1、基本求导公式
2、求导四则运算
若以下函数均可导,则
①和、差的导数(微分)
②积的导数(微分)
注:
(1)函数乘积求导公式的证明 ,设
(2),如果遇到因式超过三个的式子,一般不要直接求导,而要另谋他法。
③商的导数(微分)
3、复合函数导数与微分形式不变性
设在点
(没有下标泛指的点,下同)处可导,
在点
处可导,则
上式就是微分形式的不变形------无论是中间变量还是自变量,
都成立。
例题4.2: 设,求
4、分段函数的导数
设其中
分别在
时可导,则
①在分段点处用导数定义求导:
,
根据
ui是否等于
来判定
;
②在非分段点用导数公式求导, 即时,
;
时,
5、反函数的导数
设为单调、可导函数,且
,则存在反函数
,且
,即
注:
(1)设
由,得反函数
,根据反函数求导公式,得
(2)反函数的二阶导数(重要)
在单调,且二阶可导的情况下,若
,则存在反函数
,记

例题4.7:

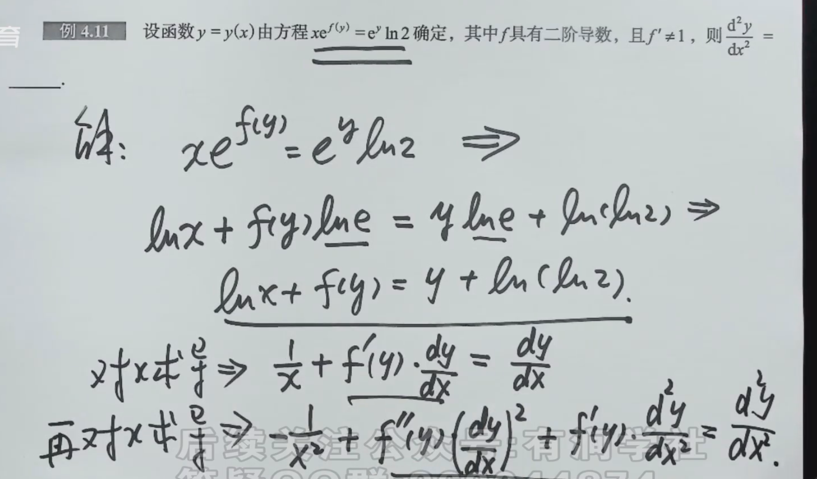
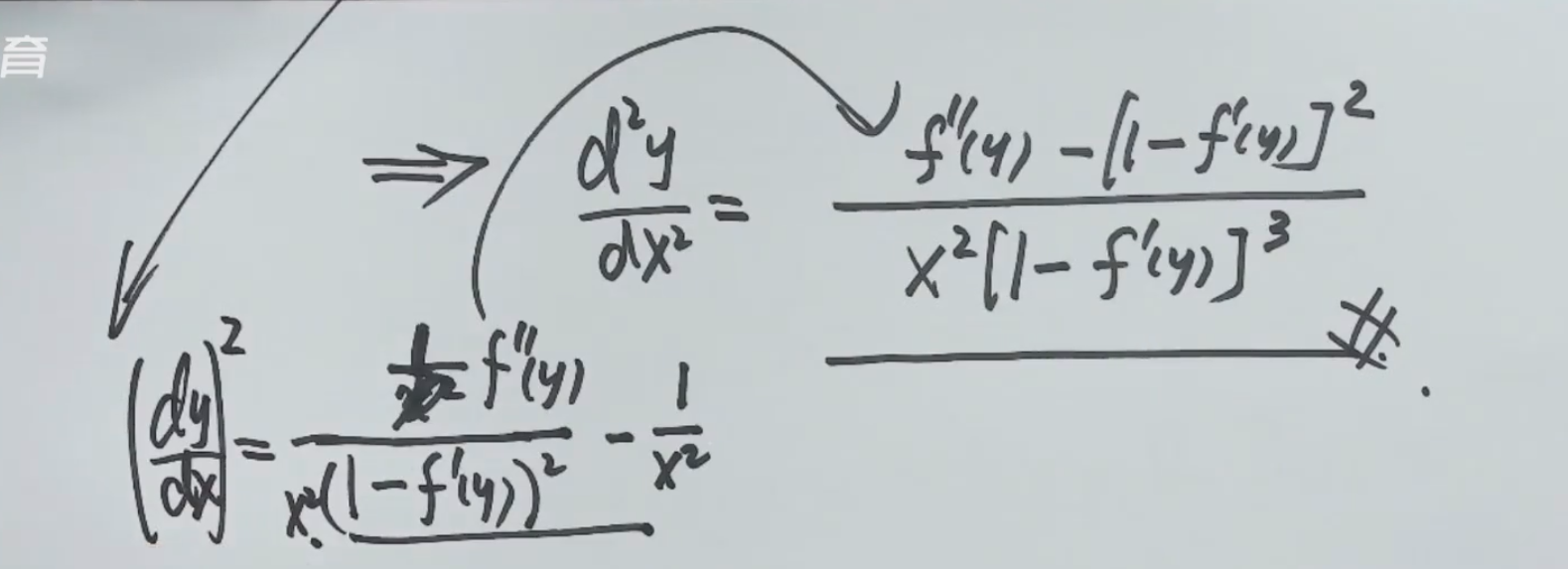
6、隐函数求导方法

例题4.8: 设函数由方程
确定,且
,求
的值

7、参数方程所确定的函数的导数



8、对数求导法



9、幂指函数求导法

例题4.12:

10、高阶导数
求高阶导数主要有三种方法。
(1)归纳法
逐次求导,探索规律,得出通式。



(2)莱布尼茨公式


(3)泰勒展开式
①
②


③
例题4.18:


