Zernike多项式是描述光学系统波前像差的标准数学工具,特别适用于光学镜面的面形拟合。本实现提供完整的Zernike多项式计算、像差拟合和可视化功能。
一、Zernike多项式基础
1.1 数学定义
Zernike多项式在单位圆上定义,由径向多项式和角向函数组成:
Znm(ρ,θ)=Rnm(ρ)cos(mθ)(m≥0)Z_n^m(ρ,θ)=R_n^m(ρ)cos(mθ)(m≥0)Znm(ρ,θ)=Rnm(ρ)cos(mθ)(m≥0)
Zn−m(ρ,θ)=Rnm(ρ)sin(mθ)(m>0)Z_n^{−m}(ρ,θ)=R_n^m(ρ)sin(mθ)(m>0)Zn−m(ρ,θ)=Rnm(ρ)sin(mθ)(m>0)
其中:
- ρ=x2+y2ρ=\sqrt{x^2+y^2}ρ=x2+y2 是归一化径向坐标
- θ=tan−1(y/x)θ=tan^{−1}(y/x)θ=tan−1(y/x)是角坐标
- Rnm(ρ)R_n^m(ρ)Rnm(ρ)是径向多项式
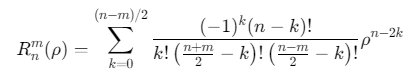
1.2 径向多项式

1.3 标准排序(Noll序)
| 序号 | n | m | 像差类型 |
|---|---|---|---|
| 1 | 0 | 0 | 活塞 (Piston) |
| 2 | 1 | 1 | 倾斜X (Tilt X) |
| 3 | 1 | -1 | 倾斜Y (Tilt Y) |
| 4 | 2 | 0 | 离焦 (Defocus) |
| 5 | 2 | 2 | 像散X (Astigmatism X) |
| 6 | 2 | -2 | 像散Y (Astigmatism Y) |
| 7 | 3 | 1 | 彗差X (Coma X) |
| 8 | 3 | -1 | 彗差Y (Coma Y) |
| 9 | 3 | 3 | 三叶草 (Trefoil X) |
| 10 | 3 | -3 | 三叶草 (Trefoil Y) |
| ... | ... | ... | ... |
二、MATLAB实现
2.1 主函数:Zernike拟合系统
matlab
function zernike_aberration_fitting()
% 光学镜面像差拟合系统
% 步骤:
% 1. 生成或加载镜面高度数据
% 2. 计算Zernike多项式基函数
% 3. 最小二乘法拟合系数
% 4. 分析结果并可视化
% 参数设置
params = struct();
params.grid_size = 256; % 网格分辨率
params.radius_ratio = 0.9; % 镜面半径占比
params.max_order = 36; % 最大Zernike阶数
params.plot_results = true; % 是否绘图
% 生成测试镜面(球面+像差)
mirror_surface = generate_test_mirror(params);
% Zernike拟合
[coefficients, fitted_surface] = fit_zernike(mirror_surface, params);
% 结果显示
display_results(mirror_surface, fitted_surface, coefficients, params);
end
2.2 生成测试镜面
matlab
function mirror_surface = generate_test_mirror(params)
% 生成带有预设像差的测试镜面
[x, y] = meshgrid(linspace(-1, 1, params.grid_size));
r = sqrt(x.^2 + y.^2);
theta = atan2(y, x);
% 归一化径向坐标 (0~1)
rho = r / max(max(r));
% 创建理想球面 (半径 = 1)
ideal_sphere = rho.^2;
% 添加像差:球差 + 彗差 + 像散
aberration = 0.3 * (rho.^4) + ... % 球差 (Z4^0)
0.2 * (rho.^3) .* cos(theta) + ... % 彗差X (Z3^1)
0.15 * (rho.^2) .* cos(2*theta); % 像散X (Z2^2)
% 组合表面(添加噪声模拟实际测量)
mirror_surface = ideal_sphere + aberration + 0.02*randn(size(rho));
% 应用孔径遮拦
mirror_surface(rho > params.radius_ratio) = NaN;
end
2.3 Zernike多项式计算
matlab
function [Z, rho, theta] = compute_zernike_polynomials(order, grid_size, radius_ratio)
% 计算Zernike多项式基函数
% 输入:
% order - 最大阶数 (项数)
% grid_size - 网格尺寸
% radius_ratio - 镜面半径占比
