The past and present of vitamin E

摘要
维生素E作为人和动物体必需且最主要的抗氧化剂之一,功效广泛,可用作维持机体正常功能,提高机体生育能力、免疫能力等,在医药、饲料等领域中占有重要地位。维生素E是我国的民生基础产业产品,也是国际市场上用途非常广泛、产销量极大的三大维生素支柱产品之一,市场前景广阔。自1938年维生素E被成功合成以来,维生素E的合成技术经历了80多年的历史,随着技术的发展逐渐形成了目前比较稳定的市场格局。本文总结了维生素E合成技术一路的发展,主要包括天然提取、化学全合成、生物全合成,以及生物-化学合成等,着重介绍了主流的化学全合成技术,以及新兴产业技术------合成生物技术引领的生物-化学合成技术。回顾了维生素E的发展历史并对未来发展进行了展望。
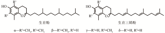
维生素E(Vitamin E)早在1922年被人们发现,因人和动物缺乏可能导致不孕[1],又被称为生育酚,是一种脂溶型维生素,其外观呈淡黄色或金黄色透明状黏稠液体。根据疏水性尾部的饱和度和芳香环上甲基数目和位置的不同,维生素E可分为八种类型,分别是α、β、γ、δ生育酚和α、β、γ、δ生育三烯酚(图1)[2]。在动物体内,生育酚和生育三烯酚均可被吸收,但α-生育酚与生育酚转移蛋白亲和度更高,可以被优先运输和吸收,因此α-生育酚是活性最高的维生素E形式[3-4],通常也被直接称作维生素E。
图1

图1 维生素E的结构
Fig. 1 The structure of vitamin E
维生素E是人和动物必需却不能自主合成的维生素,机体所需的维生素E需从食物中获取[5],常见的食物如大豆、小麦、玉米等植物种子中都富含维生素E[6]。维生素E在生物学系统中具有重要作用,它能够直接影响机体的一些正常生理功能,尤其表现在生殖、神经系统等方面[7]。维生素E能够促进性激素分泌,增加精子活力和数量,提高生育能力,预防流产[8];能够维持中枢神经系统、血管系统和免疫系统的正常代谢[9-10],抑制胆固醇合成,预防高血压,降低心脑血管疾病的风险,提高免疫力等[11-12]。维生素E作为重要的抗氧化物,能有效地抑制机体内的氧化反应,延缓细胞衰老[13-14],同时也能预防癌症,有效抑制肿瘤生长[15-16],对于老年痴呆症也具有疗效[17]。随着人们生活水平的提高,维生素E作为营养补充剂和抗氧化剂已经被广泛应用于饲料、医药、食品、化妆品等行业,尤其是作为饲料添加剂,其在维生素E全球市场中占比约70%,在畜禽免疫、预防疾病、促进畜禽的繁殖和提高产蛋率等方面有重要意义[18-19]。
维生素E按来源可分为天然维生素E和合成维生素E,目前市场上合成维生素E约占全球总量的80%以上,是国际市场上用途非常广泛、产销量又极大的主要维生素品种,与维生素C、维生素A一起被列为三大维生素支柱品种,也是我国的民生基础产品之一,市场前景广阔。本文作者总结了维生素E合成技术一路的发展,主要包括天然提取、化学全合成、生物全合成,以及生物-化学合成等,着重介绍了化学全合成技术,以及新兴产业技术-合成生物技术引领的生物-化学合成技术,回顾了维生素E的发展历史并对未来发展进行了展望。
1 维生素E传统生产技术的发展
1.1 天然提取技术
