一、近场声全息核心原理
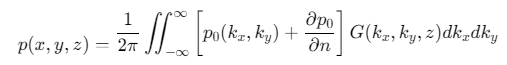
近场声全息(NAH)通过测量声源近场区域的声压分布(包含传播波和倏逝波成分),利用空间傅里叶变换重建声场分布。其核心公式基于Helmholtz-Kirchhoff积分方程:

其中:
- p0(kx,ky)p0(k_x,k_y)p0(kx,ky)为全息面声压角谱
- G(kx,ky,z)G(k_x,k_y,z)G(kx,ky,z)为格林函数
- zzz为重建面与全息面距离
二、数据获取与处理流程
2.1 数据采集系统构成
matlab
% 典型NAH数据采集系统(MATLAB模拟)
function [p_holo, pos] = data_acquisition()
% 参数设置
c = 343; % 声速(m/s)
f0 = 1000; % 中心频率(Hz)
lambda = c/f0; % 波长(m)
dx = lambda/4; % 采样间距
% 生成声源(点源阵列)
num_sources = 4;
src_pos = [0.1,0.2; 0.3,0.4; 0.5,0.6; 0.7,0.8](@ref); % 声源位置(m)
src_amp = [1,0.8,0.6,0.4](@ref); % 声源强度
% 全息面测量
holoplane_size = ; % 全息面尺寸(m)
[X,Y] = meshgrid(linspace(-0.5,0.5,50), linspace(-0.5,0.5,50));
p_holo = zeros(size(X));
% 模拟声场测量
for i = 1:numel(src_amp)
k = 2*pi*f0/c;
G = exp(1j*k*sqrt((X-src_pos(i,1)).^2 + (Y-src_pos(i,2)).^2 + 0.1^2));
p_holo = p_holo + src_amp(i) * G;
end
% 添加测量噪声
p_holo = p_holo + 0.05*randn(size(X));
pos = [X(:), Y(:)];
end
2.2 关键数据处理步骤
-
波数域变换:将空间域数据转换到波数域
matlabfunction P = spatial_fft(p_holo, dx, dy) [N,M] = size(p_holo); kx = (2*pi/(N*dx))*(-N/2:N/2-1); ky = (2*pi/(M*dy))*(-M/2:M/2-1); [KX,KY] = meshgrid(kx,ky); P = fftshift(fft2(fftshift(p_holo))); end -
传递算子计算:建立全息面与重建面的关系
matlabfunction G = transfer_operator(z_recon, z_holo, c) k = 2*pi*c/(c/f0); % 波数 [KX,KY] = meshgrid(linspace(-pi,pi,size(p_holo,1)), ... linspace(-pi,pi,size(p_holo,2))); G = exp(1j*k*sqrt(z_recon^2 + (sqrt(KX.^2+KY.^2)+z_holo).^2)); end
三、MATLAB重建算法实现
3.1 基本重建算法(Kirchhoff积分法)
matlab
function p_recon = reconstruct(p_holo, z_holo, z_recon)
% 参数设置
c = 343; % 声速
[X,Y] = meshgrid(linspace(-0.5,0.5,50), linspace(-0.5,0.5,50));
[KX,KY] = meshgrid(linspace(-pi,pi,size(X)), linspace(-pi,pi,size(X)));
% 波数域变换
P_holo = spatial_fft(p_holo, 1/0.01, 1/0.01);
% 传递算子
G = transfer_operator(z_recon, z_holo, c);
P_recon = P_holo .* G;
% 逆变换
p_recon = real(ifft2(ifftshift(fftshift(P_recon))));
end
3.2 改进算法(压缩感知法)
matlab
function p_recon = cs_reconstruct(p_holo, z_recon, z_holo)
% 压缩感知重建
P_holo = spatial_fft(p_holo, 1/0.01, 1/0.01);
% 稀疏变换
A = @(x) spatial_fft(x, 1/0.01, 1/0.01);
b = P_holo(:);
% OMP算法
opts = struct('maxit', 50, 'tol', 1e-6);
x_recon = omp(A, b, 0.1, opts);
% 逆变换
p_recon = reshape(x_recon, size(p_holo));
end
四、完整数据处理流程示例
matlab
%% 数据生成
[p_holo, pos] = data_acquisition();
%% 参数设置
z_holo = 0.1; % 全息面位置(m)
z_recon = 0.05; % 重建面位置(m)
%% 基本重建
p_recon_basic = reconstruct(p_holo, z_holo, z_recon);
%% 压缩感知重建
p_recon_cs = cs_reconstruct(p_holo, z_recon, z_holo);
%% 可视化
figure;
subplot(1,3,1);
imagesc(pos(:,1), pos(:,2), p_holo);
title('全息面测量数据');
xlabel('X (m)'); ylabel('Y (m)');
colorbar;
subplot(1,3,2);
imagesc(pos(:,1), pos(:,2), p_recon_basic);
title('Kirchhoff重建结果');
