目录
[一、矩阵基础概念:认识 "数表" 的世界](#一、矩阵基础概念:认识 “数表” 的世界)
[1.1 矩阵的定义](#1.1 矩阵的定义)
[1.2 算法中高频的特殊矩阵](#1.2 算法中高频的特殊矩阵)
[1.2.1 方阵](#1.2.1 方阵)
[1.2.2 三角矩阵](#1.2.2 三角矩阵)
[1.2.3 对角矩阵](#1.2.3 对角矩阵)
[1.2.4 单位矩阵](#1.2.4 单位矩阵)
[2.1 矩阵加法与减法](#2.1 矩阵加法与减法)
[2.2 矩阵数乘](#2.2 矩阵数乘)
[2.3 线性运算的运算规律](#2.3 线性运算的运算规律)
[3.1 矩阵乘法的前提条件](#3.1 矩阵乘法的前提条件)
[3.2 矩阵乘法的结果维度](#3.2 矩阵乘法的结果维度)
[3.3 矩阵乘法的核心公式](#3.3 矩阵乘法的核心公式)
[3.4 实例解析:手把手计算矩阵乘法](#3.4 实例解析:手把手计算矩阵乘法)
[3.5 矩阵乘法的重要运算规律](#3.5 矩阵乘法的重要运算规律)
[3.5.1 不满足交换律](#3.5.1 不满足交换律)
[3.5.2 满足结合律](#3.5.2 满足结合律)
[3.5.3 满足分配律](#3.5.3 满足分配律)
[3.5.4 单位矩阵的特殊性质](#3.5.4 单位矩阵的特殊性质)
[四、洛谷真题实战 1:基础矩阵乘法(B2105)](#四、洛谷真题实战 1:基础矩阵乘法(B2105))
[4.1 题目描述](#4.1 题目描述)
[4.2 解题思路](#4.2 解题思路)
[4.3 C++ 代码实现](#4.3 C++ 代码实现)
[4.4 代码说明](#4.4 代码说明)
[五、洛谷真题实战 2:矩阵快速幂(P3390)](#五、洛谷真题实战 2:矩阵快速幂(P3390))
[5.1 矩阵快速幂的核心思想](#5.1 矩阵快速幂的核心思想)
[5.2 题目描述](#5.2 题目描述)
[5.3 解题思路](#5.3 解题思路)
[5.4 C++ 代码实现](#5.4 C++ 代码实现)
[5.5 代码关键说明](#5.5 代码关键说明)
[6.1 矩阵加速的核心思想](#6.1 矩阵加速的核心思想)
[6.2 实战:矩阵加速求解斐波那契数列(洛谷 P1962)](#6.2 实战:矩阵加速求解斐波那契数列(洛谷 P1962))
[6.2.1 构造转移矩阵](#6.2.1 构造转移矩阵)
[6.2.2 C++ 代码实现](#6.2.2 C++ 代码实现)
前言
线性代数是算法学习中的重要数学基础,而矩阵乘法更是其中的核心内容,不仅是理解后续矩阵快速幂、矩阵加速的前提,还广泛应用于图论邻接矩阵、动态规划优化、数列求解等算法场景。本文将从矩阵的基本概念出发,一步步拆解矩阵乘法的定义、运算规则,再结合洛谷经典真题,手把手实现矩阵乘法、矩阵快速幂的 C++ 模板,同时讲解矩阵加速在数列求解中的实际应用,让零基础的同学也能彻底吃透矩阵乘法!下面就让我们正式开始吧!
一、矩阵基础概念:认识 "数表" 的世界
在正式学习矩阵乘法前,我们首先要搞清楚什么是矩阵,以及算法中常用的特殊矩阵有哪些。这些基础概念是后续所有运算的前提,理解透彻才能避免后续踩坑。
1.1 矩阵的定义
简单来说,矩阵就是由n×m 个数字 排成的n 行 m 列的数表,我们通常用大写字母 A、B、C 来表示矩阵,其中第 i 行第 j 列的元素记作aij。其标准形式如下:

比如一个 2 行 3 列的矩阵可以表示为
,这就是一个 2×3 矩阵。
在算法中,矩阵的一个典型应用就是图论的邻接矩阵------ 用一个 n×n 的矩阵存储 n 个节点的图,若节点 i 和节点 j 之间有边,则aij=1,否则为 0,通过邻接矩阵可以快速判断节点间的连通性,而邻接矩阵的运算本质就是矩阵乘法。
1.2 算法中高频的特殊矩阵
在矩阵乘法的运算中,我们会经常遇到几种特殊的方阵(行数 = 列数的矩阵),它们各自有独特的性质,更是矩阵快速幂、单位矩阵运算的关键,下面逐个讲解,结合例子理解更直观。
1.2.1 方阵
行数等于列数 的矩阵称为方阵,比如 4×4、3×3 矩阵都是方阵。方阵中从左上角到右下角的元素构成主对角线,后续的三角矩阵、对角矩阵都是基于方阵的主对角线定义的。例:4 阶方阵(4×4)

1.2.2 三角矩阵
三角矩阵分为上三角矩阵 和下三角矩阵,核心是主对角线一侧的元素全为 0:
- 上三角矩阵 :主对角线左下方的元素均为 0,只有主对角线和右上方有非 0 元素;
- 下三角矩阵 :主对角线右上方的元素均为 0,只有主对角线和左下方有非 0 元素。
例:4 阶上三角矩阵

例:4 阶下三角矩阵

1.2.3 对角矩阵
主对角线之外的元素均为 0的方阵称为对角矩阵,简单说就是只有主对角线上有非 0 元素,其余位置全 0。对角矩阵是三角矩阵的特殊形式,上三角和下三角矩阵的交集就是对角矩阵。例:4 阶对角矩阵

1.2.4 单位矩阵
主对角线的元素均为 1 的对角矩阵称为单位矩阵,通常用字母 E 表示。单位矩阵是矩阵乘法中的 "数字 1",任何矩阵乘以单位矩阵,结果都等于原矩阵,即AE=EA=A,这一性质是矩阵快速幂的核心基础,一定要牢记!
例:4 阶单位矩阵

二、矩阵的基本运算:加减与数乘
在学习矩阵乘法前,我们先掌握矩阵的线性运算 ------ 加法、减法和数乘,这些运算规则简单,是理解复杂运算的铺垫,核心要求是同型矩阵(行数和列数都相同的矩阵)。
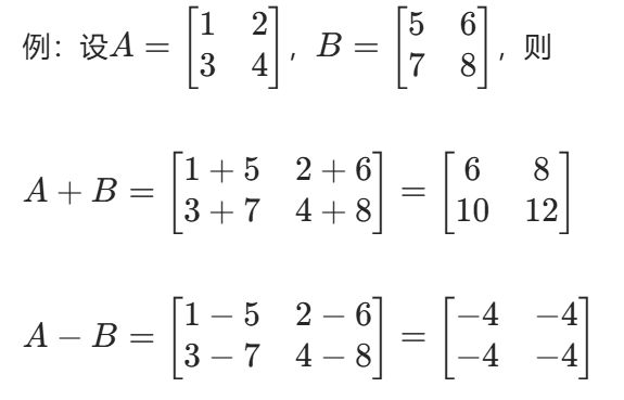
2.1 矩阵加法与减法
矩阵加减法的规则非常直观:两个同型矩阵相加减,结果为对应位置的元素分别相加减。
- **前提:**必须是同型矩阵,比如 2×3 矩阵只能和 2×3 矩阵相加减,3×3 矩阵只能和 3×3 矩阵相加减,不同型矩阵无法进行加减运算;
- **结果:**相加减后得到的矩阵,行数和列数与原矩阵保持一致。

2.2 矩阵数乘
矩阵数乘指的是一个数字乘以一个矩阵 ,规则是:矩阵中的每一个元素都乘以这个数字,结果矩阵的行数和列数不变。这里的 "数" 可以是整数、小数,正数、负数均可,数乘是对矩阵的整体缩放,不会改变矩阵的维度。