天然维生素E通常可以从富含维生素E的植物油、油料作物种子等的脱臭物和馏出物中提取[20],提取方法主要为溶剂萃取法、超临界流体萃取法、分子蒸馏法以及离子交换吸附法等[21-24]。国外对天然维生素E的研究和生产于20世纪80年代就达到了规模化,主要有美国ADM公司、德国HENKEL公司等。我国天然维生素E的生产工艺研究起步较晚,20世纪80年代开始陆续有企业和科研机构进行探索性研究开发,主要有中粮天科生物工程(天津)有限公司、江苏春之谷生物制品有限公司等企业,技术多数是以植物油脱臭馏出物为原料,提取方法原理大体相同,设备、试剂等有所不同[25]。
与人工合成的维生素E相比,天然维生素E的吸收率、生理活性更胜一筹,但维生素E含量在每克作物细胞中仅为微克级别[26],产量较低,不同来源的维生素E含量和成分组成也差异较大[27],生产成本高,产量难于满足各方面的需求。随着市场对维生素E需求的日益增长,从基础化工原料大规模生产的合成维生素E,因其产品结构更易于调控,且价格低廉,成为了目前制备维生素E所广泛采用的方法。
1.2 化学全合成技术
全球80%以上的维生素E为化学全合成品,主要生产方式为2,3,5-三甲基氢醌(以下简称"三甲基氢醌")(主环)和异植物醇(支链)两种中间体以"一步缩合法"合成(图2),收率高达95%以上[28],基本已经没有提升的空间[29]。
图2

图2 三甲基氢醌与异植物醇一步缩合生成维生素E
Fig. 2 One step condensation of trimethylhydroquinone with isophytol to produce vitamin E
三甲基氢醌和异植物醇的合成工艺直接影响维生素E产品的收率和质量。根据原料的价格水平和供应量的大小,制备三甲基氢醌和异植物醇有许多不同的合成路线可供选择,这也提高了整条路线抗御风险的能力。
1.2.1 主环三甲基氢醌的合成
三甲基氢醌为白色针状结晶,在维生素E结构中提供主环。根据原料的不同它的制备方法可大致分为巴豆醛法、偏三甲苯法、间甲苯酚法、叔丁基苯酚法、苯酚法、对二甲苯法、异佛尔酮法等(图3)。
图3

图3 三甲基氢醌的主要合成工艺
Fig. 3 The main synthesis technology of trimethylhydroquinone
巴豆醛法是巴斯夫股份公司(以下简称"巴斯夫")比较早期发展的三甲基氢醌的生产工艺。该法主要是以巴豆醛、戊酮为原料缩合得到三甲基环己烯酮,再通过脱氢生产三甲基苯酚,进而生产三甲基氢醌。该法的收率不高,这也导致了成本较高,因此逐渐被后期发展起来的合成技术所替代。
偏三甲苯法发展也比较早,该法由偏三甲苯经磺化、硝化、加氢、水解、氧化转化为2,3,5-三甲基苯醌,然后再加氢还原为三甲基氢醌。该法的原料价廉易得,但反应过程步骤多,产物收率低,生产过程中产生大量含酚废水,污染严重,目前该法已很少被企业采用[30]。目前,也有研究开发偏三甲苯直接氧化制备三甲基苯醌的技术,但廉价的工业氧化剂还有待发展[31]。
间甲苯酚法通常是以间甲苯酚为原料,加入甲醇发生烷基化得到2,3,6-三甲基苯酚,随后氧化为三甲基苯醌,最后加氢合成三甲基氢醌。该工艺流程较短、产品收率高、污染小,是国外普遍采用的合成技术[32]。原料间甲苯酚可由煤焦油或石油产品制取,来源较为丰富,但是我国间甲苯酚的产能规模比较小,多年来高度依赖于进口,原料的限制直接制约了该方法在国内的普及和发展。
叔丁基苯酚法于2012年底由能特科技有限公司(以下简称"能特科技")开发。该法是由叔丁基苯酚和甲醇为原料,以铁氧化物为催化剂,得到2,6-二甲基-4-叔丁基苯酚,再与甲醇反应,以氧化铝为催化剂合成2,3,6-三甲基-4-叔丁基苯酚,然后经硫酸脱掉叔丁基后精馏得到三甲基苯酚[33],然后合成三甲基氢醌。该法采用了较为易得的叔丁基苯酚为原料,缓解了间甲苯酚原料紧缺的情况。同年,能特科技开发了苯酚法。该法是由苯酚与甲醇发生甲基化反应产生2,6-二甲基苯酚,再经磺化、酯化、傅克烷基化、脱磺酸基等反应,生成三甲基氢醌[34]。该方法也绕过了间甲苯酚的原料紧缺问题,提供了另一种可行方案。
