前言
二叉搜索树(Binary Search Tree,BST)作为一种经典的树形数据结构,凭借其高效的动态查找、插入和删除特性,在计算机科学领域有着广泛的应用。从底层实现来看,C++ 标准库中的
map、set、multimap、multiset等关联式容器,其核心逻辑正是基于二叉搜索树(红黑树作为其平衡优化版本)构建。相较于面向对象编程中的多态特性(侧重行为的动态绑定与代码复用),二叉搜索树聚焦于数据的有序存储与高效检索,其核心价值在于利用 "左子树值≤根节点值≤右子树值" 的结构性约束,将查找、插入、删除操作的时间复杂度控制在近似 O(logN)(理想的平衡状态下);而在最坏的单支树场景下,时间复杂度退化为 O(N),这也体现了数据结构设计中 "结构与性能" 的强关联性。
本文将从二叉搜索树的核心定义出发,逐步拆解节点设计、树的构建、插入、查找、删除等核心操作的实现逻辑,并区分 "仅存关键码(key)" 与 "键值对(key/value)" 两种典型应用场景,最终给出完整的可运行代码实现。代码实现过程中兼顾 C++11 语法特性(如
using类型别名)、代码封装性(私有成员访问控制)与逻辑健壮性(边界条件处理),力求在清晰性与工程性之间找到平衡。
二叉搜索树
- 一、二叉搜索树的概念
- 二、二叉搜索树的性能分析
- 三、二叉搜索树的整体框架
-
- [3.1 节点](#3.1 节点)
- [3.2 树的类封装](#3.2 树的类封装)
- [3.3 插入](#3.3 插入)
- [3.4 查找](#3.4 查找)
- [3.5 删除](#3.5 删除)
- [3.6 中序遍历(验证二叉搜索树的有序性)](#3.6 中序遍历(验证二叉搜索树的有序性))
- 四、二叉搜索树的两种应用场景
- 五、代码易错说明
- 六、使用示例
一、二叉搜索树的概念
二叉搜索树又称二叉排序树,满足以下核心特性:
- 左子树不为空,则左子树上所有节点的值都小于等于根节点的值
- 右子树不为空,则右子树上所有节点的值都大于等于根节点的值
- 左右子树也分别为二叉搜索树
- 二叉搜索树中可以支持插入相同的值,也可以不支持插入相等的值。其中
map、set、multimap、multiset系列的如期底层就是二叉搜索树,其中map、set不支持插入相等值,multimap、multiset支持插入相等的值。

二、二叉搜索树的性能分析
最好情况:树的结构接近完全二叉树,高度为 logN,此时查找、插入、删除操作的时间复杂度为 O(logN);
最坏情况:树退化为单支树,高度为 N,此时操作的时间复杂度退化为 O(N)。

三、二叉搜索树的整体框架
3.1 节点
二叉搜索树本质是由节点连接而成的链式结构,每个节点包含关键码、左孩子指针、右孩子指针,具体实现如下:
cpp
#pragma once
#include<iostream>
using namespace std;
// 二叉搜索树节点结构
template<class K>
struct BSTNode
{
K _key; // 节点存储的关键码
BSTNode<K>* _left; // 左孩子节点指针
BSTNode<K>* _right; // 右孩子节点指针
// 构造函数:初始化节点
BSTNode(const K& key)
:_key(key)
, _left(nullptr)
, _right(nullptr)
{
}
};
3.2 树的类封装
将二叉搜索树封装为类,根节点作为私有成员(保证数据封装性),使用 C++11 的 using 简化节点类型名:
cpp
template<class K>
class BSTree
{
using Node = BSTNode<K>; // C++11 类型别名,替代传统 typedef
public:
// 核心操作声明(插入、查找、删除、中序遍历)
bool Insert(const K& key);
bool Find(const K& key);
bool Erase(const K& key);
void InOrder();
private:
// 私有辅助函数:中序遍历的递归实现