% 输出:
% Z - Zernike多项式矩阵 (order x grid_size^2)
% rho, theta - 极坐标网格
% 创建网格
[x, y] = meshgrid(linspace(-1, 1, grid_size));
r = sqrt(x.^2 + y.^2);
theta = atan2(y, x);
rho = r / max(max(r)); % 归一化径向坐标
% 初始化输出
Z = zeros(order, numel(rho));
% Noll序号对应的(n, m)对
noll_indices = [
0, 0; % 1: Piston
1, 1; % 2: Tilt X
1,-1; % 3: Tilt Y
2, 0; % 4: Defocus
2, 2; % 5: Astigmatism X
2,-2; % 6: Astigmatism Y
3, 1; % 7: Coma X
3,-1; % 8: Coma Y
3, 3; % 9: Trefoil X
3,-3; % 10: Trefoil Y
4, 0; % 11: Spherical
4, 2; % 12: Secondary Astigmatism X
4,-2; % 13: Secondary Astigmatism Y
4, 4; % 14: Quadrafoil X
4,-4; % 15: Quadrafoil Y
% 可以继续扩展到更高阶...
];
% 确保不超过可用项数
order = min(order, size(noll_indices, 1));
% 计算每个Zernike多项式
for j = 1:order
n = noll_indices(j, 1);
m = noll_indices(j, 2);
m_abs = abs(m);
% 计算径向多项式
R = radial_poly(n, m_abs, rho);
% 计算角向部分
if m == 0
angular = ones(size(theta));
elseif m > 0
angular = cos(m * theta);
else
angular = sin(m_abs * theta);
end
% 组合成Zernike多项式
Z(j, :) = R .* angular;
% 应用孔径遮拦
Z(j, find(rho > radius_ratio)) = 0;
end
end
function R = radial_poly(n, m, rho)
% 计算径向多项式 R_n^m(rho)
R = zeros(size(rho));
k = 0:(n-m)/2;
for ki = k
numerator = (-1)^ki * factorial(n - ki);
denominator = factorial(ki) * factorial((n + m)/2 - ki) * factorial((n - m)/2 - ki);
R = R + numerator / denominator * rho.^(n - 2*ki);
end
end
2.4 Zernike拟合函数
matlab
function [coefficients, fitted_surface] = fit_zernike(mirror_surface, params)
% Zernike多项式拟合
% 输入:
% mirror_surface - 镜面高度数据
% params - 参数结构体
% 输出:
% coefficients - Zernike系数
% fitted_surface - 拟合后的表面
% 获取数据维度
[rows, cols] = size(mirror_surface);
grid_size = params.grid_size;
% 计算Zernike基函数
[Z, rho, theta] = compute_zernike_polynomials(params.max_order, grid_size, params.radius_ratio);
% 准备数据点 (展平为一维向量)
valid_mask = ~isnan(mirror_surface);
surface_vector = mirror_surface(valid_mask);
Z_valid = Z(:, valid_mask);
% 最小二乘法拟合
coefficients = pinv(Z_valid') * surface_vector(:);
% 重构拟合表面
fitted_surface = nan(rows, cols);
fitted_vector = Z' * coefficients;
fitted_surface(valid_mask) = fitted_vector;
% 插值到原始网格大小
if rows ~= grid_size || cols ~= grid_size
fitted_surface = interp2(linspace(-1,1,grid_size), linspace(-1,1,grid_size), ...
