一、BiLSTM+CRF模型介绍
- BILSTM是双向的LSTM,本身是做信息捕获的,需要在上面加一层线性层进行输出标签的概率分布
- 只用BILSTM可以做NER任务,可以用发射分数最高的作为标签,但是效果可能不是最佳的,因为他只考虑词的局部最高概率,不会考虑考虑整个语义.
- CRF模型负责生成转移分数,我们训练CRF也是为了获取转移分数矩阵
- Decoding Process 通过相加发射分数和转移分数,获取最佳的路径.
- CRF输出的是转移分数矩阵

二、线性链条件随机场
线性链:输入序列x和输出标签序列y都是线性序列
条件随机:给定x的条件下,输出y的条件概率分布,需要满足马尔可夫性质
场:用图结构来描述概率依赖关系
马尔科夫性质:生成的标签只和前一个标签和后一个标签有关系,与其他标签或者序列无关。
线性链条件随机场图示:

三、发射分数和转移分数
3.1发射分数
发射分数由BILSTM+线性层产生,主要用于生成标签权重。
执行流程:
用户输入序列进来,首先进行向量化,然后经过BILSTM的隐藏状态处理,因为BILSTM是双向的LSTM,所以得到的维度要乘以2,最后经过一个线性层把维度转换为标签数即可。

3.2转移分数
转移分数越高,转移的概率越大
转移矩阵是线性CRF生成的
转移分数矩阵:
转移矩阵是可以学习的矩阵,可以通过训练得到准确的结果

四、CRF最优序列计算方式
发射分数根据标签的位置选择:
比如B-Person位置是(0,1),那么他的发射分数是E00
转移分数则是根据标签的上下文来选择:
比如B-Person的下一个是I-Person,那么就在第二个矩阵中选择0.93.

五、Viterbi解码
CRF输出的是转移分数矩阵,需要使用viterbi解码的方式获取最终的最优路径
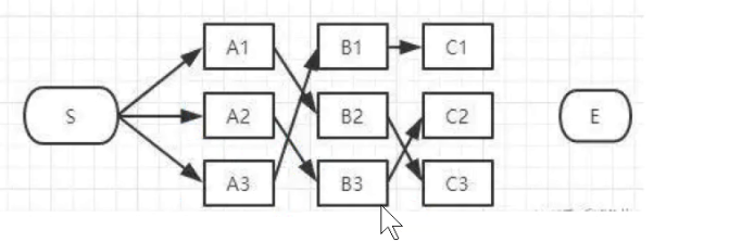
- 原始结算最短路径的方法:分别计算每条路径的长度,然后比较大小

Viterbi算法解决最短路径的
先计算第一列所有的节点和第二列B1的和,然后得到一个最小的,只保留这一条,然后B3
计算的方法类似

然后计算

最后选出最短的即可