2.3 线性运算的运算规律
矩阵的加法和数乘满足交换律、结合律和分配律,和我们小学学的数字运算规律基本一致,记起来很容易:
- **交换律:**A+B=B+A;
- 结合律:(A+B)+C=A+(B+C),k×(l×A)=(k×l)×A;
- **分配律:**k×(A+B)=k×A+k×B,(k+l)×A=k×A+l×A。
这些规律看似简单,但在后续的矩阵运算化简中会经常用到,熟悉后能大幅提高运算效率。
三、矩阵乘法:核心定义与运算规则
矩阵乘法是本文的核心重点 ,也是和普通数字运算差异最大的部分,其规则不是简单的对应元素相乘,而是 "行乘列求和",且有严格的维度要求,很多同学初次学习容易出错,建议结合例子反复理解。
3.1 矩阵乘法的前提条件
矩阵 A 和矩阵 B 能够相乘的唯一前提 :矩阵 A 的列数 = 矩阵 B 的行数。如果不满足这个条件,矩阵乘法无意义,无法进行运算。比如:
- A 是 n×s 矩阵(n 行 s 列),B 是 s×m 矩阵(s 行 m 列):A 的列数 = s,B 的行数 = s,满足条件,可以相乘;
- A 是 2×3 矩阵,B 是 3×4 矩阵:满足条件,可以相乘;
- A 是 2×3 矩阵,B 是 2×3 矩阵:A 的列数 = 3,B 的行数 = 2,不满足条件,无法相乘。
3.2 矩阵乘法的结果维度
若 A 是 n×s 矩阵,B 是 s×m 矩阵,那么 A×B 的结果是一个n×m 矩阵 (n 行 m 列),记为 C=AB。
简单总结:结果矩阵的行数等于第一个矩阵的行数,列数等于第二个矩阵的列数,而中间的 "s" 是两个矩阵的 "公共维度",是行乘列求和的次数。
例:2×3 矩阵 × 3×4 矩阵 = 2×4 矩阵;3×5 矩阵 ×5×2 矩阵 = 3×2 矩阵。
3.3 矩阵乘法的核心公式
设 C=AB,其中 A 是 n×s 矩阵,B 是 s×m 矩阵,C 是 n×m 矩阵,那么 C 中第 i 行第 j 列的元素cij的计算公式为:

用通俗的语言解释就是:cij等于矩阵 A 的第 i 行所有元素,与矩阵 B 的第 j 列对应位置元素分别相乘后,再将所有乘积相加 ,也就是我们常说的 "行乘列求和"。
这里的 k 从 1 到 s,对应 A 的第 i 行有 s 个元素,B 的第 j 列有 s 个元素,刚好一一对应相乘,求和后得到cij。
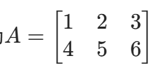
3.4 实例解析:手把手计算矩阵乘法
光看公式和定义容易抽象,我们用一个具体的例子,手把手计算矩阵乘法,把 "行乘列求和" 的规则落地,看完这个例子,矩阵乘法的计算就基本掌握了。

步骤 1:判断是否可乘 + 确定结果维度A 的列数 = 2,B 的行数 = 2,满足条件;结果 C 是 3×3 矩阵(n=3,m=3)。
步骤 2:逐行逐列计算cijC 是 3 行 3 列,需要计算 9 个元素,逐个计算:
- c11:A 第 1 行 × B 第 1 列 → 1×7+2×10=7+20=27
- c12:A 第 1 行 × B 第 2 列 → 1×8+2×11=8+22=30
- c13:A 第 1 行 × B 第 3 列 → 1×9+2×12=9+24=33
- c21:A 第 2 行 × B 第 1 列 → 3×7+4×10=21+40=61
- c22:A 第 2 行 × B 第 2 列 → 3×8+4×11=24+44=68
- c23:A 第 2 行 × B 第 3 列 → 3×9+4×12=27+48=75
- c31:A 第 3 行 × B 第 1 列 → 5×7+6×10=35+60=95
- c32:A 第 3 行 × B 第 2 列 → 5×8+6×11=40+66=106
- c33:A 第 3 行 × B 第 3 列 → 5×9+6×12=45+72=117
步骤 3 :整理结果矩阵C=AB=
3.5 矩阵乘法的重要运算规律
矩阵乘法的运算规律和普通数字乘法有很大差异,最核心的区别是不满足交换律,这一点是算法编程中必须注意的,一旦顺序写错,结果完全错误!下面总结矩阵乘法的核心规律:
3.5.1 不满足交换律
一般情况下,AB≠BA,甚至 BA 可能无意义。
原因有两点:
- **维度不允许:**比如 A 是 2×3 矩阵,B 是 3×4 矩阵,AB 是 2×4 矩阵,但 BA 的话,B 的列数 = 4,A 的行数 = 2,不满足相乘条件,BA 无意义;
- **维度允许但结果不同:**比如 A 和 B 都是 3×3 矩阵,AB 和 BA 都有意义,但计算结果几乎一定不同。
结论 :矩阵乘法中,顺序决定一切,AB 表示 A 左乘 B,BA 表示 B 左乘 A,二者完全不同,编程时必须严格按照题目要求的顺序相乘。
3.5.2 满足结合律
A(BC)=(AB)C,即多个矩阵相乘时,改变括号的位置(运算顺序),结果不变。
结合律是矩阵快速幂的核心数学基础,正因为有结合律,我们才能像整数快速幂那样,将Ak拆解为多个小矩阵的乘积,实现对数级别的时间复杂度优化。
3.5.3 满足分配律
- 左分配律:A(B+C)=AB+AC;
- 右分配律:(B+C)A=BA+CA。
注意:分配律中也要注意顺序,左分配律中 A 始终在左边,右分配律中 A 始终在右边,不能随意交换。
3.5.4 单位矩阵的特殊性质
任何矩阵乘以单位矩阵,结果等于原矩阵,即AE=EA=A(前提是相乘维度满足条件)。
比如 A 是 n×s 矩阵,E 是 s×s 单位矩阵,则AE=A;E 是 n×n 单位矩阵,则 EA=A。单位矩阵的这一性质,对应整数乘法中的 "1×x=x×1=x",是矩阵快速幂中初始值的设置依据。
四、洛谷真题实战 1:基础矩阵乘法(B2105)
理解了矩阵乘法的定义和规则后,我们结合洛谷的基础真题B2105 矩阵乘法,用 C++ 实现基础的矩阵乘法模板。这道题是矩阵乘法的入门题,核心是模拟 "行乘列求和" 的过程,适合新手上手。
题目链接:https://www.luogu.com.cn/problem/B2105