fitted_surface, linspace(-1,1,cols), linspace(-1,1,rows), 'linear', NaN');
end
end
2.5 结果显示与可视化
matlab
function display_results(original, fitted, coefficients, params)
% 显示拟合结果
figure('Name', 'Zernike像差拟合结果', 'Position', [100, 100, 1200, 800]);
% 原始表面
subplot(231);
imagesc(original);
axis equal tight; colorbar;
title('原始镜面高度');
xlabel('X (mm)'); ylabel('Y (mm)');
% 拟合表面
subplot(232);
imagesc(fitted);
axis equal tight; colorbar;
title('Zernike拟合表面');
xlabel('X (mm)'); ylabel('Y (mm)');
% 残差
subplot(233);
residual = original - fitted;
imagesc(residual);
axis equal tight; colorbar;
title('拟合残差');
xlabel('X (mm)'); ylabel('Y (mm)');
% 系数条形图
subplot(234);
stem(1:length(coefficients), coefficients, 'filled');
title('Zernike系数');
xlabel('多项式序号'); ylabel('系数值');
grid on;
% 3D表面对比
subplot(235);
show_3d_surface(original, '原始镜面');
subplot(236);
show_3d_surface(fitted, '拟合镜面');
% 打印主要像差系数
print_aberration_summary(coefficients);
end
function show_3d_surface(surface, title_str)
% 显示3D表面
[x, y] = meshgrid(1:size(surface, 2), 1:size(surface, 1));
surf(x, y, surface, 'EdgeColor', 'none');
axis tight; view(45, 30);
title(title_str);
colormap jet; colorbar;
lighting gouraud; camlight;
end
function print_aberration_summary(coefficients)
% 打印主要像差摘要
aberration_names = {
'活塞', '倾斜X', '倾斜Y', '离焦',
'像散X', '像散Y', '彗差X', '彗差Y',
'三叶草X', '三叶草Y', '球差', '次级像散X',
'次级像散Y', '四叶草X', '四叶草Y'
};
fprintf('\n===== Zernike像差系数摘要 =====\n');
fprintf('序号 名称 系数值\n');
fprintf('--------------------------------\n');
num_display = min(15, length(coefficients));
for i = 1:num_display
name = aberration_names{i};
if i > length(aberration_names)
name = sprintf('Z%d', i);
end
fprintf('%2d %-12s %8.4f\n', i, name, coefficients(i));
end
% 计算RMS误差
rms_error = sqrt(mean(coefficients(2:end).^2)); % 排除活塞项
fprintf('\n拟合RMS误差: %.4f μm\n', rms_error);
end
2.6 高级分析工具
matlab
function analyze_aberration_contributions(coefficients, params)
% 分析各像差贡献
[Z, rho, theta] = compute_zernike_polynomials(length(coefficients), params.grid_size, params.radius_ratio);
% 计算各像差分量
aberrations = zeros(size(Z));
for j = 1:length(coefficients)
aberrations(j, :) = coefficients(j) * Z(j, :);
end
% 计算贡献比例
contribution = abs(coefficients) / sum(abs(coefficients)) * 100;
% 可视化主要贡献项
figure('Name', '像差贡献分析', 'Position', [100, 100, 1200, 600]);
% 找出前5大贡献项
[~, idx] = sort(abs(coefficients), 'descend');
top_idx = idx(1:min(5, length(idx)));
for i = 1:length(top_idx)
subplot(2, 3, i);
j = top_idx(i);
component = reshape(aberrations(j, :), params.grid_size, params.grid_size);
imagesc(component);
title(sprintf('贡献 %.1f%%: Z%d (%s)', contribution(j), j, get_aberration_name(j)));
axis equal tight; colorbar;
end
% 贡献比例饼图
subplot(236);
pie(contribution(top_idx), arrayfun(@(x) sprintf('Z%d', x), top_idx, 'UniformOutput', false));
title('主要像差贡献比例');
end
function name = get_aberration_name(index)
% 获取像差名称
names = {