void _InOrder(Node* root);
Node* _root = nullptr; // 根节点指针,初始化为空
};
3.3 插入
插入逻辑:
- 若树为空,直接创建新节点作为根节点;
- 若树不为空,按二叉搜索树规则遍历:插入值大于当前节点则向右走,小于则向左走,找到空位置后插入新节点;
- 若不支持重复值插入,遇到与当前节点值相等的情况则返回插入失败。

cpp
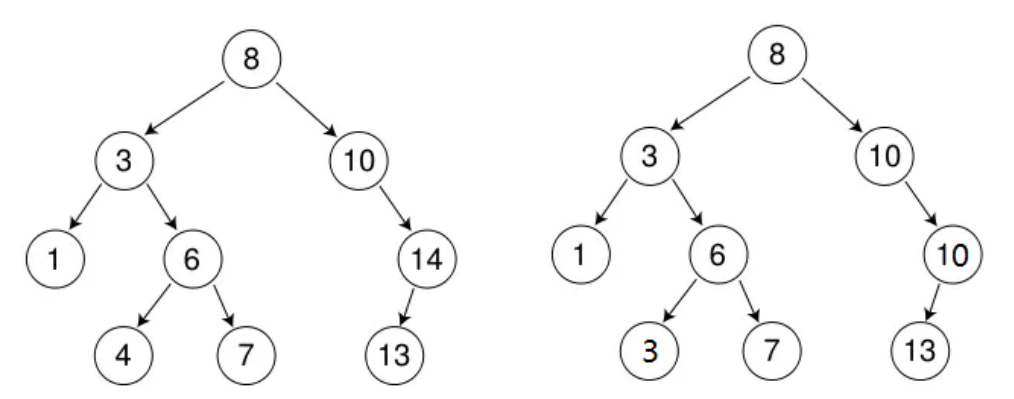
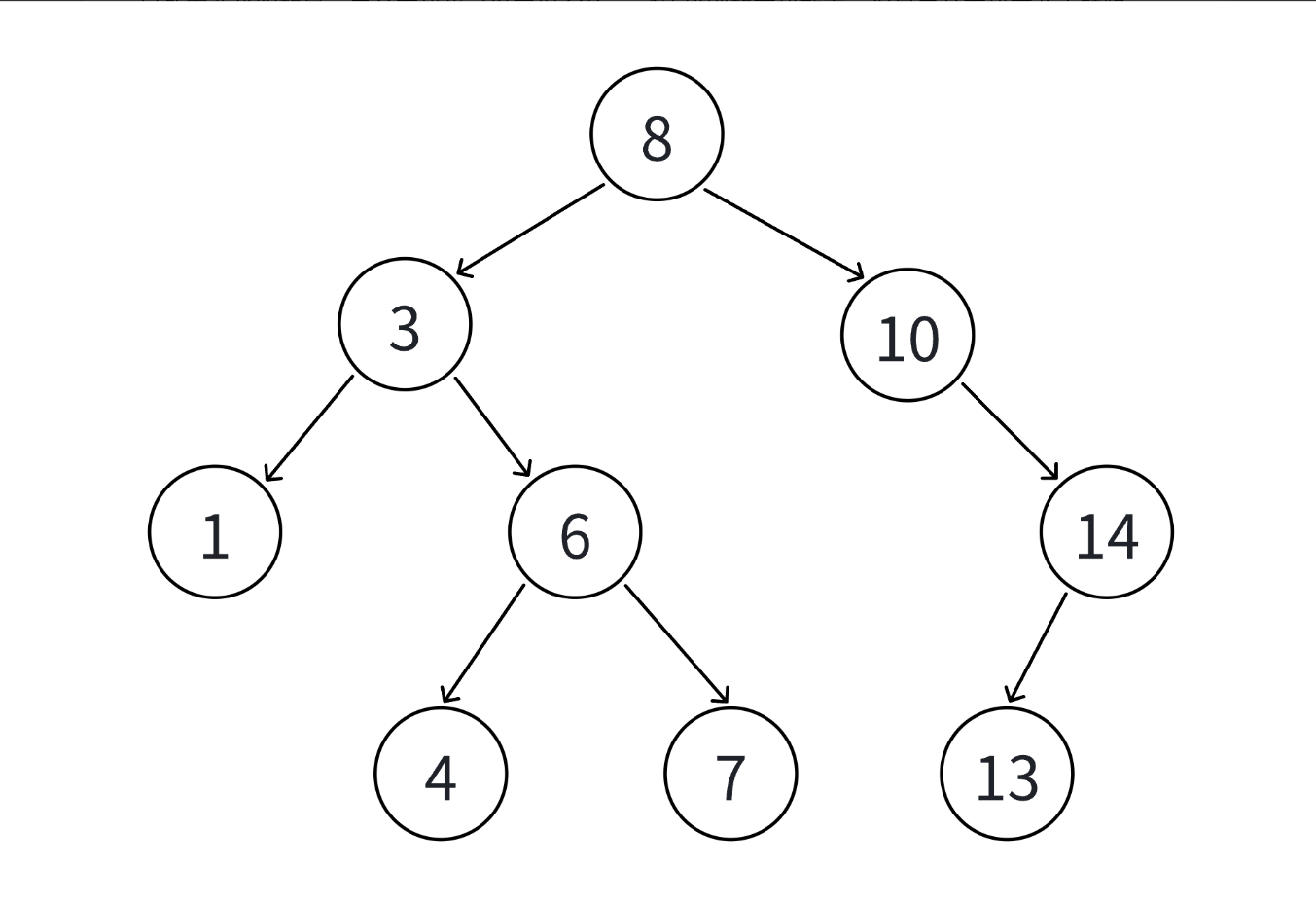
int a[] = {8, 3, 1, 10, 6, 4, 7, 14, 13};


cpp
template<class K>
bool BSTree<K>::Insert(const K& key)
{
// 情况1:树为空,直接创建根节点
if (_root == nullptr)
{
_root = new Node(key);
return true;
}
// 情况2:树不为空,遍历找到插入位置
Node* cur = _root;
Node* parent = nullptr; // 记录当前节点的父节点(用于后续连接新节点)
while (cur)
{
if (cur->_key < key)
{
parent = cur;
cur = cur->_right; // 大于当前节点,向右遍历
}
else if (cur->_key > key)
{
parent = cur;
cur = cur->_left; // 小于当前节点,向左遍历
}
else
{
// 找到相等值,不插入(若支持重复值,可改为向右/左遍历)
return false;
}
}
// 找到空位置,创建新节点并连接到父节点
cur = new Node(key);
if (parent->_key < key)
{
parent->_right = cur; // 新节点值更大,连接到父节点右孩子
}
else
{
parent->_left = cur; // 新节点值更小,连接到父节点左孩子
}
return true;
}
3.4 查找
- 从根节点开始比较:查找值大于根节点则向右查找,小于则向左查找;
- 遍历至空节点则说明查找失败,找到相等值则返回成功;
- 若支持重复值,通常要求返回中序遍历的第一个目标值(需额外逻辑,本文实现基础版)。

cpp
template<class K>
bool BSTree<K>::Find(const K& key)
{
Node* cur = _root;
while (cur)
{
if (cur->_key < key)
{
cur = cur->_right; // 大于当前节点,向右查找
}
else if (cur->_key > key)
{
cur = cur->_left; // 小于当前节点,向左查找
}
else
{
return true; // 找到目标值,返回成功
}
}
return false; // 遍历至空,查找失败(补充原代码缺失的返回值)
}
3.5 删除
删除逻辑:
- 先查找目标节点:不存在则返回失败;
- 存在则分三种情况处理(合并叶子节点与单孩子节点逻辑):
- 左孩子为空:将父节点的对应指针指向当前节点的右孩子,删除当前节点;
- 右孩子为空:将父节点的对应指针指向当前节点的左孩子,删除当前节点;
- 左右孩子都不为空:采用 "替换法"------ 找右子树的最小节点(最左节点)或左子树的最大节点(最右节点)替换目标节点,再删除替换节点(替换节点必为单孩子 / 叶子节点)。



cpp
template<class K>
bool BSTree<K>::Erase(const K& key)
{
Node* cur = _root;
Node* parent = nullptr;
while (cur)
{
if (cur->_key < key)
{
parent = cur;
cur = cur->_right;
}
else if (cur->_key > key)
{
parent = cur;