4.1 题目描述
计算两个矩阵的乘法:n×m 阶的矩阵 A 乘以 m×k 阶的矩阵 B,得到 n×k 阶的矩阵 C。
- **输入:**第一行是 n, m, k,随后 n 行是矩阵 A 的元素,再 m 行是矩阵 B 的元素;
- **输出:**输出矩阵 C,共 n 行,每行 k 个整数,元素间用空格分隔;
- **数据范围:**n, m, k 均小于 100,矩阵元素绝对值不大于 1000。
4.2 解题思路
- 数据存储:用二维数组存储三个矩阵 A、B、C,由于数据范围小,定义数组大小为 110 即可(留余量,避免越界);
- 输入处理:依次输入 n, m, k,再输入矩阵 A 和矩阵 B 的元素;
- 矩阵乘法核心 :三层循环实现**"行乘列求和"** :
- **外层循环:**遍历矩阵 A 的行(共 n 行);
- **中层循环:**遍历矩阵 B 的列(共 k 列);
- **内层循环:**遍历公共维度 m,计算行乘列的和,赋值给 C [i][j];
- 输出结果:按行输出矩阵 C 的所有元素,每行 k 个,空格分隔。
4.3 C++ 代码实现
cpp
#include <iostream>
using namespace std;
// 定义数组大小,留余量避免越界
const int N = 110;
// a:矩阵A, b:矩阵B, c:结果矩阵C
int a[N][N], b[N][N], c[N][N];
// n:A的行, m:A的列/B的行, s:B的列(题目中的k)
int n, m, s;
// 矩阵乘法核心函数
void mul() {
for (int i = 1; i <= n; i++) { // 遍历A的行
for (int j = 1; j <= s; j++) { // 遍历B的列
for (int k = 1; k <= m; k++) { // 遍历公共维度m
c[i][j] += a[i][k] * b[k][j];
}
}
}
}
int main() {
cin >> n >> m >> s;
// 输入矩阵A
for (int i = 1; i <= n; i++) {
for (int j = 1; j <= m; j++) {
cin >> a[i][j];
}
}
// 输入矩阵B
for (int i = 1; i <= m; i++) {
for (int j = 1; j <= s; j++) {
cin >> b[i][j];
}
}
// 执行矩阵乘法
mul();
// 输出结果矩阵C
for (int i = 1; i <= n; i++) {
for (int j = 1; j <= s; j++) {
cout << c[i][j] << " ";
}
cout << endl;
}
return 0;
}
4.4 代码说明
- **数组下标从 1 开始:**符合数学中矩阵的行、列编号习惯,避免下标 0 带来的混淆,新手更容易理解;
- 三层循环的顺序:i(A 的行)→ j(B 的列)→ k(公共维度),这是矩阵乘法的标准循环顺序,也可以调整为 i→k→j,结果一致,但前者更贴合 "行乘列求和" 的直观逻辑;
- 结果矩阵初始化: C 数组的初始值为 0,通过累加**a[i][k]∗b[k][j]**得到最终的c[i][j],符合求和公式的定义。
五、洛谷真题实战 2:矩阵快速幂(P3390)
掌握了基础矩阵乘法后,我们来学习矩阵乘法的进阶应用 ------ 矩阵快速幂 ,这是算法竞赛中的高频考点,核心是类比整数快速幂 ,利用矩阵乘法的结合律,将Ak的计算时间复杂度从O(k)优化到O(logk),适用于 k 极大的场景(比如 k≤10^18)。
5.1 矩阵快速幂的核心思想
整数快速幂的核心是 "快速幂降次 ",比如计算
,可以拆解为
,而不是连续乘 10 次 x。矩阵快速幂完全复用这一思想,唯一的区别是:
- 整数快速幂的初始值是 1;
- 矩阵快速幂的初始值是单位矩阵 E(因为单位矩阵是矩阵乘法的 "1")。
简单来说,矩阵快速幂的步骤为:
- 初始化结果矩阵为单位矩阵 RET;
- 将指数 k 进行二进制分解,遍历每一位;
- 若当前位为 1,将结果矩阵 RET 与当前的矩阵 A 相乘;
- 将矩阵 A 自乘,指数右移一位(除以 2);
- 直到指数 k 变为 0,此时 RET 就是Ak。
5.2 题目描述
题目链接:https://www.luogu.com.cn/problem/P3390

