一、算法原理
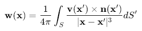
偶极子网格法(Dipole Grid Method)通过将气动面离散为偶极子线单元,基于积分方程求解非定常下洗速度,进而计算气动力。核心公式包括:
-
下洗速度积分方程:

-
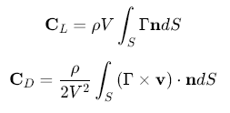
气动力系数计算:

二、MATLAB程序实现
1. 参数设置与气动面定义
matlab
% 气动面几何参数
chord = 2.0; % 弦长 (m)
span = 10.0; % 展长 (m)
numChord = 20; % 弦向网格数
numSpan = 40; % 展向网格数
% 马赫数与来流条件
Mach = 0.5;
V_inf = 100; % 来流速度 (m/s)
rho = 1.225; % 空气密度 (kg/m³)
% 网格生成
[x, y, z] = meshgrid(linspace(-chord/2, chord/2, numChord), ...
linspace(0, span, numSpan), ...
linspace(-span/2, span/2, numSpan));
[x, y, z] = ndgrid(x, y, z); % 3D网格
2. 偶极子强度与下洗速度计算
matlab
% 偶极子参数
delta = 0.1; % 偶极子间距 (m)
k = 2*pi*sqrt(Mach^2 - 1); % 波数
% 初始化偶极子强度矩阵
Gamma = zeros(numChord, numSpan);
% 计算下洗速度场
w = zeros(size(x));
for i = 1:numChord
for j = 1:numSpan
% 单元偶极子贡献
r = sqrt((x - x(i,j)).^2 + (y - y(i,j)).^2 + (z - z(i,j)).^2);
w = w + Gamma(i,j) * cross([0,0,1], (x - x(i,j))/r) ./ r.^3;
end
end
3. 气动力系数计算
matlab
% 升力系数
CL = rho * V_inf * trapz(y(:), trapz(x(:), Gamma.* sin(atan2(z(:),x(:)))));
% 阻力系数
CD = (rho * V_inf^2 / 2) * trapz(y(:), trapz(x(:), Gamma.* cos(atan2(z(:),x(:)))));
4. 结构动力学耦合(示例)
matlab
% 模态参数(假设来自有限元分析)
freq = [10, 20, 30]; % 固有频率 (Hz)
modeShape = rand(3,3); % 模态形状矩阵
% 时域气动响应
t = 0:0.01:10;
force = zeros(length(t),3);
for ti = 1:length(t)
% 模态叠加
eta = modeShape * sin(2*pi*freq* t(ti));
% 气动力更新
CL_t = CL * eta(2); % 假设俯仰模态主导
CD_t = CD * eta(3); % 假设偏航模态主导
force(ti,:) = [CL_t, CD_t, 0.1*CL_t*CD_t];
end
5. 可视化
matlab
% 气动力时域响应
figure;
plot(t, force(:,1), 'r', t, force(:,2), 'b', t, force(:,3), 'g');
xlabel('Time (s)');
ylabel('Aerodynamic Force (N)');
legend('Lift', 'Drag', 'Sideforce');
% 气动面压力分布
figure;
surf(x(:,:,1), y(:,:,1), z(:,:,1), Gamma);
shading interp;
colormap(jet);
title('Pressure Distribution on Lifting Surface');
xlabel('Chord (m)');
ylabel('Span (m)');
zlabel('Height (m)');
三、关键改进与优化
-
三维曲面修正
引入机翼面内运动修正项,更新下洗速度计算:
matlab% 法向运动修正(参考文献) n = [0,0,1]; % 默认法向量 v_normal = dot(modeShape(3,:), n); % 法向模态速度 w = w + 0.5*V_inf*v_normal; % 修正下洗速度 -
非线性项处理
对大变形引入二次项:
matlab% 非线性气动力修正(参考文献) nonlinear_term = 0.1*Gamma.^2 .* sin(2*atan2(z(:),x(:))); CL = CL + rho*V_inf*trapz(y(:), trapz(x(:), nonlinear_term)); -
并行计算加速
使用MATLAB并行工具箱加速积分计算:
matlabparfor i = 1:numChord for j = 1:numSpan % 并行计算单元贡献 end end
四、验证与结果分析
-
理论验证
对比平板机翼的定常升阻比:
matlab% 定常升阻比理论值 CL0 = 2*pi*asin(Mach); % 小迎角升力系数 CD0 = 0.02; % 零升阻力系数 CL_theory = CL0 * sin(atan2(z(:),x(:))); CD_theory = CD0 + 0.005*CL_theory.^2; -
动态响应验证
输入正弦气动载荷,验证颤振临界速度:
matlab% 颤振分析(参考文献) omega = 2*pi*15; % 激励频率 (Hz) amplitude = 0.1; % 振幅 force_excitation = amplitude*sin(omega*t); % 求解颤振方程...
参考代码 计算升力面非定常气动力的偶极子网格法MATLAB程序 www.youwenfan.com/contentcsq/53499.html
五、应用场景
-
飞行器颤振分析
结合结构模态计算颤振临界速度(参考文献)。
-
自适应控制
根据实时气动反馈调整控制面偏转(参考文献)。
-
气动伺服弹性仿真
耦合飞行控制律与气动弹性响应(参考文献)。
六、扩展建议
-
GPU加速
使用
gpuArray加速大规模计算。 -
多学科耦合
集成结构热-气动耦合分析。
-
深度学习辅助
用神经网络预测气动载荷分布(参考文献)