本文我们来认识和学习循环神经网络的理论基础,通用近似定理和图灵完备。
循环神经网络的拟合能力也十分强大,一个完全连接的循环网络是任何非线性动力系统的近似器。
在学习循环神经网络的通用近似定理之前,这里附一下传统前馈神经网络的通用近似定理的博文连接:前馈神经网络 - 理论支持------通用近似定理_chen ieee trans 神经网络通用近似原理-CSDN博客
一、循环神经网络的通用近似定理
循环神经网络(RNN)的通用近似定理可以看作是对传统前馈神经网络通用近似定理的扩展。简单来说,它表明:在一定条件下,具有足够容量的循环神经网络能够以任意精度逼近任何时间序列映射或动态系统。
1. 通用近似定理概述
- 
前馈神经网络的通用近似定理 :
已知具有单隐藏层的前馈网络(使用适当的激活函数,如sigmoid或ReLU)能够在紧致集上逼近任意连续函数。也就是说,只要网络有足够的神经元,就能表示任意函数。
 - 
RNN的扩展 :
循环神经网络处理的是序列数据,其映射函数不仅是静态的(从输入到输出的映射),而是涉及时间维度上的动态转换。RNN 的通用近似定理说明,给定足够的隐藏状态维度和合适的结构,RNN 可以逼近任何定义在时间序列上的连续映射,即从历史输入(和初始状态)到未来输出的映射。
 
2. 关键思想与直观理解
- 
时间展开与动态映射 :
由于 RNN 在每个时间步都有循环连接,可以看作在时间上"展开"成一个深层网络。这样,它就能捕捉长时依赖,模拟复杂的动态系统。通用近似定理保证,只要隐藏状态足够丰富,RNN 就能逼近任意序列到序列的连续映射。
 - 
实现任意动态系统 :
有理论表明,某些 RNN 架构甚至具有图灵完备性(如 Siegelmann 和 Sontag 的研究),这意味着它们在理论上能够模拟任何计算过程。这也从侧面说明了 RNN 的表达能力非常强大。
 - 
逼近任意非线性序列映射 :
具体来说,对于任意给定的、连续的时间序列映射函数 F:

存在一个 RNN,使得在输入空间的紧致集上,RNN 的输出可以与 F 任意接近。
 
3. 举例说明
假设我们希望构建一个 RNN 来逼近一个简单的动态系统,该系统根据过去两个时刻的输入生成当前输出,例如:

这个映射函数包含线性和非线性部分,并且依赖于过去三个时间步的输入。
- 
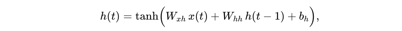
RNN 架构 :
你可以构建一个简单的循环神经网络,其隐藏状态 h(t) 更新公式为:

并通过输出层映射为:

 - 
通用近似定理的意义 :
通用近似定理告诉我们,如果你选择合适的隐藏层维度(即足够多的神经元),以及合适的权重初始化和激活函数,RNN 可以在训练中学到接近上述映射函数的参数,使得对于所有在训练集(或紧致区域内)的输入序列,

任意小的 ϵ。
 - 
直观理解 :
你可以把 RNN 看作一个带有"记忆"的系统,它不断从输入中更新自身状态。通过不断地调整参数,RNN 能够捕捉到系统的规律,即使这个规律非常复杂(例如非线性函数与时间依赖的结合),它也可以逼近。这个逼近能力就是"通用近似"性质的体现。
 
4. 总结
- 
基本定理 :
具有足够隐藏层容量的 RNN 可以逼近任意定义在紧致输入集上的连续序列映射。
 - 
核心思想 :
利用循环连接在时间上展开的深层结构,使 RNN 能够捕捉长时依赖和复杂的动态关系。
 - 
直观例子 :
例如,一个 RNN 可以逼近一个依赖于过去三个时间步输入的非线性映射,即使映射包含正弦等非线性函数,只要网络足够大、训练充分,就能近似这一映射。
 
这个定理从理论上保证了 RNN 在表达能力上的强大,为其在语言模型、时间序列预测、语音识别等任务中的成功提供了理论基础。
二、如何证明循环神经网络(RNN)的通用近似定理
数学上证明循环神经网络(RNN)的通用近似定理通常依赖于将 RNN 的时间展开与前馈网络的通用近似定理联系起来。下面给出一个证明思路的概要,展示主要步骤和关键思想。
证明思路概要
- 
利用前馈网络的通用近似定理
已知前馈神经网络(例如具有单隐藏层的多层感知机)在紧致集上可以逼近任意连续函数。证明过程通常基于构造逼近器,证明对于任意连续函数 f 和任意 ϵ>0,存在一个前馈网络使得在紧致集上函数误差小于 ϵ。
 - 
将 RNN 展开为前馈网络
一个简单 RNN 在每个时间步都有一个隐藏状态更新公式:

对于长度为 T 的序列,可以将 RNN 在时间上"展开"(Unrolling),形成一个前馈网络,其中每一层的计算对应于一个时间步,并且所有层共享相同的权重。这样,整个序列映射函数就可以写成一个前馈网络函数 F(x(1),x(2),...,x(T))。
 - 
利用前馈网络近似序列映射
证明的关键是证明:对于任何连续的时序映射 F(例如,将过去 T 个输入映射到未来输出),都可以用一个前馈网络(即展开后的 RNN)进行任意精度的逼近。由于前馈网络的通用近似定理成立,这一步理论上是可行的。
 - 
控制误差累积
由于 RNN 是递归的,必须证明在时间展开过程中,误差不会随着时间无限累积。证明者通常利用紧致性和连续性条件,通过归纳法证明,在每个时间步都可以保持总误差在可控范围内,从而整个序列映射的逼近误差小于 ϵ。
 - 
构造逼近器
证明中通常会构造一个具体的 RNN 架构,该网络参数可以调节使得其隐藏状态更新函数近似目标动态系统的状态转移函数。这部分通常依赖于函数逼近理论(如利用激活函数的非线性性质)证明存在这样的参数配置。
 
这些工作证明了在一定条件下,具有足够隐藏层容量和适当结构的 RNN 可以逼近任何连续动态系统。
证明 RNN 通用近似定理的核心步骤是:
- 
将 RNN 在时间上展开为一个前馈网络;
 - 
利用前馈网络的通用近似定理证明其可以逼近任意连续映射;
 - 
通过适当的归纳和误差控制,证明这种逼近在整个时间序列上是有效的。
 
这种证明过程虽然技术细节较多,但基本思想在于利用前馈网络已知的逼近能力,加上 RNN 的时间递归结构,从而确保 RNN 可以逼近任意连续的时序映射。
这里附加一下循环神经网络的通用近似定理的数学定义:

三、图灵机
图灵机是一种理论上的计算模型,由艾伦·图灵在20世纪30年代提出,用来形式化"算法"和"计算"这一概念。理解图灵机可以从以下几个方面入手:
- 
基本结构
- 
无限长的纸带:图灵机拥有一条可以无限延伸的纸带,这条纸带被划分为一系列的格子,每个格子可以存储一个符号。可以把它想象成无限长的内存。
 - 
读写头:图灵机有一个读写头,它可以在纸带上移动(向左或向右),并在格子中读取或写入符号。
 - 
状态寄存器:图灵机有一个有限的状态集合,在每个时刻,机器处于其中的一个状态。
 - 
状态转移函数:这是一个有限的指令表,根据当前状态和读写头所读取的符号,决定下一步的操作,包括写入新符号、移动读写头(左移或右移)以及切换到哪一个状态。
 
 - 
 - 
工作原理
图灵机的运行过程类似于下面这个简单流程:
- 
读写头读取当前格子上的符号。
 - 
根据当前状态和这个符号,从状态转移函数中查找对应的操作指令。
 - 
按照指令,机器写入一个符号(可能与原符号不同),将读写头向左或向右移动,并更新当前状态。
 - 
反复执行这些步骤,直到达到某个终止状态或者无限运行。
 
 - 
 - 
理论意义
**图灵机虽然模型简单,但它足够强大,可以模拟任何算法的执行过程。因此,一个系统如果能够模拟图灵机的运算,就称它是"图灵完备"的。**这个概念成为衡量编程语言或计算系统理论上计算能力的重要标准。 - 
直观类比
可以把图灵机看作是一个极简的电脑:
- 
纸带就像是电脑的内存,记录了所有信息;
 - 
读写头类似于电脑的处理器,它负责读取、写入信息,并执行操作;
 - 
状态转移表就像是程序代码,指导机器如何根据当前情况做出决策。
 
 - 
 
总的来说,图灵机是一个抽象模型,用来描述任何可以用算法解决的问题。它为计算理论打下了坚实的基础,并帮助我们理解"计算"的本质。
四、图灵完备
所有的图灵机都可以被一个由使用 Sigmoid 型激活函数的神经元构成的全连接循环网络来进行模拟。
"图灵完备"是计算理论中的一个基本概念,用来描述一个计算系统或编程语言是否具备通用计算能力。具体来说,如果一个系统能够模拟任意图灵机,那么就称这个系统是图灵完备的。以下是对这一概念的详细解释:
- 
图灵机的基本概念
图灵机是一种理论上的计算模型,由艾伦·图灵在20世纪30年代提出。它由一个无限长的纸带(存储器)、一个读写头以及一套状态转移规则构成。图灵机可以执行基本的算术和逻辑操作,并能通过状态转移实现各种计算任务。
 - 
通用计算能力
当我们说一个系统是图灵完备时,意思是说它可以模拟图灵机的所有行为,即理论上能够计算出任何可计算的问题。换句话说,只要给出足够的时间和内存,一个图灵完备的系统就能实现任意算法。 - 
实际意义
- 
编程语言:大多数现代编程语言(如 Python、C、JavaScript 等)都是图灵完备的,因为它们支持基本的循环、条件分支和存储操作,可以表达任何算法。
 - 
系统设计:图灵完备的概念告诉我们,理论上只要满足一定的条件,任何计算系统都可以执行任意复杂的计算任务。但在实际应用中,资源(如时间和内存)的限制会影响系统的实际表现。
 
 - 
 - 
例子说明
- 
Brainfuck:这是一种极简的编程语言,尽管语法非常简单,但它是图灵完备的,意味着它理论上可以实现任何算法。
 - 
Excel:在某些特定条件下,Excel 的公式和宏也可以构造出图灵完备的系统,尽管它不是专门设计用于编程的。
 
 - 
 
总的来说,"图灵完备"描述的是一个计算系统的理论上无限制的计算能力,它表明系统只要不受资源(时间、内存)限制,就能够解决任何可以计算的问题。这一概念为理解计算模型和评估编程语言的能力提供了一个理论基础。