洛谷 P3390 【模板】矩阵快速幂:给定 n×n 的矩阵 A,求Ak,结果矩阵的每个元素对109+7取模。
- 输入:第一行是 n 和 k,随后 n 行是矩阵 A 的 n×n 个元素;
- 输出:输出Ak的 n×n 矩阵,每行 n 个元素,空格分隔;
- 数据范围:n≤100,k≤10^18。
5.3 解题思路
- 数据结构 :用结构体封装矩阵,方便矩阵的存储和乘法运算,结构体中包含一个二维数组存储矩阵元素;
- 运算符重载 :重载乘法运算符
*,实现两个矩阵的相乘,同时完成取模操作,简化代码; - 快速幂函数:实现矩阵快速幂的核心逻辑,初始化结果矩阵为单位矩阵,按二进制分解指数 k;
- 取模操作:由于 k 极大,矩阵元素会溢出,因此每一步乘法都要对109+7取模,使用 long long 类型存储矩阵元素,避免整数溢出。
5.4 C++ 代码实现
cpp
#include <iostream>
#include <cstring>
using namespace std;
typedef long long LL;
const int N = 110;
const int MOD = 1e9 + 7; // 取模模数
LL n, k; // n:矩阵阶数, k:指数
// 矩阵结构体
struct Matrix {
LL m[N][N];
// 构造函数,初始化矩阵为全0
Matrix() {
memset(m, 0, sizeof(m));
}
// 重载乘法运算符,实现矩阵乘法
Matrix operator*(const Matrix& B) const {
Matrix C; // 结果矩阵
for (int i = 1; i <= n; i++) { // 遍历A的行
for (int j = 1; j <= n; j++) { // 遍历B的列
for (int t = 1; t <= n; t++) { // 遍历公共维度
C.m[i][j] = (C.m[i][j] + m[i][t] * B.m[t][j]) % MOD;
}
}
}
return C;
}
}A, ret; // A:原始矩阵, ret:结果矩阵(初始为单位矩阵)
// 矩阵快速幂函数
void qpow(LL b) {
// 初始化结果矩阵为单位矩阵
for (int i = 1; i <= n; i++) {
ret.m[i][i] = 1;
}
while (b) {
if (b & 1) { // 若当前二进制位为1,结果矩阵乘当前A
ret = ret * A;
}
A = A * A; // 矩阵自乘
b >>= 1; // 指数右移一位,等价于除以2
}
}
int main() {
cin >> n >> k;
// 输入原始矩阵A
for (int i = 1; i <= n; i++) {
for (int j = 1; j <= n; j++) {
cin >> A.m[i][j];
}
}
// 执行矩阵快速幂
qpow(k);
// 输出结果矩阵
for (int i = 1; i <= n; i++) {
for (int j = 1; j <= n; j++) {
cout << ret.m[i][j] << " ";
}
cout << endl;
}
return 0;
}
5.5 代码关键说明
- 结构体与运算符重载 :将矩阵封装为结构体,重载
*运算符后,矩阵相乘可以直接写为A*B,和整数乘法一样直观,大幅简化代码,避免重复写矩阵乘法的三层循环; - long long 类型:由于矩阵元素会不断相乘,即使取模,中间结果也会超过 int 的范围(int 最大约 2×10^9),因此必须用 long long 存储矩阵元素,防止溢出;
- 单位矩阵初始化:快速幂的结果矩阵初始值必须是单位矩阵,这是矩阵快速幂的关键,若初始化为全 0 矩阵,最终结果会始终为 0,完全错误;
- 二进制分解 :用b & 1判断当前二进制位是否为 1,b >>= 1实现指数降次,这是快速幂的标准操作,时间复杂度为O(logk),即使 k=10^18,也只需循环 60 次左右,效率极高。
六、矩阵乘法的进阶应用:矩阵加速求解数列
矩阵快速幂的核心应用是矩阵加速 ,用于求解线性递推数列的第 n 项,比如斐波那契数列、递推式为ax=ax−1+ax−3的数列等。对于递推数列,当 n 极大时(比如 n≤10^18),动态规划的 O (n) 算法会超时,而矩阵加速结合快速幂可以将时间复杂度优化到 O (logn),这是算法竞赛中的经典优化手段。
6.1 矩阵加速的核心思想
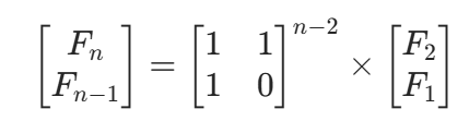
矩阵加速的关键是构造递推矩阵 (也叫转移矩阵),将数列的线性递推关系转化为矩阵的幂次运算 ,即:转移矩阵其中 k 是递推式的初始项数,比如斐波那契数列的递推式是Fn=Fn−1+Fn−2,初始项是 F1=1、F2=1,k=2。
简单来说,矩阵加速的步骤为:
- 根据数列的递推式,构造合适的转移矩阵;
- 将数列的第 n 项转化为转移矩阵的幂次乘以初始项的矩阵;
- 用矩阵快速幂计算转移矩阵的幂次,再与初始项矩阵相乘,得到第 n 项。
6.2 实战:矩阵加速求解斐波那契数列(洛谷 P1962)
题目链接:https://www.luogu.com.cn/problem/P1962

