文章目录
摘要
本周主要围绕经典逻辑门与量子计算基础展开学习。在经典计算部分,理解了与、或、非等基本逻辑门的运算规则及其组合方式;在量子计算方面,重点掌握了可逆计算与逆运算的概念,认识到量子门必须是可逆的这一核心特性。同时,通过Bloch球模型直观理解单量子比特的状态表示及其在量子演化中的变化过程,并学习了常见的单量子比特门及其作用机理。
Abstract
This week focused on learning about classical logic gates and the fundamentals of quantum computing. In the classical computing section, I understood the operational rules of basic logic gates such as AND, OR, NOT, and their combinations. In the quantum computing aspect, I primarily grasped the concepts of reversible computation and inverse operations, recognizing the core characteristic that quantum gates must be reversible. Additionally, I gained an intuitive understanding of single-qubit state representation and its evolution process through the Bloch sphere model, while also learning about common single-qubit gates and their operational mechanisms.
经典计算与可逆计算
经典逻辑门

可逆计算的概念
不可逆性:经典逻辑门通常是不可逆的,输入信息的丢失伴随着能量耗散。
可逆性:由于量子演化是幺正的,**量子计算必须是可逆计算 **。
托佛利门作为通用逻辑门的重要特性,托佛利门这一种三量子比特门,就能构建出所有经典计算中所需的基本逻辑操作,从而实现任何经典计算功能。

逆运算:计算产生的 Ancilla "垃圾比特"必须通过逆向运行电路来清除,以恢复到初始状态。引入辅助比特并采用可逆门操作后,所有输入信息均得以完整保留,从而使计算过程在物理层面上实现可逆(例如量子计算中所有操作都必须满足可逆性)。而垃圾比特的出现,则说明实现可逆性需要承担额外的资源开销。这一原理构成了经典计算与量子计算之间的纽带,为在量子计算机上执行经典算法奠定了理论基础。

从子比特的基本定义出发,说明其状态是一个二维复向量,形式为 (a0a1),其中 a0和 a1是复数,且其模长的平方和必须为 1,这个条件保证了测量概率的总和为 1。图中引入了 "计算基" 的概念,即 ∣0⟩和 ∣1⟩这两个标准正交基向量,并开始使用 Dirac 的 "bra-ket"符号 来表示它们

在狄拉克符号中,"ket"(如 ∣ψ⟩)表示列向量,而"bra"(如 ⟨ψ∣)则表示其共轭转置,即行向量。二者组合成 ⟨ϕ∣ψ⟩ 即"bracket",代表内积。图片通过具体的矩阵运算示例,演示了两个量子态内积的计算过程,并再次强调了态向量的归一化条件 ⟨ψ∣ψ⟩=1。

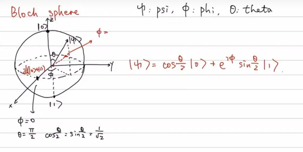
Bloch 球表示
任何一个可能的量子态都可以用从这个球心指向球面某一点的向量来表示。该点的位置由两个角度参数唯一确定:θ 决定了向量相对于北极 |0⟩ 的倾斜角度,而 φ则代表了在赤道平面上的方位角,它直接对应着量子态的相对相位。忽略全局相位后,任意单量子比特态可表示为:
∣ψ⟩=cosθ/2∣0⟩+e^iϕsinθ/2∣1⟩,该表示对应于 Bloch 球面上的一个点。

图片右侧的核心公式正是这种几何表示的数学体现。它说明,一个量子比特的状态可表示为基态
∣0⟩ 与 ∣1⟩ 的叠加,其中叠加的权重由 θ 决定,而关键的复数相位信息则通过 e^iϕ来体现。由此,布洛赫球将原本抽象的复数概率幅转化为直观的三维几何图像,成为理解量子比特叠加、相位及其所有可能状态的基础。
量子演化
量子动力学的一个核心原理是:封闭量子系统随时间演化的过程由酉算符(Unitary Operator)表示。这一理论来源于薛定谔方程(其中 H 可以看成是一个矩阵,而且通常是一个厄米矩阵(等于自己的共轭转置),它在薛定谔方程中被称为哈密顿量。)

在量子计算中,量子动力学的核心思想通过量子门操作与量子线路的演化得以体现。每个量子门本质上都是一个酉算符,对应于一段特定的量子动力学过程。常用的单量子比特门包括:
1、泡利矩阵门(Pauli Gates),它包括三种,分别是X,Y,Z门。其中X 门(比特翻转门)相当于经典非门,在布洛赫球上表现为绕 x 轴旋转180度,它的矩阵表示为:
Y 门可以同时实现比特和相位的翻转,在布洛赫球上表现为绕 y 轴旋转180度,它的矩阵表示为:
Z门可以改变 |1⟩ 的相位,在布洛赫球上表现为绕 z 轴旋转 180度,它的矩阵表示为:
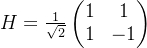
Hadamard门 (H):用于创建叠加态的关键门,矩阵表示:
S门和T门:提供更精细的相位旋转,是构建复杂量子算法的基础组件。
S门的矩阵表示:
T门的矩阵表示:
总结
总体来看,本周的学习加深了对从经典计算到量子计算范式转变的理解,尤其是可逆性与幺正演化在量子计算中的基础地位。通过Bloch球的几何表示,将抽象的量子态变化具体化,有助于建立直观认知。同时,对单量子比特门的掌握为后续学习多比特系统与量子算法奠定了基础,但仍需进一步通过练习巩固相关运算与物理意义的理解