本文重点
我们前面学习了梯度下降算法,本文我们将学习动量梯度下降算法,我们可以看到前面的梯度下降算法存在一些问题,它的上下波动很大,收敛的速度很慢。因此根据这些问题,我们将学习动量梯度下降算法。

如上所示,我们可以看到采用动量的SGD会更快的收敛,下面我们看一下二者的区别。
动量法

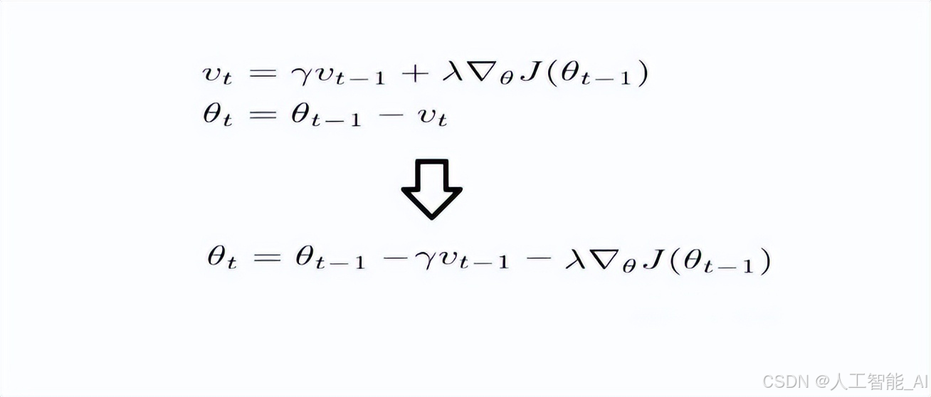
我们可以看到这个是动量法的参数更新公式,和梯度下降不同的是这里多了一个rvt-1,其中vt-1是上一时刻的下降方向和梯度,r是一个超参数,那么通过这种方法就完成了一个能量的积累,我们可以看到每次不仅减去当前的,而且还会减去上一时刻的,所以总的来说每次下降的时候会比传统的梯度下降快。
其实这里会有一些加权平均数的概念,但是我在《每天五分钟深度学习》的优化算法模块已经进行了详细的介绍,所以这里就不再进行相关的介绍了,有兴趣的可以看一下