2014年,能特科技改进了其三甲基氢醌的生产工艺,开发出了对二甲苯法。该法是以对二甲苯为起始原料,经过磺化、中和、酸化等反应生成2,5-二甲基苯酚,再经甲基化得到三甲基苯酚,进而合成三甲基苯醌。相对其前两年提出的技术手段,该法合成路线更加简单,原料成本更低,具有更强的竞争力。
异佛尔酮法是近些年发展起来的三甲基氢醌合成技术。该法首先由丙酮聚合为关键中间体α-异佛尔酮,之后重排为β-异佛尔酮,然后氧化为茶香酮,茶香酮随后重排酰化、皂化水解得到三甲基氢醌[35-36]。该法原料廉价易得、工艺简单、污染小,是一种高效环保的生产工艺。然而,该法的转化率和选择性受反应条件影响较大,对操作要求较严格,对反应设备要求稍高,目前很多研究集中在其反应催化剂的改进方面以期提出更优的合成技术。
近年来,随着维生素E价格的下行,持续出现的新的主环合成路线不断挑战着传统合成工艺,这也促进了维生素E行业的持续发展。目前,国外生产三甲基氢醌的公司主要有德国巴斯夫、荷兰帝斯曼公司等,国内关于主环的研发曾一度成为国内企业的主要技术障碍,随着近年来的逐渐突破,展现出后来居上的趋势,主要的企业有能特科技、浙江新和成股份有限公司(以下简称"新和成")等。
1.2.2 侧链异植物醇的合成
异植物醇是一种无色油状液体,在维生素E结构中提供侧链。根据制备过程中重要中间体的不同,异植物醇的主要制备工艺可分为假紫罗兰酮工艺和芳樟醇工艺(图4)。
图4

图4 异植物醇的主要合成工艺
Fig. 4 The major synthesis technology of isophytol
假紫罗兰酮工艺是制备异植物醇的经典工艺。该法是柠檬醛与丙酮在碱性条件下缩合生成假紫罗兰酮,然后经炔化、氢化、缩合等最终合成异植物醇,共7步催化反应[37]。原料柠檬醛有天然提取和化学合成两种途径。天然提取方面,柠檬醛大多从山苍子油中以蒸馏法获得[38],工艺技术已趋于成熟。虽然我国山苍子资源相对丰富,但整体体量仍然较小、生产成本高,大规模生产难度大。化学合成是主流的生产方式,主要分为异丁烯法和脱氢芳樟醇重排法。异丁烯法也是巴斯夫使用的方法,是由异丁烯和甲醛"一锅法"合成,该过程由异丁烯和甲醛缩合得到3-甲基-3-丁烯-1-醇,其部分双键异构成异戊烯醇、部分氧化成3-甲基-3-丁烯醛,二者缩合重排得到柠檬醛,收率可达95%[39-40]。脱氢芳樟醇法主要是新和成、浙江医药股份有限公司(以下简称"浙江医药")等在使用,是脱氢芳樟醇在催化剂作用下直接重排生成柠檬醛,工艺步骤比较少,原料利用较充分[41]。假紫罗兰酮工艺整体思路比较简单,但由于柠檬醛原料基本被巴斯夫、新和成、可乐丽株式会社(日本)垄断,并且受限于丙酮原料用量大、回收能耗高、危险系数高等因素,应用难度比较高。
芳樟醇工艺是目前全球绝大多数异植物醇制备所采用的工艺,该工艺主要包括罗氏法、巴斯夫法、异戊二烯法、异戊醛法等。罗氏法以乙炔和丙酮为原料合成2-甲基-3-丁烯-2-醇(甲基丁烯醇),再经过加碳及氧化获得6-甲基-5-庚烯-2-酮(甲基庚烯酮);巴斯夫法以丙酮、异丁烯、甲醛为原料,在高温高压下一步合成6-甲基-6-庚烯-2-酮,它可以转位获得甲基庚烯酮,也可以氢化得到6-甲基-2-庚酮(甲基庚酮);异戊二烯法以异戊二烯和丙酮为原料,先发生加成反应合成氯代异戊烯,再与乙酰乙酸甲酯缩合生成甲基庚烯酮;异戊醛法以异戊醛和丙酮为原料,通过缩合、氢化、蒸馏后得到甲基庚酮[42-43]。甲基庚烯酮或甲基庚酮合成异植物醇的过程是一个碳链增长的过程,主要由甲基庚烯酮或甲基庚酮合成芳樟醇或二氢芳樟醇,再经缩合、炔化、氢化等7步催化反应,最终合成异植物醇[44-45]。
