2026.2.9
本文全面比较了CNN和Transformer在胃肠道内窥镜图像分析中的性能、泛化和鲁棒性,涵盖多种任务和训练规模。研究发现,Transformer在多数场景下与CNN表现相当,尤其在处理细微病变、息肉分割和血管发育不良检测中表现良好,证实了其作为内窥镜临床实践替代方案的可行性。
Title 题目
01
Will Transformers change gastrointestinal endoscopic image analysis? A comparative analysis between CNNs and Transformers, in terms of performance, robustness and generalization
Transformer能否改变胃肠道内窥镜图像分析?CNN与Transformer在性能、鲁棒性和泛化能力方面的比较分析
文献速递介绍
02
深度学习,尤其是CNNs,在医学图像分析领域取得显著进展。Transformer架构作为自然语言处理的创新,也开始在计算机视觉领域与CNN竞争。胃肠道内窥镜图像分析是医学领域的新兴方向,CADe/CADx工具在此领域潜力巨大,但面临图像质量差、病变细微、判读一致性低等挑战。这些问题要求算法具备高性能、鲁棒性和泛化能力。本文旨在全面评估Transformer在胃肠道内窥镜图像分析中的适用性,并与CNN进行比较,涵盖巴雷特食管肿瘤检测、结肠息肉分割和血管发育不良检测等多种应用。研究还探讨了不同训练集大小的影响,并通过严格评估方法(如引导抽样、排名稳定性分析和统计检验)提供深入见解。
Aastract摘要
02
胃肠道内窥镜图像分析面临诸多挑战,如图像质量变化大、异常病变细微且判读一致性低、以及需要实时处理。这些因素对深度学习技术在安全关键应用中的性能、泛化能力、鲁棒性和复杂性提出了严格要求。尽管卷积神经网络(CNN)一直是内窥镜图像分析的首选架构,但Transformer架构在计算机视觉领域的最新成功,促使我们重新评估这一结论。为此,本研究全面评估并比较了最先进的CNN和Transformer在巴雷特食管肿瘤检测中的临床相关性能、泛化能力和鲁棒性。我们使用了总计10208张图像(2079名患者)对多种顶级CNN和Transformer模型进行训练和验证,并在包括高质量、内部和外部泛化以及鲁棒性测试集在内的总计7118张图像(998名患者)上进行了测试。为扩大研究范围,我们还将性能和鲁棒性比较扩展到结肠息肉分割和血管发育不良检测。结果表明,Transformer在各种应用上达到了与CNN相当的性能,显示出可比或略有改善的泛化能力,并且对常见的图像损坏和扰动具有同等的强大弹性和鲁棒性。这些发现证实了Transformer架构的可行性,使其特别适用于内窥镜视频分析的动态特性。
Method 方法
03
研究采用了内部和外部数据集,包括10208张图像用于巴雷特食管肿瘤检测的训练和验证,并扩展到Kvasir-SEG结肠息肉分割和GIANA血管发育不良检测。数据经过预处理,包括图像大小调整和像素强度归一化,并通过多种数据增强技术(如翻转、旋转、对比度调整、模糊、噪声等)虚拟增加数据集大小。本文比较了七种深度学习架构,包括四种CNN(U-Net, U-Net++, DeepLabV3+, CaraNet)和三种Transformer(ESFPNet, FCBFormer, UperNet),并详细描述了它们的骨干网络和复杂度。训练过程根据不同应用采用单步或两步训练,并使用Adam优化器、学习率调度和早停策略。性能评估指标包括分类和检测的AUC(曲线下面积)以及定位的mDi(平均Dice分数),并采用严格的引导抽样方法计算置信区间和评估模型排名稳定性,同时使用Mann-Whitney U检验进行统计分析。
Discussion讨论
04
研究结果表明,Transformer在胃肠道内窥镜图像分析中,尤其是在巴雷特食管、结肠息肉和血管发育不良检测任务上,普遍能够达到与CNN相当甚至略优的性能,并在内部域内数据泛化方面表现出统计学上的显著优势。然而,在外部域外数据上的泛化能力与CNN相当或略有下降。在处理模拟临床相关图像降级的常见腐蚀和扰动时,Transformer展现出与CNN相似的绝对和相对鲁棒性。值得注意的是,这些性能和鲁棒性水平在不同训练集大小下均保持一致,表明Transformer能够有效利用训练数据。尽管部分实验结果具有统计学意义,但由于采样变异性导致的置信区间较宽和排名不确定性,以及统计检验对所选模型的依赖性,使得得出强而普适的结论仍面临挑战。总体而言,Transformer在不要求更大模型规模的情况下,在性能、泛化和鲁棒性方面可与CNN媲美,为内窥镜临床实践提供了一个有价值的算法替代方案。
Conclusion结论
05
本研究全面评估了CNN和Transformer在胃肠道内窥镜图像分析中的潜力。研究发现,Transformer在分类和定位等多种任务上表现出与CNN相当的性能,尤其是在处理具有挑战性的细微巴雷特食管肿瘤、结肠息肉分割和血管发育不良检测等场景中。在具有不同病变标准和较低主观图像质量的域内数据上,Transformer显示出略微增强的泛化能力,而在域外数据上则与CNN相当或略有下降。此外,Transformer对模拟临床相关图像降级的常见扰动表现出与CNN同等或略优的鲁棒性。这些趋势在各种训练集大小下均保持一致。尽管在某些实验中达到了统计学显著性,但由于模型选择和采样变异性带来的不确定性,本文仍谨慎指出,Transformer在不要求更大模型规模的情况下,在性能、泛化和鲁棒性方面可与CNN媲美,使其成为内窥镜临床实践中一个有价值的算法替代方案。
Results结果
06
本研究全面评估了CNN和Transformer在胃肠道内窥镜图像分析中的性能、泛化能力和鲁棒性。在巴雷特食管测试集上,Transformer和CNN在分类和定位方面表现相当,性能差异不显著,且模型复杂度和性能无直接关联。对于Kvasir-SEG结肠息肉分割,Transformer同样能达到与CNN可比的性能,但无统计学显著优势。在Giana血管发育不良检测任务中,Transformer在分类性能上显著优于CNN,尽管定位性能差异不明显。在内部泛化测试集(QRT和CRT)上,Transformer在具有不同病变标准和较低主观图像质量的域内数据上表现出显著改善的分类性能。然而,在外部泛化测试集(ARGOS和BORN)上,Transformer与CNN表现相当或略有下降。在鲁棒性方面,针对巴雷特食管和公共数据集的受损版本,Transformer对常见的图像损坏和扰动展现出与CNN相似或略有提升的绝对鲁棒性,而相对鲁棒性则相当或略有下降。研究还发现,Transformer在不同训练集规模下均能保持与CNN可比的性能、泛化和鲁棒性。
Figure 图
07

