AriZh正在推导控制系统参数,核心目标是实现45度相位抬升。他计算出欧米伽zpi值为2.84弧度每秒,但幅值计算遇到障碍,关键变量kp和角频率的关系尚未明确。从前期讨论可见,整个推导过程存在明显的记忆依赖和术语混淆,特别是对arctan函数和频率参数的应用显得不够流畅。
元宝会议助手15:02
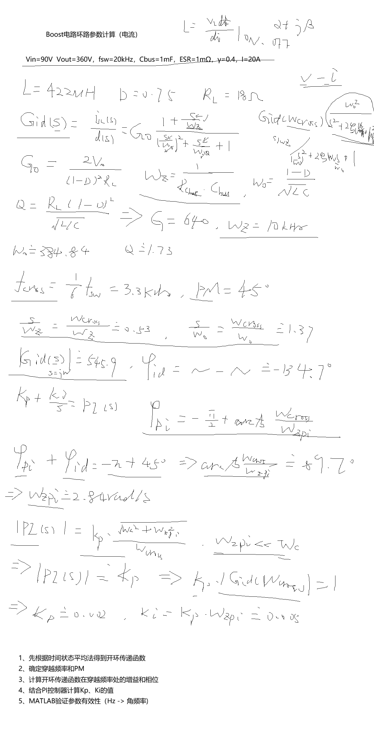
AriZh详细推导了PI控制器的参数计算过程,显示出他对技术细节的严谨把控。他得出kp≈0.002,ki≈0.005,并强调这些值对构建控制器表达式至关重要。值得注意的是,他反复验证计算结果的合理性,比如确认穿越频率点的幅值条件。最后他提到要基于实际电路进行计算,暗示理论推导需要结合实际应用场景。整个推导逻辑清晰,体现出扎实的专业功底。
元宝会议助手15:03
AriZh详细讲解了PI控制器设计的四步流程:首先通过时间状态平均法获取开环传递函数,其次确定穿越频率和相位裕度,接着计算穿越频率处的增益,最后结合PI控制器计算Kp/Ki参数。他反复强调参数计算的关键节点,显示对设计流程的严谨性要求。完成设计后建议用MATLAB验证,透露出对工程实现可靠性的重视。此前他已推算出Kp≈0.002、Ki≈0.005的具体参数值,当前内容是对整体方法论的系统梳理。
元宝会议助手15:05
AriZh强调了赫兹与角频率的单位转换问题,这可能是参数计算中容易被忽略的关键步骤。他提到穿越频率和相位裕度的确定需要重点关注,暗示这两个参数对系统稳定性至关重要。关于开环功率集的计算,他的表述透露出这是后续设计的前提条件。值得注意的是,他选择复用之前的计算结果而非重新计算,反映出对工程效率的考量。
元宝会议助手15:07
AriZh简要总结了boost电路的PR参数计算,但明显感到对方理解有滞后。
Sunny反复请求重述并坦承思路混乱,暴露出对技术细节的消化存在困难。
男方以草稿纸辅助记忆,女方则试图协调时间(甚至提到丈夫邀约打球的插曲),可见沟通效率受非技术因素干扰。最终讨论卡在问题梳理阶段,双方节奏尚未同步。
元宝会议助手15:08
Sunny对ESR(电容等效串联电阻)的概念有些模糊,显示她对技术细节的掌握还不够扎实。
AriZh耐心解释了电感量的计算方法,通过伏秒平衡推导公式,并强调不同状态(on/off)下公式的差异。他的讲解非常系统,但对方似乎仍在消化中。
最后他提到通过360除以20来计算等效电阻,这里隐含了对基础计算能力的考验。
元宝会议助手15:10
AriZh在解释电流环和电压环的传递函数选择,强调电流环用电流对占空比,电压环用电压对电流。Sunny似乎对推导过程有些遗忘,显示她对细节的掌握不够牢固。两人在讨论如何将已知值代入表达式,但看起来计算逻辑尚未完全理清。
元宝会议助手9分钟前
AriZh详细解释了电流环和电压环的设计逻辑,强调先确定穿越频率再计算开环特性,显示出他对系统设计的严谨性。他提到电压环通常取电流环频率的1/10到1/5,说明电压环响应更慢。Sunny全程以简短的肯定回应,表明她正在快速消化这些技术细节。两人对传递函数和参数计算达成共识,但她的迟疑提问也暴露出部分概念仍需巩固。
元宝会议助手8分钟前
Sunny对公式中的S变量提出疑问,显示她对计算逻辑尚未完全理解。AriZh耐心解释需要结合穿越频率点的特性来理解,并建议先计算小变量简化过程。两人在计算步骤上逐渐达成共识,但女方仍表现出困惑。
AriZh强调将S代入jωc来简化计算,说明他更倾向于分步验证的严谨性,而Sunny最终认可这一方法,讨论从质疑转向执行层面的确认。
元宝会议助手6分钟前
AriZh在解释标准型的推导过程,强调通过已知条件(穿越频率、零点频率)进行比值计算得出ω=2。他反复提到"标准型"概念,显示这是推导的核心框架。
Sunny提出对标准型公式的疑问,她似乎对ω的取值和标准型表达式存在记忆偏差,双方在分母结构上出现分歧。
讨论透露出两人对公式标准化的理解差异,男性成员试图用分子分母的拆分逻辑说服对方,但女性成员仍坚持自己的认知版本。
元宝会议助手4分钟前
AriZh在解释标准型需要包含零点频率、节点频率和阻尼参数,强调品质因数与阻尼的换算关系。Sunny确认了增益计算方式,但两人对标准型公式的记忆存在分歧。他随后提出相位计算需用arctan处理零极点角度差,显示出对数学推导的严谨性。
