💁♂️个人主页:进击的荆棘
👇作者其它专栏:
目录
1.AVL的概念
2.AVL树的实现
1.AVL的概念
●AVL树是最先发明的自平衡二叉查找树,AVL是一颗空树,或具备下列性质的二叉搜索树:它的左右子树都是AVL树,且左右子树的高度差的绝对值不超过1。AVL树是一颗高度平衡搜索二叉树,通过控制高度差去控制平衡。
●AVL树得名于它的发明者G.M.Adelson-Velsky和E.M.Landis是两个前苏联的科学家,他们在1962年的论文《An algorithm for the organization of information》中发表了它。
●AVL树实现这里我们引入一个平衡因子(balance facor)的概念,每个节点都有一个平衡因子,任何节点的平衡因子等于右子树的高度减去左子树的高度,也就是说任何节点的平衡因子等于0/1/-1,AVL树并不是必须要平衡因子,但是有了平衡因子可以更方便我们去进行观察和控制树是否平衡,就像一个风向标一样。
●为什么AVL树是高度平衡搜索二叉树,要求高度差不超过1,而不是高度差是0呢?0不是更好的平衡吗?通过画图我们可以发现,不是不想这样设计,而是有些情况无法做到高度差为0。如:一棵树是2个节点,4个节点等情况下,高度差最好就是1,无法做到高度差是0.
●AVL树整体节点数量和分布和完全二叉树类似,高度可以控制在logN,那么增删查改的效率也可以控制在O(logN),相比二叉搜索树有了本质的提升。


2.AVL树的实现
2.1AVL树的结构
cpp
template<class k,class v>
struct AVLTreeNode{
//需要parent指针,后续更新平衡因子需要
pair<k,v> _kv;
AVLTreeNode<k,v>* _left;
AVLTreeNode<k,v>* _right;
AVLTreeNode<k,v>* _parent;
int _bf;//平衡因子
AVLTreeNode(const pair<k,v>& kv)
:_kv(kv)
,_left(nullptr)
,_right(nullptr)
,_parent(nullptr)
,_bf(0)
{}
};
template<class k,class v>
class AVLTree{
typedef AVLTreeNode<k,v> Node;
public:
private:
Node* _root=nullptr;
};
2.2AVL树的插入
2.2.1AVL树插入一个值的大概过程
1.插入一个值按二叉搜索树规则进行插入。
2.新增节点后,只会影响祖先节点的高度,也就是可能会影响部分祖先节点的平衡因子,所以更新从新增节点->根节点路径上的平衡因子,实际中最坏情况下要更新到根,有些情况更新到中间就可以停止了。
3.更新平衡因子过程中没有出现问题,则插入结束。
4.更新平衡因子过程中出现不平衡,对不平衡子树旋转,旋转后本质调平衡的同时,本质降低了子树的高度,不会再影响上一层,所以插入结束。
2.2.2平衡因子更新
更新原则:
●平衡因子=右子树高度-左子树高度
●只有子树高度变化才会影响当前节点平衡因子
●插入节点,会增加高度,所以新增节点再parent的右子树,parent的平衡因子++,新增节点在parent的左子树,parent平衡因子--
●parent所在子树的高度是否变化决定了是否会继续往上更新
更新停止条件:
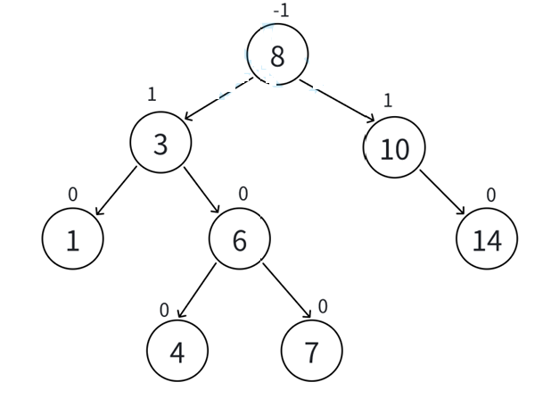
●更新后parent的平衡因子等于0,更新中parent的平衡因子变化为-1->0,说明更新前parent子树一边高一边低,新增的节点插入在低的那边,插入后parent所在的子树高度不变,不会影响parent的父亲节点的平衡因子,更新结束。
●更新后parent的平衡因子等于1或-1,更新前更新中parent的平衡因子变化为0->1或0->-1,说明更新前parent子树两边一样高,新增的插入节点后,parent所在的子树一边高一边低,parent所在的子树符合平衡要求,但是高度增加了1,会影响parent的父亲节点的平衡因子,所以要继续向上更新。
●更新后parent的平衡因子等于2或-2,更新前更新中parent的平衡因子变化为1->2或-1->-2,说明更新前parent子树一边高一边低,新增的插入节点在高的那边,parent所在的子树高的那边更高了,破坏了平衡,parent所在的子树不符合平衡要求,需要旋转处理,旋转的目标有两个:1、把parent子树旋转平衡。2、降低parent子树的高度,恢复到插入节点以前的高度。所以旋转后也不需要继续向上更新,插入结束。
●不断更新,更新到根,根的平衡因子是1或-1也停止了。
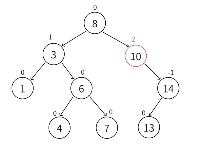
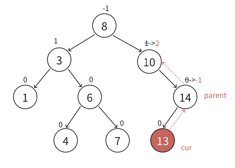
更新到10节点,平衡因子为2,10所在的子树已经不平衡,需要旋转处理