图1.不同测试集的多样性样本。(a) 巴雷特测试:高质量细微肿瘤病例;(b) 巴雷特测试-C:色调和运动模糊受损;(c) 巴雷特测试-C:过曝和饱和度受损;(d) 巴雷特测试-C:过曝、运动模糊、色调和亮度受损;(e) Kvasir-SEG:结肠息肉;(f) Kvasir-SEG-C:散焦模糊、对比度、色调和亮度受损;(g) Giana:血管发育不良病例;(h) Giana-C:运动模糊、过曝、饱和度、亮度和色调受损;(i) ARGOS:不同内窥镜制造商的高质量细微肿瘤病例;(j) BORN:不同内窥镜制造商的低质量图像;(k) QRT:低质量图像(模糊和气泡存在);(l) CRT:可见异常的非异型增生巴雷特食管病例。

图2.胃肠道内窥镜各个应用的实验设置图示。对于每组实验,图中指明了实验结果展示和讨论所在的章节编号。

图3. 散点图显示了在巴雷特测试集、ARGOS、BORN、QRT、CRT和受损巴雷特测试-C集上,平均引导分类性能(AUCcls)或平均引导定位性能(mDi)值与参数数量的关系。此外,散点图描绘了各数据集清洁版本和受损版本之间平均引导性能下降(Δ mDi和Δ AUCcls)。使用四种不同数据集表明了网络架构的泛化能力,而使用受损数据集则清晰展示了网络架构的鲁棒性。

图4.散点图显示了在公开可用的Giana和Kvasir-SEG数据集以及受损的Giana-C和Kvasir-SEG-C集上,平均引导分类性能(AUCcls)或平均引导定位性能(mDi)值与参数数量的关系。此外,散点图描绘了各数据集清洁版本和受损版本之间平均性能引导降级(Δ mDi和Δ AUCcls)。使用受损数据集清晰展示了各种网络架构的鲁棒性。