假紫罗兰酮工艺与芳樟醇工艺经多年发展已经基本在领域内被做到极致,各有优缺点,从规模化生产中间体假紫罗兰酮和芳樟醇的可行性和成本效益方面来看,芳樟醇工艺稍具优势。但总的来说,两者对设备要求高、技术门槛高、成本高。
1.3 生物技术合成
维生素E的生物合成途径在1979年被初步勾勒[46]。20世纪90年代,以拟南芥和集胞藻6803作为模式生物,维生素E合成途径中关键酶被克隆研究,维生素E合成途径逐渐被完善[47]。
维生素E生物合成的两个关键前体为尿黑酸(homogentisate,HGA)和植基二磷酸(phytyldi-phosphate,PDP)或牻牛儿基牻牛儿基二磷酸(geranylgeranyldiphosphate,GGDP)。HGA通过莽草酸途径合成,用于合成维生素E的亲水性头部,PDP和GGDP来自非甲羟戊酸途径,用于合成维生素E的疏水性尾部[48]。
莽草酸途径中,酪氨酸合成4-羟苯丙酮酸(ρ-hydroxyphenylpyruvate,HPP),HPP在4-羟苯丙酮酸双加氧酶(ρ-hydroxyphenyl-pyruvate dioxygena-se,HPPD)的催化下生成HGA。在非甲羟戊酸途径中,甘油醛-3-磷酸和丙酮酸形成1-脱氧-D-木酮糖-5-磷酸(1-deoxyl-D-xykilose-5-phosphate,DXP),DXP经过多步催化形成GGDP,GGDP在牻牛儿基牻牛儿基还原酶(geranylgeranyl reductase,GGR)作用下形成PDP,进一步参与生育酚的合成。
HGA在尿黑酸植基转移酶(homogentisate phytyltransferase,HPT)或尿黑酸牻牛儿基牻牛儿基转移酶(homogentisate geranylgeranyltransferase,HGGT)的催化下,与PDP或GGDP发生缩合,生成2-甲基-6-植基苯醌(2-methyl-6-phytylbenz-oquinone,MPBQ)或2-甲基-6-牻牛儿基牻牛儿基苯醌(2-methyl-6-geranylgeranylbenzoquinol,M-GGBQ)。MPBQ或MGGBQ在2-甲基-6-植基苯醌甲基转移酶(2-methyl-6-phytylbenzoquinone methyltransferase,MPBQMT)作用下能够生成2,3-二甲基-6-植基苯醌(2,3-dimethyl-6-phytyl-l,4-benzoquinone,DMPBQ)或2,3-二甲基-6-牻牛儿基牻牛儿基苯醌(2,3-dimethyl-6-geranylg-eranylbenzoquinol,DMGGBQ)。生育酚环化酶(tocopherol cyclase,TC)可以直接作用于MPBQ(MGGBQ),生成δ-生育酚(生育三烯酚),也可以催化DMPBQ(DMGGBQ)生成γ-生育酚(生育三烯酚)。δ-生育酚(生育三烯酚)和γ-生育酚(生育三烯酚)在γ-生育酚甲基转移酶(γ-tocopherol methyltransferase,γ-TMT)作用下分别转换为β-生育酚和α-生育酚(生育三烯酚)[22,49](图5)。
图5

图5 维生素E的生物合成
Fig. 5 The biosynthesis of vitamin E