cur = cur->_left;
}
else // 找到要删除的节点
{
// 情况1:左孩子为空(叶子节点/仅右孩子)
if (cur->_left == nullptr)
{
// 处理根节点删除的特殊情况
if (cur == _root)
{
_root = cur->_right;
}
else
{
// 父节点的左/右指针指向当前节点的右孩子
if (parent->_left == cur)
{
parent->_left = cur->_right;
}
else
{
parent->_right = cur->_right;
}
}
delete cur; // 释放节点内存
}
// 情况2:右孩子为空(叶子节点/仅左孩子)
else if (cur->_right == nullptr)
{
// 处理根节点删除的特殊情况
if (cur == _root)
{
_root = cur->_left;
}
else
{
// 父节点的左/右指针指向当前节点的左孩子
if (parent->_right == cur)
{
parent->_right = cur->_left;
}
else
{
parent->_left = cur->_left;
}
}
delete cur; // 释放节点内存
}
// 情况3:左右孩子都不为空(替换法删除)
else
{
// 找右子树的最小节点(最左节点)作为替换节点
Node* replaceParent = cur;
Node* replace = cur->_right;
while (replace->_left) // 遍历至右子树最左节点
{
replaceParent = replace;
replace = replace->_left;
}
// 替换目标节点的关键码
cur->_key = replace->_key;
// 连接替换节点的父节点与替换节点的右孩子(替换节点左必为空)
if (replaceParent->_left == replace)
{
replaceParent->_left = replace->_right;
}
else
{
replaceParent->_right = replace->_right;
}
delete replace; // 释放替换节点内存
}
return true; // 删除成功
}
}
return false; // 未找到目标节点,删除失败
}
3.6 中序遍历(验证二叉搜索树的有序性)
二叉搜索树的中序遍历结果为升序序列,是验证树结构正确性的核心方式。通过 "公有接口 + 私有递归函数" 的方式访问私有根节点:
cpp
template<class K>
void BSTree<K>::_InOrder(Node* root)
{
if (root == nullptr)
{
return;
}
_InOrder(root->_left); // 遍历左子树
cout << root->_key << " "; // 访问当前节点
_InOrder(root->_right); // 遍历右子树
}
template<class K>
void BSTree<K>::InOrder()
{
_InOrder(_root); // 调用私有递归函数
cout << endl;
}
四、二叉搜索树的两种应用场景
4.1 仅关键码(key)场景
核心特点
节点仅存储关键码 key,操作仅关注 "key 是否存在",不支持修改 key(修改会破坏树的结构),支持增删查。
典型场景
- 小区车库车牌验证:录入业主车牌,车辆进场时查找车牌是否存在;
- 英文单词拼写检查:将词库单词存入树,遍历文章单词并查找,不存在则标红。
4.2 键值对(key/value)场景
核心特点
节点存储 key + value(value 为任意类型),增删查以 key 为关键字,支持修改 value(不修改 key)。
典型场景
- 中英互译字典:key 为英文单词,value 为中文释义,查找 key 即可获取释义;
- 停车计费系统:key 为车牌,value 为入场时间,离场时查找 key 计算停车时长;