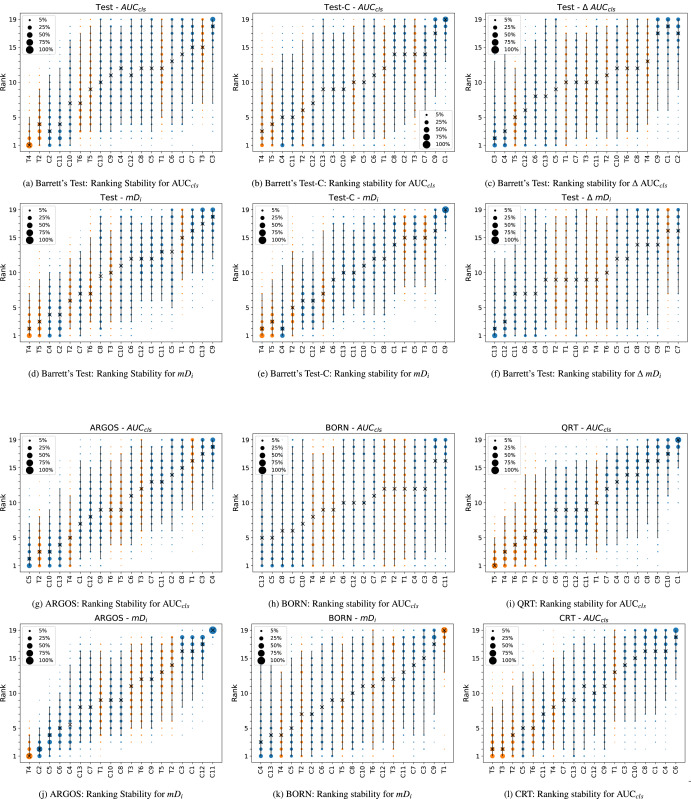
图5. 斑点图(Blob plots)显示了基于引导抽样(1000个样本)在巴雷特测试集、ARGOS、BORN、QRT、CRT和受损巴雷特测试-C集上的分类性能(AUCcls)和定位性能(mDi)的排名稳定性,以及巴雷特测试集清洁版本和受损版本之间的性能下降(Δ AUCcls/Δ mDi)。CNN和Transformer以颜色编码,并使用表3中指定的代码名称表示每个特定网络架构。每个斑点的面积与该架构达到特定排名的相对频率成比例。每个架构的中位排名由黑色十字表示。跨引导样本的95%引导区间(从引导分布的2.5%到97.5%分位数)由黑线表示。值得注意的是,模型从左到右排序,左侧是最佳模型,右侧是最差模型,由引导样本的平均排名分数决定。y轴上较低的排名表示更好的性能。

图6.斑点图(Blob plots)显示了基于引导抽样(1000个样本)在Kvasir-SEG、Giana以及受损Kvasir-SEG-C和Giana-C集上的分类性能(AUCcls)和定位性能(mDi)的排名稳定性,以及各数据集清洁版本和受损版本之间的性能下降(Δ AUCcls/Δ mDi)。CNN和Transformer以颜色编码,并使用表3中指定的代码名称表示每个特定网络架构。每个斑点的面积与该架构达到特定排名的相对频率成比例。每个架构的中位排名由黑色十字表示。跨引导样本的95%引导区间(从引导分布的2.5%到97.5%分位数)由黑线表示。值得注意的是,模型从左到右排序,左侧是最佳模型,右侧是最差模型,由引导样本的平均排名分数决定。y轴上较低的排名表示更好的性能。

图7.小提琴图显示了基于1000个引导样本的AUCcls和/或mDi分布,分别针对CNN和Transformer架构类型,在巴雷特测试集、Kvasir-SEG、Giana、受损巴雷特测试-C、受损Kvasir-SEG-C和受损Giana-C集上。每个小提琴的一半可视化了相应性能指标值的分布,并辅以平均值和四分位数范围。

图8. 折线图显示了ARGOS、BORN、QRT、CRT、巴雷特测试集和受损巴雷特测试-C集上的平均引导AUCcls和/或mDi值。这些图是巴雷特训练集总数据百分比的函数。此外,还展示了巴雷特测试集清洁版本和受损版本之间平均引导性能下降(Δ mDi和Δ AUCcls)的折线图。折线图补充了指示引导样本95%置信区间的误差带。