本文核心内容:
IAGWO算法主要框架及该算法创新点
Matlab代码实现(可免费获取,包括代码及原文献)
IAGWO原文:Improved multi-strategy adaptive Grey Wolf Optimization for practical engineering applications and high-dimensional problem solving[J]. Artificial Intelligence Review, 2024, 57(10).DOI:10.1007/s10462-024-10821-3.
【算法解析】中KAU将对精选的创新算法及应用文献进行系统性拆解,深入阐释其改进逻辑,并复现可执行的源代码。让你不仅能看懂,还能直接拿去用(对比或借鉴)!话不多说,下面就来对IAGWO展开具体解析。
1 IAGWO算法框架及其主要特点
IAGWO主要内容(摘要):
首先,在搜索机制中引入速度项与逆多元二次函数(IMF),该融合方式既能加快收敛速度,又能保证精度。其次,采用种群更新自适应策略,动态增强算法的搜索与优化性能。在CEC 2017、CEC 2020、CEC 2022及CEC 2013大规模全局优化基准测试集上开展对比实验,验证了所提 IAGWO 的有效性。
IAGWO算法流程如下:

图中,Eq.(8)为加入速度概念的搜索机制公式;Eq.(10)为逆多元二次函数惯性权重的更新方式。下面KAU将对IAGWO算法的改进策略进一步介绍。
1.1 速度概念
该方法本质上是引入了粒子群优化(PSO)的速度概念从而为灰狼优化算法提供一种新的搜索机制。在迭代初期对灰狼个体的位置进行更新,并在速度更新中引入额外随机性,可避免算法过早收敛,促进对新区域的探索,从而提升种群多样性。其更新公式为:

其中,phi是[0,1]之间的随机数。
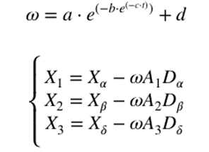
1.2 逆多元二次函数惯性权重
逆多二次函数是一种基于逆多平方原理的递减函数,常被用作神经网络中的正则化方法,例如支持向量机中的核函数。结合逆多二次函数的特性,IAGWO将其融入灰狼优化算法框架下的种群位置更新机制。逆多二次函数惯性权重ω及狼群更新过程的修正公式详见公式,该公式本质上是给原GWO的位置更新方式增加了一个惯性权重,不过引入了其他领域的一个概念,可作为一个创新点,比如强化学习、量子计算、信息熵等概念都是最近比较火的概念结合案例。

2 代码实现
KAU复现了IAGWO的源码,以便于学习和在需要进行函数对比时对其进行调用。KAU提供资源如下:

资源包括
KAU复现后的IAGWO代码
IAGWO源文献

3 资源获取
此为免费资源,(KAU的云实验台) 回复"IAGWO"即可