- 单词词频统计:key 为单词,value 为出现次数,查找单词存在则 value++。
cpp
// 键值对版本的节点结构
template<class K, class T>
struct BSTNodeKV
{
K _key;
T _value;
BSTNodeKV<K, T>* _left;
BSTNodeKV<K, T>* _right;
BSTNodeKV(const K& key, const T& value)
:_key(key)
, _value(value)
, _left(nullptr)
, _right(nullptr)
{
}
};
// 键值对版本的二叉搜索树
template<class K, class T>
class BSTreeKV
{
using Node = BSTNodeKV<K, T>;
public:
// 插入键值对
bool Insert(const K& key, const T& value)
{
if (_root == nullptr)
{
_root = new Node(key, value);
return true;
}
Node* cur = _root;
Node* parent = nullptr;
while (cur)
{
if (cur->_key < key)
{
parent = cur;
cur = cur->_right;
}
else if (cur->_key > key)
{
parent = cur;
cur = cur->_left;
}
else
{
return false; // 不支持重复key
}
}
cur = new Node(key, value);
if (parent->_key < key)
{
parent->_right = cur;
}
else
{
parent->_left = cur;
}
return true;
}
// 查找key并返回value的指针(方便修改value)
T* Find(const K& key)
{
Node* cur = _root;
while (cur)
{
if (cur->_key < key)
{
cur = cur->_right;
}
else if (cur->_key > key)
{
cur = cur->_left;
}
else
{
return &(cur->_value); // 返回value地址,支持修改
}
}
return nullptr; // 查找失败
}
// 删除(逻辑与key版本一致,略)
bool Erase(const K& key)
{
Node* cur = _root;
Node* parent = nullptr;
while (cur)
{
if (cur->_key < key)
{
parent = cur;
cur = cur->_right;
}
else if (cur->_key > key)
{
parent = cur;
cur = cur->_left;
}
else
{
if (cur->_left == nullptr)
{
if (cur == _root)
{
_root = cur->_right;
}
else
{
if (parent->_left == cur)
parent->_left = cur->_right;
else
parent->_right = cur->_right;
}
delete cur;
}
else if (cur->_right == nullptr)
{
if (cur == _root)
{
_root = cur->_left;
}
else
{
if (parent->_right == cur)
parent->_right = cur->_left;
else
parent->_left = cur->_left;
}
delete cur;
}
else
{
Node* replaceParent = cur;
Node* replace = cur->_right;
while (replace->_left)