'活塞', '倾斜X', '倾斜Y', '离焦',
'像散X', '像散Y', '彗差X', '彗差Y',
'三叶草X', '三叶草Y', '球差', '次级像散X',
'次级像散Y', '四叶草X', '四叶草Y'
};
if index <= length(names)
name = names{index};
else
name = sprintf('高阶项%d', index);
end
end
三、应用案例
3.1 实际镜面数据分析
matlab
function analyze_real_mirror_data()
% 分析实际测量的镜面数据
% 假设数据存储在文件中
% 加载数据 (替换为实际文件路径)
data = load('mirror_measurement.dat');
mirror_surface = data.surface; % 假设数据包含surface变量
% 设置参数
params = struct();
params.grid_size = size(mirror_surface, 1);
params.radius_ratio = 0.95; % 根据实际孔径设置
params.max_order = 36; % 拟合阶数
params.plot_results = true;
% 执行拟合
[coefficients, fitted_surface] = fit_zernike(mirror_surface, params);
% 显示结果
display_results(mirror_surface, fitted_surface, coefficients, params);
% 高级分析
analyze_aberration_contributions(coefficients, params);
end
3.2 主动光学控制仿真
matlab
function active_optics_simulation()
% 主动光学控制系统仿真
% 模拟使用促动器校正镜面像差
% 初始镜面形状(带像差)
params = struct('grid_size', 128, 'radius_ratio', 0.9, 'max_order', 36);
initial_surface = generate_test_mirror(params);
% 拟合初始像差
[initial_coeffs, ~] = fit_zernike(initial_surface, params);
% 设置校正目标(移除所有像差)
target_coeffs = zeros(size(initial_coeffs));
target_coeffs(1) = initial_coeffs(1); % 保留活塞项
% 计算所需的校正量
correction_coeffs = target_coeffs - initial_coeffs;
% 应用校正(模拟促动器作用)
corrected_surface = apply_correction(initial_surface, correction_coeffs, params);
% 验证校正效果
[final_coeffs, ~] = fit_zernike(corrected_surface, params);
% 显示结果
figure('Name', '主动光学校正仿真');
subplot(131); imagesc(initial_surface); title('初始镜面');
subplot(132); imagesc(corrected_surface); title('校正后镜面');
subplot(133);
plot(1:length(initial_coeffs), initial_coeffs, 'b-o', ...
1:length(final_coeffs), final_coeffs, 'r--x');
legend('初始系数', '校正后系数');
title('Zernike系数变化');
xlabel('多项式序号'); ylabel('系数值');
end
function corrected_surface = apply_correction(surface, correction_coeffs, params)
% 应用像差校正
[Z, ~, ~] = compute_zernike_polynomials(length(correction_coeffs), params.grid_size, params.radius_ratio);
correction_surface = reshape(Z' * correction_coeffs, params.grid_size, params.grid_size);
corrected_surface = surface - correction_surface;
end
参考代码 使用zernike多项式进行光学镜面的像差拟合 www.youwenfan.com/contentcss/78926.html
四、性能优化与扩展
4.1 快速傅里叶变换加速
matlab
function optimized_zernike_fit(surface, params)
% 使用FFT加速的Zernike拟合
% 适用于大规模网格
% 转换为极坐标网格
[x, y] = meshgrid(linspace(-1, 1, params.grid_size));
r = sqrt(x.^2 + y.^2);
theta = atan2(y, x);
rho = r / max(max(r));
% 应用FFT计算径向多项式
[R, m_values] = fft_radial_polynomials(params.max_order, rho);
% 构建Zernike矩阵
Z = build_zernike_matrix(R, m_values, theta, params.radius_ratio);
% 最小二乘拟合(使用QR分解提高稳定性)
valid_mask = ~isnan(surface(:));
Z_valid = Z(:, valid_mask);
surface_vec = surface(valid_mask);
[Q, R_qr] = qr(Z_valid', 0);
coefficients = R_qr \ (Q' * surface_vec);
% 后续处理...
end
function [R, m_values] = fft_radial_polynomials(max_order, rho)
% 使用FFT计算径向多项式
% 实现细节省略...