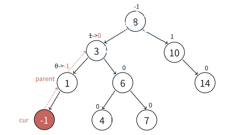
更新到中间节点,3为根的子树高度不变,不会影响上一层,更新结束

最坏更新到根停止

2.2.3插入节点更新平衡因子的代码实现
cpp
bool Insert(const pair<k,v>& kv){
if(!_root){
_root=new Node(kv);
return true;
}
Node* parent=nullptr;
Node* cur=_root;
while(cur){
if(cur->_kv.first<kv.first){
parent=cur;
cur=cur->_right;
}
else if(cur->_kv.first>kv.first){
parent=cur;
cur=cur->_left;
}
else return false;
}
//开始插入
cur=new Node(kv);
if(cur->_kv.first<parent->_kv.first)
parent->_left=cur;
else parent->_right=cur;
//父指针指向父节点
cur->_parent=parent;
//控制平衡
while(parent){
//当节点插入左边时,父节点平衡因子--
if(cur==parent->_left)
parent->_bf--;
//当节点插入右边时,父节点平衡因子++
else parent->_bf++;
//查看树是否依旧平衡
if(parent->_bf==0){
//说明父节点之前是1或-1,插入新节点后,树可能不平衡
break;
}
else if(parent->_bf==1||parent->_bf==-1){
cur=parent;
parent=cur->_parent;
}
else if(parent->_bf==2||parent->_bf==-2){
//不平衡,旋转
break;
}
//防止树一开始就不平衡
else assert(false);
}
return true;
}
2.3旋转
2.3.1旋转的原则
1.保持搜索树的规则
2.让旋转的树从不满足并平衡,其次降低旋转树的高度
旋转总共分为四种,左单选/右单旋/左右双旋/右左双旋。
2.3.2右单旋
●图1展示的是10为根的树,有a/b/c抽象为三颗高度为h的子树(h>=0),a/b/c均符合AVL树的要求。10可能是整棵树的根,也可能是一整棵树中局部的子树的根。这里a/b/c是高度为h的子树,是一种概括抽象表示,它代表了所有右单旋的场景,实际右单旋形态有很多种,图2/图3/图4/图5进行详细描述。
●在a子树中插入一个新节点,导致a子树的高度从h变成h+1,不断向上更新平衡因子,导致10的平衡因子从-1变成-2,10为根的树左右高度差超过1,违反平衡规则。10为根的树左边太高了,需要往右边旋转,控制两棵树的平衡。
●旋转核心步骤,因为5<b子树的值<10,将b变成10的左子树,10变成5的右子树,5变成这棵树新的根,符合搜索树的规则,控制了平衡,同时这棵树的高度恢复到了插入之前的h+2,符合旋转原则。若插入之前10整棵树的局部子树,旋转后不会再影响上一层,插入结束。