斐波那契数列是最经典的线性递推数列,递推式为:**F1=1,F2=1,Fn=Fn−1+Fn−2(n≥3)**我们用矩阵加速结合快速幂,求解
。
6.2.1 构造转移矩阵
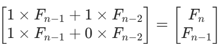
首先,将斐波那契的递推式转化为矩阵形式:

验证:右边矩阵相乘的结果为
,与左边一致。
由此可以推导出通式:
转移矩阵就是
,初始项矩阵是
。
6.2.2 C++ 代码实现
cpp
#include <iostream>
#include <cstring>
using namespace std;
typedef long long LL;
const int N = 3;
const int MOD = 1e9 + 7;
LL n;
// 矩阵结构体
struct Matrix {
LL m[N][N];
Matrix() {
memset(m, 0, sizeof(m));
}
// 重载乘法运算符
Matrix operator*(const Matrix& B) const {
Matrix C;
for (int i = 1; i <= 2; i++) {
for (int j = 1; j <= 2; j++) {
for (int t = 1; t <= 2; t++) {
C.m[i][j] = (C.m[i][j] + m[i][t] * B.m[t][j]) % MOD;
}
}
}
return C;
}
}A, ret;
// 矩阵快速幂
void qpow(LL b) {
// 初始化结果矩阵的初始值(对应初始项[F2,F1])
ret.m[1][1] = 1;
ret.m[1][2] = 1;
// 构造转移矩阵
A.m[1][1] = 1; A.m[1][2] = 1;
A.m[2][1] = 1; A.m[2][2] = 0;
while (b) {
if (b & 1) {
ret = ret * A;
}
A = A * A;
b >>= 1;
}
}
int main() {
cin >> n;
// 初始项直接输出
if (n == 1 || n == 2) {
cout << 1 << endl;
return 0;
}
// 计算转移矩阵的n-2次幂
qpow(n - 2);
// 结果为ret.m[1][1]
cout << ret.m[1][1] << endl;
return 0;
}
总结
矩阵乘法看似抽象,但只要掌握了核心规则和模板,再结合真题反复练习,就能彻底吃透。作为算法学习的重要基础,矩阵乘法的掌握程度直接影响后续复杂算法的学习,希望本文能帮助大家从入门到实战,彻底搞懂矩阵乘法!
