
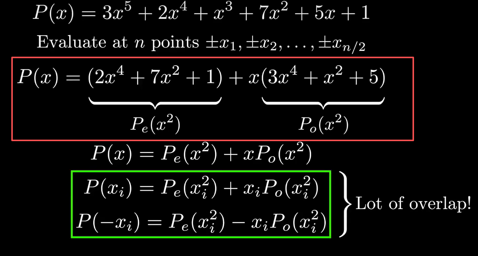
1、首先得知道需要确定一个方程,我们第一个需要知道这个方程最大几次方,如果是n次方,我们需要n + 1个点来确定这条曲线



2、由于偶函数的性质,我们可以强行将函数提升称为偶函数,例如上图提了一个x出来,用来做成偶函数的样子,利用偶函数的性质,我们需要的点变成了n/2 - 1个


最后我们再利用单位根(复数也是单位根)的性质,让之后的函数都具有偶函数的性质,递归下去让方程变得越来越简单

n次单位根的第二性质:我们对n次单位根平方时,计算结果是n/2次方单位根,这样的性质可以导致值一直不停的循环往复得到偶函数性质!

递归完过后,计算的时间复杂度就会优化成为nlogn!!!