技术栈
【高等数学】格林公式及其在曲线积分中的应用
山楂树の
2026-02-26 8:40
在高等数学中,曲线积分的计算往往因为积分路径的复杂性而变得困难。而
格林公式(Green's Theorem)
是一座桥梁,它将封闭曲线上的第二类曲线积分与该曲线所围成的区域上的二重积分巧妙地联系起来。
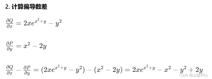
例题
数学建模
上一篇:
开发者需要为网站或应用集成IP归属地显示功能,如何选择可靠的数据源?
下一篇:
Oracle 共享池 库缓存下的 Library Cache Lock
相关推荐
数模竞赛Paid answer
6 小时前
2025年MathorCup数学建模A题汽车风阻预测解题文档与程序
算法
·
数学建模
·
mathorcup
AI科技星
1 天前
人类首张【全域数学公理体系】黑洞内部结构图—基于「0-1-∞」三元本源的全维深度解析
人工智能
·
算法
·
机器学习
·
数学建模
·
数据挖掘
·
量子计算
数模竞赛Paid answer
1 天前
2024年华数杯数学建模A题机器臂关节角路径的优化设计解题全过程文档及程序
数学建模
·
数据分析
·
华数杯
酿情师
1 天前
数学建模入门:从零开始了解数学建模(保姆级入门指南)
数学建模
做cv的小昊
1 天前
【TJU】应用统计学——第一周作业(1.1 数理统计的基本内容、1.2 数理统计的基本概念)
人工智能
·
笔记
·
考研
·
机器学习
·
数学建模
·
概率论
smppbzyc
2 天前
2026华中杯数学建模A题【城市绿色物流配送调度】原创论文分享
数学建模
·
华中杯
·
2026华中杯
·
2026华中杯a题
·
华中杯数学建模竞赛
·
2026华中杯数学建模竞赛
热心网友俣先生
2 天前
2026年东北三省数学建模联赛赛题浅析-助攻快速选题
数学建模
做cv的小昊
2 天前
【TJU】研究生应用统计学课程笔记(5)——第二章 参数估计(2.3 C-R不等式)
c语言
·
笔记
·
线性代数
·
机器学习
·
数学建模
·
r语言
·
概率论
fie8889
2 天前
免疫优化算法在物流配送中心选址中的应用
算法
·
数学建模
数模竞赛Paid answer
2 天前
2024年华数杯数学建模B题VLSI电路单元的自动布局解题全过程文档及程序
数学建模
·
数据分析
·
华数杯
热门推荐
01
GitHub 镜像站点
02
2026年4月AI大事件深度解读:大模型竞争进入“深水区“
03
Codex 接入 DeepSeek API 完整配置文档
04
近期有什么ai的新消息,新动态? 2026.4月
05
【AI】2026 年具身智能模型和世界模型总结
06
2026年AI编程工具终极横评:Cursor vs Claude Code vs Copilot
07
实测可用|小米 MiMo 百万亿 Token 免费领,开发者速冲
08
在Windows 11上安装Docker的踩坑记录
09
裂开!ChatGPT 居然开始要手机号验证,附详细解决方法
10
零基础教你claude code 接入 deepseek V4