2.3.3右单旋代码实现
cpp
void RotateR(Node* parent){
Node* subL=parent->_left;
Node* subLR=subL->_right;
parent->_left=subLR;
//链接父节点
if(subLR)
subLR->_parent=parent;
//防止找不到父结点的父结点
Node* pparent=parent->_parent;
subL->_right=parent;
parent->_parent=subL;
if(parent==_root){
_root=subL;
subL->_parent=nullptr;
}
else{
if(pparent->_left==parent)
pparent->_left=subL;
else pparent->_right=subL;
subL->_parent=pparent;
}
//更新平衡因子
parent->_bf=0;
subL->_bf=0;
}
2.3.4左单旋
●图6展示的是10为根的树,有a/b/c抽象为三棵高度为h的子树(h>=0),a/b/c均符合AVL树的要求。10可能是整棵树的根,也可能是一整棵树中局部的子树的根。这里a/b/c是高度为h的子树,是一种概括抽象表示,它代表了所有右单旋的场景,实际右单旋形态有很多种,具体跟上面左旋类似。
●在a子树中插入一个新节点,导致a子树的高度从h变成h+1,不断向上跟新平衡因子,导致10的平衡因子从1变成2,10为跟的树左右高度差超过1,违反平衡规则。10为跟的树右边太高了,需要往左边旋转,控制两棵树的平衡。
●旋转核心步骤,因为10<b子树的值<15,将b变成10的右子树,10变成15的左子树,15变成这棵树新的根,符合搜索树的规则,控制了平衡,同时这颗的高度恢复到了插入之前的h+2,符合旋转原则。若插入之前10整棵树的一个局部子树,旋转后不会再影响上一层,插入结束。

2.3.5左单旋的实现
cpp
void RotateL(Node* parent){
Node* subR=parent->_right;
Node* subRL=subR->_left;
parent->_right=subRL;
//链接父节点
if(subRL)
subRL->_parent=parent;
//防止找不到父结点的父结点
Node* pparent=parent->_parent;
subR->_left=parent;
parent->_parent=subR;
if(pparent==nullptr){
_root=subR;
subR->_parent=nullptr;
}
else{
if(parent==pparent->_left)
pparent->_left=subR;
else pparent->_right=subR;
subR->_parent=pparent;
}
//更新平衡因子
parent->_bf=subR->_bf=0;
}
2.3.6左右双旋
通过图7和图8可以看到,左边高时,若插入位置不是在a子树,而是插入在b子树,b子树高度从h变成h+1,引发旋转,右单旋无法解决问题,右单旋后,我们的树依旧不平衡。右单旋解决的是存粹的左边高,需要用两次旋转才能解决,以5为旋转点进行一个左单旋,以10为旋转点进行一个右单旋,这棵树就平衡了。


●图7和图8分别为左右双旋中h==0和h==1具体场景分析,下面将a/b/c子树抽象为高度h的AVL子树进行分析,另外把b子树的细节进一步展开为8和左子树高度为h-1的e和f子树,因为我们要对b的父亲5为旋转点进行左单旋,左单旋需要动b树中的左子树。b子树中新增节点的位置不同,平衡因子更新的细节也不同,通过观察8的平衡因子不同,这里可以分3个场景讨论。
●场景1:h>=1时,新增节点插入在e子树,e子树高度从h-1并为h并不断更新8->5->10平衡因子,引发旋转,其中8的平衡因子为-1,旋转后8和5平衡因子为0,10平衡因子为1。
●场景2:h>=1时,新增节点插入在f子树,f子树高度从h-1变为h并不断更新8->5->10平衡因子,引发旋转,其中8的平衡因子为1,旋转后8和10平衡因子为0,5平衡因子为-1.
●场景3:h==0,a/b/c都是空树,b自己就是一个新增节点,不断更新5->10平衡因子,引发旋转,其中8的平衡因子为0,旋转后8和10和5平衡因子均为0。


2.3.7左右双旋代码实现
cpp
oid RotateLR(Node* parent){
Node* subL=parent->_left;
Node* subLR=subL->_right;
int bf=subLR->_bf;
RotateL(parent->_left);
RotateR(parent);
if(bf==0){//更新平衡因子
subL->_bf=0;
subLR->_bf=0;
parent->_bf=0;
}
else if(bf==-1){
subL->_bf=0;
subLR->_bf=0;
parent->_bf=1;
}
else if(bf==1){
subL->_bf=-1;
subLR->_bf=0;
parent->_bf=0;
}
else {
assert(false);
}
}
2.3.8右左双旋
●跟左右双旋类似,下面将a/b/c子树抽象为高度h的AVL子树进行分析,另外需要把b子树的细节进一步展开为12和左子树高度为h-1的e和f子树,因为我们要对b的父亲15为旋转点进行右单旋,右单旋需要动b树中的右子树。b子树中新增节点的位置不同,平衡因子更新的细节也不同,通过观察12的平衡因子不同,这里可以分三个场景讨论。
●场景1:h>=1时,新增节点插入在e子树,e子树高度从h-1变为h并不断更新12->15->10平衡因子,引发旋转,其中12的平衡因子为-1,旋转后10和12平衡因子为0,15平衡因子为1.
●场景2:h>=1时,新增节点插入在f子树,f子树高度从h-1变为h并不断更新12->15->10平衡因子,引发旋转,其中12的平衡因子为1,旋转后15和12平衡因子为0,10平衡因子为-1。
●场景3:h==0时,a/b/c都是空树,b自己就是一个新增节点,不断更新15->10平衡因子,引发旋转,其中12的平衡因子为0,旋转后10和12和15平衡因子均为0.