目前,植物是维生素E生物合成的主要来源,但是其胞内的含量非常有限。随着生物技术的发展,研究者们大多在大豆、烟草、拟南芥等多种植物中尝试进行工程改造以提高维生素E总的含量或是调整各组成的比例,少数研究集中在藻类、细菌、真菌中。例如,Konda等[50]在大豆中过表达γ-TMT和大麦来源的MPBQMT,使总生育酚的含量提高了近10倍;Lu等[51]通过人工合成HPT 、TC 、TMT 多基因操纵子,同时利用RNA元件使操纵子转录本分割成稳定的单顺反子,显著提高了烟叶中α-生育酚和生育三烯酚的含量;Cahoon等[52]在拟南芥中过表达大麦的HGGT,使生育酚和生育三烯酚总量提高了10倍以上。Rodríguez‐Zavala等[53]通过优化Euglena gracilis的培养条件最高获得了3.7 mg/g α-生育酚(以干细胞重计)。Albermann等[54]通过异源表达拟南芥和蓝藻来源的基因在大肠杆菌中实现了δ-生育三烯酚的合成,但是产量很低,仅有15 μg/g(以干细胞重计)。于洪巍等[55]在酿酒酵母中成功构建了生育三烯酚合成通路,通过进一步截断叶绿体转运肽、过表达限速酶,构建得到高产α-生育三烯酚和γ-生育三烯酚的基因工程酵母菌株,其总生育三烯酚产量有2.09 mg/g(以干细胞重计)。
总的来说,直接通过生物技术获取维生素E的方式相比化学全合成,产量低、成本高,并不适合进行规模化生产。
2 新兴产业技术引领的维生素E产业新发展
化学全合成虽然是目前维生素E的主要生产方式,但该技术仍然存在很多问题,例如合成路径复杂、技术壁垒高、成本高,其生产设备大部分为专用设备,且安全风险较大等,新企业进入该行业领域非常困难,而且随着技术发展,很多厂商也因成本不占优势逐渐退出竞争,全球目前仅有数十家企业在生产,且长期集中在个别企业,形成了行业垄断,我国与国外多年来也竞争激烈。开发更安全、更低成本、更高效率的合成维生素E新技术,成为改善这一重要产品现状亟待解决的高难度问题。
随着各领域科学技术的发展,交叉学科的技术碰撞另辟蹊径,武汉大学联合能特科技发展了将生物与化学相结合,利用微生物发酵合成的法尼烯(C15H24)为前体化学合成关键中间体异植物醇(C20H40),然后一步合成维生素E的优势创新技术(图6)。
图6

图6 生物-化学法以生物基法尼烯合成维生素E合成关键中间体异植物醇
Fig. 6 Biochemical synthesis of biobased farnesene, a key intermediate in the synthesis of vitamin E
法尼烯是可用作柴油、香料和航空燃料前体的十五碳不饱和烯烃,主要来源于植物,但在植物中的含量比较低,以提取天然产物的方式大量用于化工市场的难度非常高;微生物发酵法因其不受季节、地域、气候等因素的影响,原料易获取、生产周期短、成本低廉、产物质量可控易纯化、安全性高,并且环境污染较少等优势,成为获得这一化合物的最佳方式。
武汉大学刘天罡团队[56-57]利用合成生物学手段发展了"定向合成代谢体系",该体系通过体外重建体系将体内的目标途径元件在体外进行系统重新搭建,以此排除复杂体内代谢网络对目标研究途径的干扰,得到目标途径实际催化过程参数,获得该代谢途径效率最优情况下的酶催化比例,该技术能够快速得出途径调控的关键节点及参数。以此为指导,快速对大肠杆菌体内关键基因定向改造,即实现了在大肠杆菌中利用葡萄糖和甘油等廉价碳源发酵合成法尼烯分子,并基本实现1 kg葡萄糖合成0.2kg法尼烯的理论得率(图7),而作为分泌到胞外的油状法尼烯可以通过简易分离纯化获得。新技术的建立,使得法尼烯能够通过较低成本获得。该技术的发展为新技术的建立提供了契机。2014年武汉大学与能特科技合作,利用上述制备得到的生物基法尼烯作为前体,通过化学合成法的摸索,实现了法尼烯与乙酰乙酸酯在金属铑催化下缩合获得法尼基丙酮,再经还原和乙炔化生成异植物醇,仅3步反应即可实现以芳樟醇、二氢芳樟醇或柠檬醛为前体的7步合成反应(图8)。