{
replaceParent = replace;
replace = replace->_left;
}
// 替换key和value
cur->_key = replace->_key;
cur->_value = replace->_value;
if (replaceParent->_left == replace)
replaceParent->_left = replace->_right;
else
replaceParent->_right = replace->_right;
delete replace;
}
return true;
}
}
return false;
}
// 中序遍历(打印key和value)
void InOrder()
{
_InOrder(_root);
cout << endl;
}
private:
void _InOrder(Node* root)
{
if (root == nullptr)
return;
_InOrder(root->_left);
cout << "key: " << root->_key << ", value: " << root->_value << " ";
_InOrder(root->_right);
}
Node* _root = nullptr;
};
五、代码易错说明
-
代码规范性优化:
- 类的成员函数声明与实现分离,提升代码可读性;
- 变量命名语义化(如
replaceParent替代原parent,避免歧义); - 补充关键逻辑注释,降低维护成本。
-
功能增强:
- 键值对版本的查找函数返回
value指针,支持修改 value; - 中序遍历打印 key 和 value,便于验证键值对的正确性。
- 键值对版本的查找函数返回
六、使用示例
cpp
// 测试key版本的二叉搜索树
void TestBSTree()
{
BSTree<int> t;
int a[] = { 8, 3, 1, 10, 6, 4, 7, 14, 13 };
for (auto e : a)
{
t.Insert(e);
}
cout << "中序遍历(升序):";
t.InOrder(); // 输出:1 3 4 6 7 8 10 13 14
cout << "查找6:" << (t.Find(6) ? "成功" : "失败") << endl; // 成功
cout << "删除3:" << (t.Erase(3) ? "成功" : "失败") << endl; // 成功
cout << "删除后中序遍历:";
t.InOrder(); // 输出:1 4 6 7 8 10 13 14
}
// 测试键值对版本的二叉搜索树
void TestBSTreeKV()
{
BSTreeKV<string, int> dict;
dict.Insert("apple", 1);
dict.Insert("banana", 2);
dict.Insert("orange", 3);
cout << "中序遍历键值对:";
dict.InOrder(); // 输出:key: apple, value: 1 key: banana, value: 2 key: orange, value: 3
// 修改banana的value
int* p = dict.Find("banana");
if (p)
{
*p = 20;
}
cout << "修改后中序遍历:";
dict.InOrder(); // 输出:key: apple, value: 1 key: banana, value: 20 key: orange, value: 3
}
int main()
{
TestBSTree();
TestBSTreeKV();
return 0;
}
总结
二叉搜索树的核心是 "有序性",其所有操作均围绕这一特性展开。本文实现的基础版本覆盖了二叉搜索树的核心功能,而实际工程中(如 C++ 标准库)会通过红黑树对其进行平衡优化,避免单支树的性能退化。理解二叉搜索树的底层逻辑,是掌握关联式容器、高效检索算法的关键基础。