2.3.8右左双旋代码实现
cpp
void RotateRL(Node* parent){
Node* subR=parent->_right;
Node* subRL=subR->_left;
int bf=subRL->_bf;
RotateR(parent->_right);
RotateL(parent);
if(bf==0){//更新平衡因子
subR->_bf=0;
subRL->_bf=0;
parent->_bf=0;
}
else if(bf==-1){
subR->_bf=1;
subRL->_bf=0;
parent->_bf=0;
}
else if(bf==1){
subR->_bf=0;
subRL->_bf=0;
parent->_bf=-1;
}
else {
assert(false);
}
}
2.4AVL树的查找
拿二叉搜索树的逻辑就可以实现,搜索效率为O(logN)
cpp
Node* Find(const k& key){
Node* cur=_root;
while(cur){
if(cur->_kv.first<key){
cur=cur->_right;
}
else if(cur->_kv.first>key){
cur=cur->_left;
}
else return cur;
}
return nullptr;
}
2.5AVL树平衡检查
实现的AVL树是否合格,可以通过检查左右子树高度差的程度进行反向验证,同时检查节点的平衡因子更新是否出现问题。
cpp
int _Height(Node* root){
if (root == nullptr)
return 0;
int leftHeight = _Height(root->_left);
int rightHeight = _Height(root->_right);
return leftHeight > rightHeight ? leftHeight + 1 : rightHeight + 1;
}
bool _IsBalanceTree(Node* root){
// 空树也是AVL树
if (nullptr == root)
return true;
// 计算pRoot结点的平衡因子:即pRoot左右子树的高度差
int leftHeight = _Height(root->_left);
int rightHeight = _Height(root->_right);
int diff = rightHeight - leftHeight;
// 如果计算出的平衡因子与pRoot的平衡因子不相等,或者
// pRoot平衡因子的绝对值超过1,则一定不是AVL树
if (abs(diff) >= 2)
{
cout << root->_kv.first << "高度差异常" << endl;
return false;
}
if (root->_bf != diff)
{
cout << root->_kv.first << "平衡因子异常" << endl;
return false;
}
// pRoot的左和右如果都是AVL树,则该树一定是AVL树
return _IsBalanceTree(root->_left) && _IsBalanceTree(root->_right);
}
void TestAVLTree1(){
AVLTree<int, int> t;
// 常规的测试用例
int a[] = { 16, 3, 7, 11, 9, 26, 18, 14, 15 };
// 特殊的带有双旋场景的测试用例
//int a[] = { 4, 2, 6, 1, 3, 5, 15, 7, 16, 14 };
for (auto e : a)
{
t.Insert({ e, e });
}
t.InOrder();
cout << t.IsBalanceTree() << endl;
}
void TestAVLTree2(){
const int N = 1000000;
vector<int> v;
v.reserve(N);
srand(time(0));
for (size_t i = 0; i < N; i++)
{
v.push_back(rand() + i);
}
size_t begin2 = clock();
AVLTree<int, int> t;
for (auto e : v)
{
t.Insert(make_pair(e, e));
}
size_t end2 = clock();
cout << "Insert:" << end2 - begin2 << endl;
cout << t.IsBalanceTree() << endl;
cout << "Height:" << t.Height() << endl;
cout << "Size:" << t.Size() << endl;
size_t begin1 = clock();
// 确定在的值
for (auto e : v)
{
t.Find(e);
}
// 随机值
/*for (size_t i = 0; i < N; i++)
{
t.Find((rand() + i));
}*/
size_t end1 = clock();
cout << "Find:" << end1 - begin1 << endl;
}