图7

图7 定向代谢合成指导的大肠杆菌高效合成法尼烯
Fig. 7 Engineering E. coli to overproduce farnesene by the Targeted Metabolic Engineering system
图8
图8 以法尼烯为前体的3步合成反应和以芳樟醇和二氢芳樟醇或柠檬醛为前体的7步合成反应比较
Fig. 8 Comparison of the production of vitamin E through the 3-step synthesis using farnesene as precursor with 7-step synthesis from linalool and dihydrolinalool or citral
与传统异植物醇合成技术相比,以生物基法尼烯为前体合成异植物醇从而合成维生素E的技术,大大减少了合成步骤,大幅降低了易爆原料的使用,更简单、高效、安全,在成本、设备、建设投资等方面要求都降低了很多,收率和产品纯度更高,生产过程能耗低、污染小、可再生,更加绿色环保,总之,优势显著,打破了经过80多年发展的维生素E化学全合成历史,直接挑战传统生产工艺。这也是能特科技能够在短短三年就跻身全球维生素E产业前列的重要原因。能特科技在湖北石首已建成规模位居全球前列的维生素E成产装置,资金投入和生产总成本大大降低的情况下,产能仍占有近1/4的全球维生素E市场,取得了显著的经济效益,改变了维生素E的全球市场格局[58]。
合成生物学作为新兴学科领域,其产业技术的发展为化工、制造业的发展搭建了快捷通道,并且提供了多种可能性,具备仅通过几个关键技术就能巧妙绕开充满壁垒的传统合成路线的能力。
3 回顾历史,展望未来
1922年,Evans和Bishop在小鼠中发现一种有助于恢复生育功能的脂溶性物质,该物质于1924年被命名为维生素E,于1936年被分离出结晶,1938年被瑞士化学家成功鉴定出结构并实现人工合成,自此维生素E的人工合成拉开序幕。1938---1947年,罗氏首次实现维生素E的工业化生产。1959年,我国维生素E合成技术首次由上海新亚药厂开发,但由于技术装备落后、生产配套差等因素,随后的发展非常缓慢。20世纪90年代,巴斯夫、帝斯曼、罗氏等少数几家欧美国际巨头凭借技术优势和资本实力,逐渐垄断了维生素E的国际市场。然而,这种垄断持续并不久,1999年,罗氏等多家维生素生产企业组成的卡特尔联盟因违反了反垄断法,受到巨额罚款,价格联盟被打破,全球维生素E产业重新洗牌,这一事件也为中国维生素E产业的发展提供了契机,我国的多家企业逐渐走上世界舞台。2003年,罗氏维生素E业务被帝斯曼收购。2007年,维生素E市场稳定形成了以国外帝斯曼、巴斯夫,国内新合成、浙江医药、北大医药五家企业独大的局面。由于产能过剩、价格持续下行等,成本较高的北大医药于2015年退出维生素E的市场竞争。2016年,由于我国环保检查力度加大,部分企业停产、限产,帝斯曼也出现装置和技术问题,维生素E行业发展趋紧。2017年,能特科技携新技术进入该行业,维生素E价格回落。2017年10月,巴斯夫柠檬醛工厂发生火灾事故,全球维生素E再次供应紧张、价格暴涨。2018年,巴斯夫复产、能特科技扩产,维生素E价格下跌,并逐渐维持在相对较低的水平(40~60元/kg),趋于稳定。维生素E行业随着多年的发展目前处于快速成长阶段后期,行业的成熟度已经比较高,每年全球消耗及产能需求趋于稳定。目前维生素E全球产能主要集中在帝斯曼、巴斯夫、浙江医药、能特科技、新和成、北沙制药等几家生产商。
