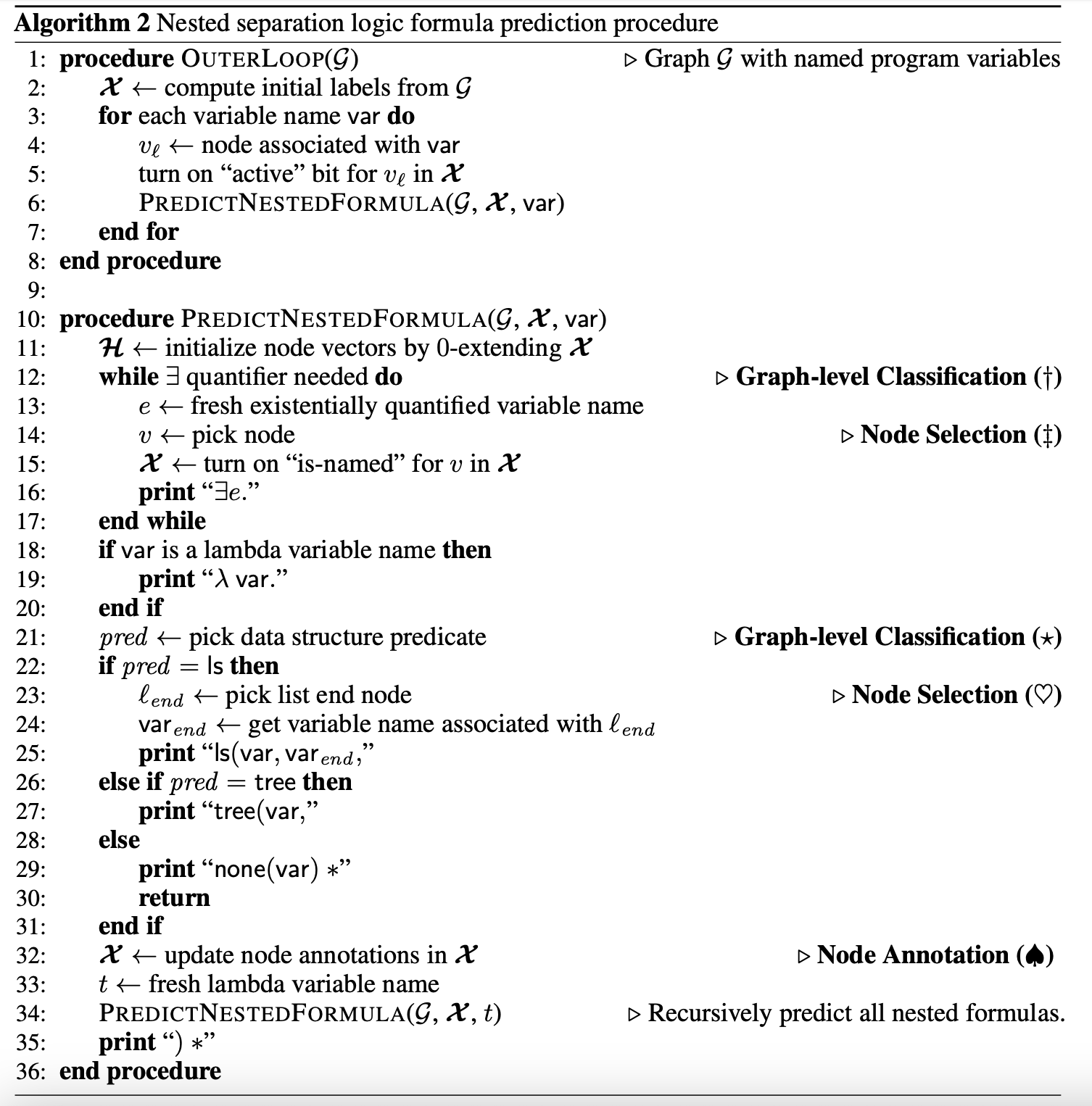
C 嵌套预测细节说明
列表的列表等数据结构属于嵌套数据结构,其中每个节点的val指针指向另一个数据结构。这类数据结构可通过允许谓词嵌套的方式在分离逻辑中表示。例如,列表的列表可表示为ls(x, y, λt → ls(t, NULL)),其中λt → ls(t, NULL)是一个Lambda表达式,表示对于从x到y的列表中每个节点,其val指针t满足ls(t, NULL)。因此存在一个从x到y的列表,其中每个节点指向另一个列表。非嵌套的简单列表可表示为ls(x, y, ⊤),其中⊤表示空谓词。与非嵌套情形不同(此时val指针总指向NULL),此处必须考虑val指针以描述和处理嵌套数据结构。
为使GGS-NN能够预测嵌套公式,将算法1调整为算法2。外层循环遍历每个命名变量一次,并生成以该变量关联节点为活动节点的嵌套谓词。嵌套预测过程与算法1类似。在递归调用嵌套预测过程前,第32行的节点标注更新不仅将当前结构中的节点标注为"已解释",还会将所有通过当前结构中节点val指针链接的节点标注为"活动"。以列表的列表为例,预测ls(x, y,后,标注步骤将x到y列表中的所有节点标注为"已解释",并将这些节点val指针指向的所有节点标注为"活动"。该行为并非硬编码到算法中,标注模型可从数据中学习此模式。
