点击阅读原文,获取更多优质内容,请关注公众号--通信射频老兵:
https://mp.weixin.qq.com/s/t-dAMPUfWI3mNU7QaCnbzw
1、dBm to watts

计算给定dBm值对应的功率(单位:W),需使用以下公式:

工具地址:
https://www.everythingrf.com/rf-calculators/dbm-to-watts
2、watts to dbm

计算给定W值对应的dbm值,需使用以下公式:

工具地址:
https://www.everythingrf.com/rf-calculators/watt-to-dbm
3、PPM to Hz

计算公式:

工具地址:
https://www.everythingrf.com/rf-calculators/ppm-to-hz-calculator
4、RF Phase Noise to Phase Jitter

计算公式:

工具地址:
https://www.everythingrf.com/rf-calculators/RF-phase-noise-to-phase-jitter-converter-calculator
5、PI衰计算

计算公式:


工具地址:
https://www.everythingrf.com/rf-calculators
6、差分微带线阻抗计算

计算公式:


其中:
Z0 = 单端阻抗
Zd = 差分阻抗
d = 走线间距
w = 走线宽度
t = 走线厚度
h = 介质层厚度
εr = 相对介电常数
示例:
若w=10mil、d=63mil、t=1.2mil、h=mil且εr=4,则Z0=138.88Ω,Zd=226.71Ω
工具地址:
https://www.everythingrf.com/rf-calculators/differential-microstrip-impedance-calculator
7、VSWR计算

计算公式:


工具地址:
https://www.everythingrf.com/rf-calculators/forward-and-reflected-power-to-vswr-calculator
8、Return Loss to VSWR

计算公式:

工具地址:
https://www.everythingrf.com/rf-calculators/return-loss-to-vswr-calculator
9、VSWR to Return Loss

计算公式:

工具地址:
https://www.everythingrf.com/rf-calculators/vswr-to-return-loss-calculator
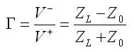
10、反射系数Γ计算

计算公式:

工具地址:
https://www.everythingrf.com/rf-calculators/reflection-coefficient-calculator
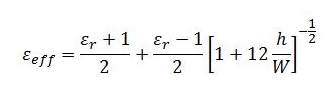
11、微带线天线计算



微带贴片天线计算流程:
步骤1:计算贴片宽度(W)

步骤2:计算有效介电常数。这一计算基于介质的高度、介电常数以及所计算出的贴片天线的宽度。

步骤3:计算有效长度

步骤4:计算长度延伸量ΔL

步骤5:计算贴片的实际长度

其中会用到以下参数:
-
f0:谐振频率
-
W:贴片宽度
-
L:贴片长度
-
h:(介质基板的)厚度
-
εr:介质基板的相对介电常数
-
c:光速,取值为 3×10⁸m/s
工具地址:
https://www.everythingrf.com/rf-calculators/microstrip-patch-antenna-calculator
12、天线功率密度计算

计算公式:


其中:
S = 功率密度
P = 输入到天线的功率
G = 天线的功率增益
R = 到天线辐射中心的距离
工具地址:
https://www.everythingrf.com/rf-calculators/rf-power-density
13、天线下倾角覆盖半径

计算公式:


工具地址:
https://www.everythingrf.com/rf-calculators/down-tilt-coverage-radius
未完待续........
往期高分文章回顾,总有一篇能帮助到你:
射频相关知识:
射频基础知识---VSWR、Return Loss和Mismatch Loss概念回顾
功放PA相关知识:
射频基础知识---浅谈为什么Doherty结构能提高PA的效率
"5G时代的功率放大器革新:揭秘氮化镓GAN如何引领高效通信"
收发信机相关知识:
ADC/DAC相关知识:
一文讲透什么是ADC/DAC中的DDC、DUC、采样率以及数据率等概念
串行通信相关知识:
时钟系统相关知识:
基站相关知识:
数字信号处理相关知识:
链路预算相关知识
通信相关知识
通信人物传记---菲利普・史密斯:从业余无线电操作员到史密斯圆图的创造者
天线相关知识
案例分析
信号完整性相关知识:
卫星通信相关知识: