大学院-筆記試験練習:线性代数和数据结构(22)
- 1-前言
- 2-线性代数-题目
- 3-线性代数-参考答案
- 4-数据结构-题目
- 【問題1】連結リストの実装と操作(相似①)
- 【問題2】ソートアルゴリズムの性質(相似②)
- 【問題3】スタックとキューの操作列(予測①)
- 【問題4】探索アルゴリズムと実装(予測②)
- 5-数据结构-参考答案
- [二、【问1】连结リスト(Linked List)](#二、【问1】连结リスト(Linked List))
-
- (1)在问什么?(中文)
-
- [✅ 日文答案(评分点写法)](#✅ 日文答案(评分点写法))
- (2)在问什么?(中文)
-
- 思路(你脑中要这样想)
- [✅ 日文答案](#✅ 日文答案)
- (3)在问什么?(中文)
-
- 合并过程(你心里要这样走)
- [✅ 日文答案(按顺序)](#✅ 日文答案(按顺序))
- (4)在问什么?(中文)
-
- [✅ 日文答案(评分点)](#✅ 日文答案(评分点))
- 三、【问2】排序算法
-
- 题目在干嘛?(中文)
- (1)
-
- [✅ 日文答案](#✅ 日文答案)
- (2)
-
- [✅ 日文答案](#✅ 日文答案)
- (3)
-
- [✅ 日文答案](#✅ 日文答案)
- 四、【问3】哈希(Hashing)
-
- (1)在问什么?(中文)
-
- 实际算一遍(关键)
- [✅ 日文答案](#✅ 日文答案)
- (2)在问什么?(中文)
-
- 关键理解
- [✅ 日文答案](#✅ 日文答案)
- 【問題1】連結リスト
-
-
- 你写的:
- 这题在问什么(再确认一次)
- [✅ (1) 是否正确?](#✅ (1) 是否正确?)
- [⚠️ (2) 是否正确?](#⚠️ (2) 是否正确?)
-
- 【問題2】ソートアルゴリズム
- 【問題3】スタック/キュー
-
-
- 我帮你复盘一次(你是怎么想对的)
- [(1) スタック(LIFO)](#(1) スタック(LIFO))
- [(2) キュー(FIFO)](#(2) キュー(FIFO))
-
- 【問題4】DFS
-
- [(1) 你写的核心意思是:](#(1) 你写的核心意思是:)
-
- [✅ 是否正确?](#✅ 是否正确?)
- [(2) 你写:](#(2) 你写:)
-
- 条件:
- [✅ 判断](#✅ 判断)
- 6-总结
1-前言
为了升到自己目标的大学院,所作的努力和学习,这里是线性代数和数据结构部分。

2-线性代数-题目

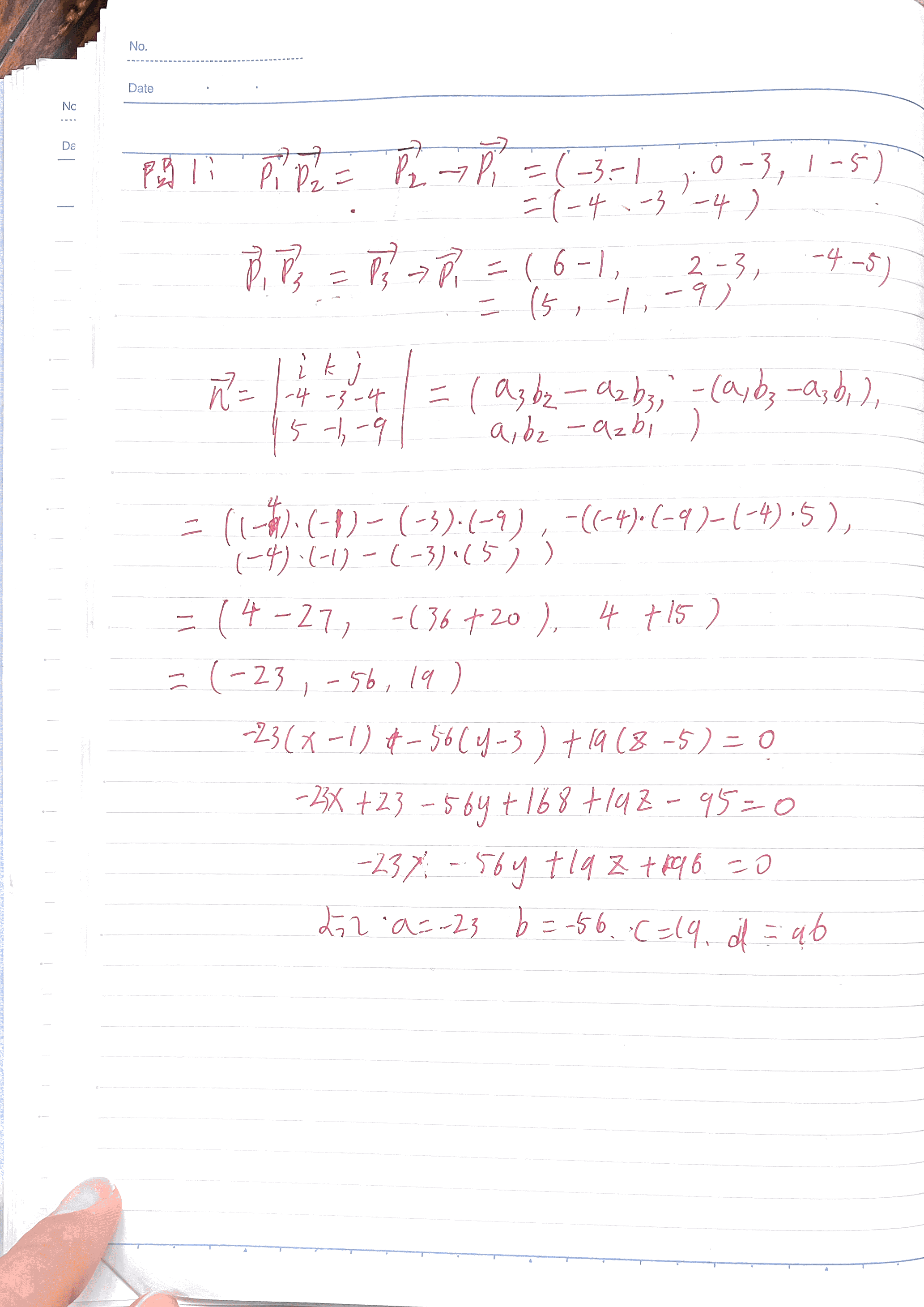
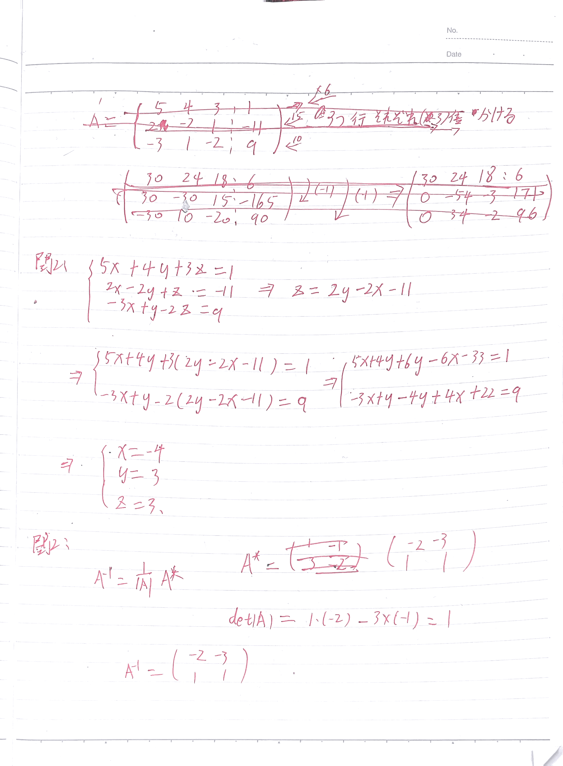
3-线性代数-参考答案







4-数据结构-题目


【問題1】連結リストの実装と操作(相似①)
n 個の整数 (x_1, x_2, \dots, x_n) からなる連結リストを,
以下の実装方法 A および実装方法 B により実現する。
- 実装方法A:先頭要素への参照のみを保持する。
- 実装方法B:先頭要素への参照と末尾要素への参照の両方を保持する。
以下の問いに答えよ。
(1)
実装方法Bにより実現された連結リストにおいて,
「新しい要素を末尾に追加し,先頭の要素を削除する」
という操作を繰り返すデータ構造として最も適切なものを答えよ。
(2)
実装方法Aおよび実装方法Bについて,
末尾の要素を参照するために必要な最悪時間計算量 を,
要素数 n を用いてオーダー表記でそれぞれ答えよ。
(3)
実装方法Aで実現された 2 つの連結リスト list1, list2 が与えられる。
list1 および list2 はいずれも降順に整列されている。
次の処理により,2 つの連結リストを 1 つに統合したとき,
得られる連結リストの要素を先頭から順にすべて示せ。
(※ 擬似コード省略)
【問題2】ソートアルゴリズムの性質(相似②)
要素数 n の配列を昇順にソートするアルゴリズムについて考える。
以下の問いに答えよ。
(1)
最悪時間計算量が (O(n \log n)) であり,
かつ 安定なソートであるアルゴリズムの名称を 1 つ答えよ。
(2)
最悪時間計算量が (O(n^2)) であり,
かつ 不安定なソートであるアルゴリズムをすべて答えよ。
(3)
最悪時間計算量が (O(n^2)) であり,
かつ 安定なソートであるアルゴリズムをすべて答えよ。
【問題3】スタックとキューの操作列(予測①)
空のデータ構造 D に対して,以下の操作をこの順に行う。
- push(3)
- push(5)
- pop()
- push(7)
- pop()
- pop()
(1)
D が スタック として実装されているとき,
pop 操作によって取り出される値を,出現順にすべて示せ。
(2)
D が キュー として実装されているとき,
pop(dequeue)操作によって取り出される値を,出現順にすべて示せ。
【問題4】探索アルゴリズムと実装(予測②)
連結な無向グラフ (G = (V, E)) に対して,
深さ優先探索(DFS)を行うことを考える。
(1)
DFS を再帰呼び出し によって実装する場合と,
明示的なスタック を用いて実装する場合について,
探索順序が一致するかどうかを簡潔に述べよ。
(2)
隣接リスト表現を用いた DFS の*
5-数据结构-参考答案
二、【问1】连结リスト(Linked List)
(1)在问什么?(中文)
用实现方法B (有
top指向头、rear指向尾)
- 新元素 加在末尾
- 删除 从头部删
这种"行为模式"对应哪一种抽象数据结构?
👉 本质:
- 先进先出(FIFO)
- 尾进、头出
✅ 日文答案(评分点写法)
① キュー
(2)在问什么?(中文)
在实现方法A / B中,
"寻找末尾元素"最坏情况下要花多少时间?
思路(你脑中要这样想)
- 方法A:只有
top,不知道尾巴在哪
→ 只能从头一个一个走 - 方法B:有
rear,直接指向尾
✅ 日文答案
-
実装方法A:
O(n)
-
実装方法B:
O(1)
(3)在问什么?(中文)
给了你两个按降序排列的连结リスト:
- list1:7 → 5 → 3
- list2:6 → 4
函数 searchTwoList 的作用是:
👉 把两个"已排序的链表"合并成一个"已排序的链表"
合并过程(你心里要这样走)
- 比较 7 和 6 → 选 7
- 比较 5 和 6 → 选 6
- 比较 5 和 4 → 选 5
- 比较 3 和 4 → 选 4
- 剩下 3
✅ 日文答案(按顺序)
7 → 6 → 5 → 4 → 3
(4)在问什么?(中文)
上面这个"合并两个链表"的函数
在最坏情况下要比较多少次?
👉 每次递归都会"至少删掉一个节点"
👉 两个表全部扫完为止
✅ 日文答案(评分点)
O(n + m)
(n:list1 的元素数,m:list2 的元素数)
三、【问2】排序算法
题目在干嘛?(中文)
不是问你"这个算法是什么",
而是:
给你「最坏时间复杂度 + 是否稳定」
→ 让你反推出"有哪些算法符合"
(1)
最坏时间 O(n log n) 且 稳定
✅ 日文答案
⑤ マージソート
(2)
最坏时间 O(n²) 且 不安定
✅ 日文答案
② 選択ソート,⑥ クイックソート
(注意:快速排序在最坏情况下是 n²,且不稳定)
(3)
最坏时间 O(n²) 且 安定
✅ 日文答案
① バブルソート,③ 挿入ソート
四、【问3】哈希(Hashing)
(1)在问什么?(中文)
哈希函数:
h(a) = a \\bmod 3
从前往后插入,第一个发生冲突的是谁?