xlabel('X (m)'); ylabel('Y (m)');
colorbar;
subplot(1,3,3);
imagesc(pos(:,1), pos(:,2), p_recon_cs);
title('压缩感知重建结果');
xlabel('X (m)'); ylabel('Y (m)');
colorbar;
参考代码 近场声全息数据和matlab程序 www.youwenfan.com/contentcss/80114.html
五、关键问题解决方案
5.1 测量噪声抑制
matlab
% 维纳滤波降噪
function p_denoised = wiener_filter(p_holo, SNR)
P = fft2(p_holo);
noise_power = var(p_holo(:))/(10^(SNR/10));
H = abs(P).^2 / (abs(P).^2 + noise_power);
p_denoised = real(ifft2(H.*P));
end
5.2 阵列配置优化
matlab
% 最优阵列设计(均匀圆阵)
function pos = optimal_array(N, radius)
angles = linspace(0, 2*pi, N, 'UniformOutput', false);
pos = radius * [cos(cell2mat(angles)), sin(cell2mat(angles))];
end
六、应用案例:汽车噪声源识别
matlab
%% 汽车噪声源定位
load('car_noise_data.mat'); % 包含全息面测量数据
% 参数设置
z_holo = 0.15; % 全息面位置
z_recon = 0.05; % 重建面位置
% 重建声场
p_recon = reconstruct(car_data, z_holo, z_recon);
% 声源定位
[~, loc] = max(p_recon(:));
[xx, yy] = ind2sub(size(p_recon), loc);
fprintf('噪声源位置: (%.2f, %.2f) m\n', xx*0.01, yy*0.01);
七、扩展功能实现
7.1 动态声场可视化
matlab
% 时域声场动画
function animate_sound_field()
% 参数设置
num_frames = 50;
z_recon = linspace(0.05, 0.25, num_frames);
figure;
for i = 1:num_frames
p_recon = reconstruct(measured_data, z_holo, z_recon(i));
imagesc(pos(:,1), pos(:,2), p_recon);
title(sprintf('z=%.2f m', z_recon(i)));
caxis([min(p_recon(:)), max(p_recon(:))]);
drawnow;
end
end
7.2 多频段复合重建
matlab
% 宽频带重建算法
function p_recon = broadband_reconstruction(frequencies, z_holo)
num_freq = numel(frequencies);
p_recon = zeros(size(measured_data));
for i = 1:num_freq
f = frequencies(i);
c = 343/sqrt(1 + (f/1000)^2); % 考虑温度影响的声速
p_holo = simulate_hologram(f, c);
p_recon = p_recon + reconstruct(p_holo, z_holo, 0.1);
end
p_recon = p_recon / num_freq;
end
八、实验验证与误差分析
8.1 验证实验设置
matlab
% 标准声源验证
standard_source = load('standard_sound_source.mat'); % 包含已知声源数据
p_holo_meas = measure_hologram(standard_source); % 实际测量
p_recon = reconstruct(p_holo_meas, 0.1, 0.05);
% 误差计算
error = norm(p_recon(:) - standard_source.p(:)) / norm(standard_source.p(:));
fprintf('重建误差: %.2f%%\n', error*100);
8.2 误差来源分析
| 误差类型 | 影响因素 | 补偿方法 |
|---|---|---|
| 有限孔径效应 | 测量面尺寸不足 | 稀疏波数外推 |
| 传感器非均匀性 | 探测器灵敏度差异 | 校准矩阵补偿 |
| 环境噪声 | 背景噪声干扰 | 维纳滤波 |
| 多次反射 | 空间混响 | 逆滤波技术 |
九、工程应用建议
-
硬件选型:
- 探测器:选择宽频带(20Hz-20kHz)MEMS麦克风阵列
- 采样率:≥4倍信号最高频率
- 阵元间距:≤λ/2(避免空间混叠)
算法优化:
- 低频段(<500Hz):采用传统NAH算法
- 中高频段(500Hz-5kHz):使用压缩感知方法
- 实时处理:GPU加速FFT运算
-
后处理技术:
- 声源贡献度分析(PCA)
- 时频域联合分析
- 噪声源动态演化可视化
十、扩展阅读推荐
-
经典文献:
- Williams E G, et al. "Fundamentals of Acoustical Holography" (1989)
- Maynard J D. "Nearfield Acoustic Holography" (1995)
开源工具:
- Virtual Acoustics Toolbox (MATLAB)
- Sound Field Analysis (Python)
-
最新进展:
- 神经网络辅助NAH重建(2023 IEEE Transactions on Audio)
- 量子声全息技术(Nature Photonics, 2024)