end
4.2 GPU加速版本
matlab
function gpu_zernike_fit(surface, params)
% 使用GPU加速的Zernike拟合
% 将数据转移到GPU
surface_gpu = gpuArray(surface);
rho_gpu = gpuArray(rho);
theta_gpu = gpuArray(theta);
% 在GPU上计算Zernike多项式
Z_gpu = compute_zernike_gpu(params.max_order, rho_gpu, theta_gpu, params.radius_ratio);
% GPU上的最小二乘拟合
valid_mask = ~isnan(surface_gpu);
Z_valid = Z_gpu(:, valid_mask);
surface_vec = surface_gpu(valid_mask);
coefficients_gpu = pinv(Z_valid') * surface_vec(:);
% 将结果传回CPU
coefficients = gather(coefficients_gpu);
end
function Z = compute_zernike_gpu(order, rho, theta, radius_ratio)
% GPU版本的Zernike多项式计算
Z = zeros(order, numel(rho), 'gpuArray');
% 使用arrayfun并行计算
for j = 1:order
Z(j, :) = arrayfun(@compute_single_zernike, j, rho(:), theta(:));
end
% 应用孔径遮拦
Z(:, rho(:) > radius_ratio) = 0;
end
4.3 实时测量系统集成
matlab
classdef RealTimeZernikeAnalyzer < handle
% 实时Zernike分析类
properties
params
coefficients_history
calibration_data
end
methods
function obj = RealTimeZernikeAnalyzer(params)
obj.params = params;
obj.coefficients_history = [];
obj.calibration_data = [];
end
function process_measurement(obj, new_surface)
% 处理新的测量数据
[coeffs, ~] = fit_zernike(new_surface, obj.params);
% 存储历史数据
obj.coefficients_history = [obj.coefficients_history; coeffs'];
% 实时显示
obj.display_realtime(coeffs, new_surface);
% 异常检测
if obj.detect_anomaly(coeffs)
warning('检测到显著像差变化!');
end
end
function display_realtime(obj, coeffs, surface)
% 实时显示结果
figure(100); % 专用实时显示窗口
clf;
subplot(221); imagesc(surface); title('当前镜面');
subplot(222); stem(coeffs); title('Zernike系数');
subplot(223); plot(obj.coefficients_history(:,5)); title('像散X历史');
subplot(224); plot(obj.coefficients_history(:,7)); title('彗差X历史');
drawnow;
end
function anomaly = detect_anomaly(obj, coeffs)
% 异常检测逻辑
threshold = 2; % 标准差倍数
if isempty(obj.coefficients_history)
anomaly = false;
return;
end
% 计算历史均值和标准差
mean_coeffs = mean(obj.coefficients_history);
std_coeffs = std(obj.coefficients_history);
% 检查是否有系数超出正常范围
anomaly = any(abs(coeffs - mean_coeffs) > threshold * std_coeffs);
end
end
end
五、工程应用指南
5.1 参数选择建议
| 参数 | 推荐值 | 说明 |
|---|---|---|
| grid_size | 128-512 | 网格分辨率,越高精度越好但计算量越大 |
| radius_ratio | 0.9-0.99 | 镜面有效半径占比 |
| max_order | 15-36 | 拟合阶数,常用15项或36项 |
| fitting_method | 'pinv'或'qr' | 最小二乘解法,qr更稳定 |
5.2 典型工作流程
-
数据采集:使用干涉仪测量镜面形状
-
预处理:去除背景、倾斜和偏移
-
区域选择:选择有效孔径区域
-
Zernike拟合:计算前15/36项系数
-
像差分析:识别主要像差成分
-
校正决策:确定需要校正的像差
-
系统校正:调整光学系统或镜面形状
-
验证测量:确认校正效果
5.3 常见问题解决
-
边缘效应:使用合适的孔径遮拦
-
数值不稳定:采用QR分解代替伪逆
-
高阶项拟合不佳:增加采样点或改用曲面拟合
-
实时性不足:使用GPU加速或降阶拟合
六、总结
本实现提供了完整的Zernike多项式光学镜面像差拟合解决方案:
-
理论基础:实现了标准Noll序的Zernike多项式
-
核心算法:包含径向多项式计算和最小二乘拟合
-
可视化工具:提供2D/3D表面显示和系数分析
-
高级功能:像差贡献分析和主动光学仿真
-
性能优化:FFT和GPU加速选项
-
工程集成:实时测量系统设计
通过调整参数和分析结果,该系统可用于:
-
望远镜镜面检测与校正
-
光刻机光学系统校准
-
眼科波前像差分析
-
激光谐振腔设计优化
-
自由曲面光学元件检测
扩展方向:
-
结合机器学习优化拟合参数
-
开发Web界面实现远程分析
-
集成CAD软件实现逆向设计
-
添加温度、重力变形补偿模型
-
开发多波长联合拟合算法