以史为鉴,技术是发展的核心,成本是发展的动力,环保是发展的源泉,新技术的拓展,三者缺一不可。生物技术作为低成本、高回报、可持续发展的生产技术是新技术拓展可选的优势技术,目前在多个领域都显现出了其优势潜力,例如,基础化工品富马酸[59]、酮酸[60],生物塑料聚羟基脂肪酸酯[61],高端乳品添加剂酵母核苷酸[62-63],生物农药亦是河盲症治疗药物的阿维菌素[64],以及糖尿病治疗药物阿卡波糖[65-66]等。合成生物学技术作为其中交叉性较强的新兴产业技术,同时又具有强大的辐射能力,例如上述法尼烯生物合成高产平台也是萜类的高效合成平台,该平台技术具有高效普适性[67],可以拓展到多个法尼烯类似产物的高产上[68-70],这一领域的产业技术的发展能够为化工、制造业的发展搭建多个快捷通道。除了合成生物学技术之外,微生物发酵技术的稳定性、发酵水平及规模,相应的发酵配套设施及建设也将是下一步发展的方向。

符号说明
|------------|--------------------------------------------------------------------|
| DMGGBQ | 2, 3- dimethyl-6-geranylgeranylbenzoquinol,2, 3- 二甲基-6-牻牛儿基牻牛儿基苯醌; |
| DMPBQ | 2,3-dimethyl-5-phytyl-1,4-benzoquinone,2-甲基-5-植基苯醌; |
| DXP | 1-deoxyl-D-xykilose-5-phosphate,1-脱氧-D-木酮糖-5-磷酸; |
| GGDP | geranylgeranyldiphosphate,牻牛儿基牻牛儿基二磷酸; |
| HGA | homogentisic acid,尿黑酸; |
| HGGT | homogentisate geranylgeranyltransferase,尿黑酸牻牛儿基牻牛儿基转移酶; |
| HPP | ρ-hydroxyphenylpyruvate,苯丙酮酸; |
| HPPD | ρ-hydroxyphenyl-pyruvate dioxygenase,4-羟苯丙酮酸双加氧酶; |
| HPT | homogentisate phytyltransferase,尿黑酸植基转移酶; |
| MGGBQ | 2-methyl-6-geranylgeranylbenzoquinol,2-甲基-6-牻牛儿基牻牛儿基苯醌; |
| MPBQ | 2-methyl-6-phytylbenzoquinone,2-甲基-6-植基苯醌; |
| MPBQMT | 2-methyl-6-phytylbenzoquinone methyltransferase,2-甲基-6-植基苯醌甲基转移酶; |
| PDP | phytyldiphosphate,植基二磷酸; |
| TC | tocopherol cyclase,生育酚环化酶; |
| γ-TMT | γ-tocopherol methytransferase,γ-生育酚甲基转移酶 |