实际算一遍(关键)
| 元素 | mod 3 |
|---|---|
| 10 | 1 |
| 5 | 2 |
| 6 | 0 |
| 4 | 1 ← ⚠️ 和 10 冲突 |
✅ 日文答案
4
(2)在问什么?(中文)
如果完全没有冲突 ,
查找一个元素最坏要多久?
关键理解
- 无冲突 = 直接定位
- 不需要遍历
✅ 日文答案
O(1)
【問題1】連結リスト
你写的:
(1) キュー
(2) O(n), O(1)
这题在问什么(再确认一次)
-
实现方法B
- 末尾追加
- 先头删除
→ 行为是否符合某种抽象数据结构?
✅ (1) 是否正确?
✔ 完全正确
原因(评分点逻辑):
- 尾进(enqueue)
- 头出(dequeue)
- FIFO
👉 答案关键词就是 キュー
⚠️ (2) 是否正确?
你写的是:
O(n), O(1)
结论:逻辑正确,但考试上必须"分开写清楚"
标准写法(建议你改成这样):
- 実装方法A:O(n)
- 実装方法B:O(1)
📌 为什么要分开?
非常在意**"哪个实现 → 哪个复杂度"**
只写一串 O(n), O(1) 有时会被认为"不严谨"。
【問題2】ソートアルゴリズム
(1) 你写:
マージソート
题目要求:
- 最悪時間計算量:O(n log n)
- 安定
✅ 判断
✔ 完全正确
-
マージソート:
- 最坏 O(n log n)
- 安定
👉 这是标准答案
(2) 你写:
選択ソート、クイックソート、バブルソート(被你划掉)
⚠️ 这里是唯一一个"有风险"的地方
正确逻辑应该是:
-
条件:
- 最悪 O(n²)
- 不安定
各算法性质:
| 算法 | 最坏 | 安定性 |
|---|---|---|
| 選択ソート | O(n²) | ❌ 不安定 |
| クイックソート | O(n²) | ❌ 不安定 |
| バブルソート | O(n²) | ✅ 安定 |
👉 バブルソート不应该出现
❌ 风险点
你虽然划掉了バブルソート ,
但如果考试中写出来再划,有被当"答案不明确"扣分的可能。
✅ 标准答案写法
選択ソート,クイックソート
(3) 你写:
挿入ソート
条件:
- 最坏 O(n²)
- 安定
⚠️ 是否完整?
理论上还缺一个
| 算法 | 是否满足 |
|---|---|
| 挿入ソート | ✅ |
| バブルソート | ✅ |
判分习惯:
-
如果题目写「すべて答えよ」
- ❌ 少一个 = 扣分
-
如果题目写「答えよ」
- ⚠️ 有时给部分分
📌 稳妥写法(推荐):
挿入ソート,バブルソート
【問題3】スタック/キュー
你写的:
(1) [5, 7, 3]
(2) [3, 5, 7]
我帮你复盘一次(你是怎么想对的)
操作序列是:
push(3)
push(5)
pop()
push(7)
pop()
pop()
(1) スタック(LIFO)
- pop 顺序:
5 → 7 → 3
✔ 你写的 正确
(2) キュー(FIFO)
- pop 顺序:
3 → 5 → 7
✔ 你写的 正确
【問題4】DFS
(1) 你写的核心意思是:
DFS 用递归时,调用栈就是隐式的 stack
用显式 stack 时,本质相同,顺序一致
✅ 是否正确?
✔ 完全正确,而且是高分答案
喜欢的关键词你基本都写出来了:
- 再帰呼び出し
- スタック
- 処理順序が一致
📌 如果更"满分化",可以补一句:
隣接頂点の処理順が同一である場合
(2) 你写:
O(n + m)
条件:
- DFS
- 隣接リスト
✅ 判断
✔ 完全正确
6-总结
训练成长。!!