1.指对数函数的微分
2.指对数函数的示例
1.指对数函数的微分
csharp
1).重要极限

csharp
2).自然指数函数e^x

csharp
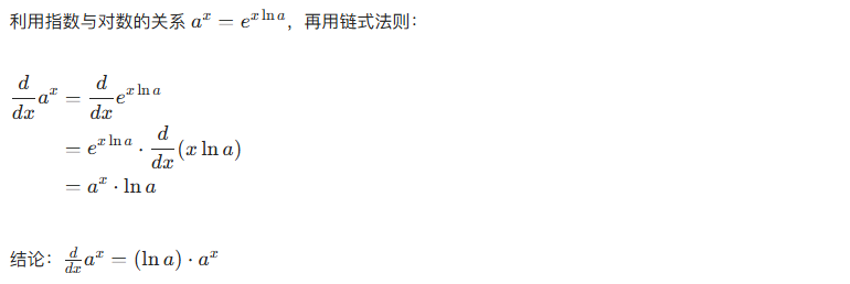
3).一般指数函数a^x (a > 0 && a不等于1)

csharp
4).一般对数函数loga x(a>0, a不等于1, x>0)

csharp
5).自然对数函数ln x(x > 0)

csharp
无论x > 0还是x < 0, 导数结果均为 1 / x, x不等于0, 因此:

csharp
6).证明: d/dx x^n = n * x ^ n- 1
a.设函数

csharp
取绝对值的原因:

csharp
b.取自然对数

csharp
c.两边对x求导

csharp
d.解出dy/dx

2.指对数函数的示例
csharp
1).y = ln(x^2 + 1) 的导数

csharp
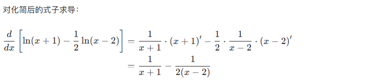
2).d/dx ln(x + 1 / (x - 2) ^ 1/2)
a.利用对数性质化简

csharp
b.逐项求导

csharp
c.通分合并

csharp
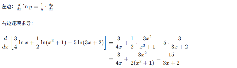
3).求复杂函数的导数

csharp
a.设函数并取对数

csharp
b.两边对 x 求导

csharp
c.解出dy / dx
