神经网络与深度学习:案例与实践------第三章(3)------基于Softmax回归完成鸢尾花分类任务
实践流程主要包括以下7个步骤:数据处理、模型构建、损失函数定义、优化器构建、模型训练、模型评价和模型预测等,
①数据处理:根据网络接收的数据格式,完成相应的预处理操作,保证模型正常读取;
②模型构建:定义Softmax回归模型类;
③训练配置:训练相关的一些配置,如:优化算法、评价指标等;
④组装Runner类:Runner用于管理模型训练和测试过程;
⑤模型训练和测试:利用Runner进行模型训练、评价和测试。
该实践的主要配置如下:
数据:Iris数据集;
模型:Softmax回归模型;
损失函数:交叉熵损失;
优化器:梯度下降法;
评价指标:准确率。
一、数据处理
1、数据集介绍
Iris数据集,也称为鸢尾花数据集,包含了3种鸢尾花类别(Setosa、Versicolour、Virginica),每种类别有50个样本,共计150个样本。其中每个样本中包含了4个属性:花萼长度、花萼宽度、花瓣长度以及花瓣宽度,本实验通过鸢尾花这4个属性来判断该样本的类别。

2、数据清洗
①缺失值分析
对数据集中的缺失值或异常值等情况进行分析和处理,保证数据可以被模型正常读取。代码实现如下:
from sklearn.datasets import load_iris
import pandas
import numpy as np
# 2、缺失值分析
#load_iris().data:获取Iris数据集的特征(花萼长度、宽度等,共4个特征)。
# load_iris().target:获取标签(0、1、2分别对应三种鸢尾花)。
iris_features = np.array(load_iris().data, dtype=np.float32)
iris_labels = np.array(load_iris().target, dtype=np.int32)
#pandas.isna():检查数据中的缺失值(NaN),返回布尔矩阵。
# .sum():统计每列(特征或标签)的缺失值数量。
print(pandas.isna(iris_features).sum())
print(pandas.isna(iris_labels).sum())
②异常值处理
通过箱线图直观的显示数据分布,并观测数据中的异常值。
箱线图查看异常值分布
def boxplot(features):
# 为四个特征指定可读的名称
feature_names = ['sepal_length', 'sepal_width', 'petal_length', 'petal_width']
# 连续画几个图片
#大小5 * 5,分辨率为200
plt.figure(figsize=(5, 5), dpi=200)
# 子图调整
# 子图之间的水平间距,避免重叠
plt.subplots_adjust(wspace=0.6)
# 每个特征画一个箱线图
for i in range(4):
# 画布分为2行2列,依次在第i+1个位置绘制子图
plt.subplot(2, 2, i+1)
# 画箱线图
plt.boxplot(features[:, i], #选择第i个特征的所有样本数据
showmeans=True, # 显示均值,(绿色三角)
#:设置线图的样式(颜色,线宽,虚线)
whiskerprops={"color":"#E20079", "linewidth":0.4, 'linestyle':"--"},
# 设置异常点(离群值)的样式(点大小)
flierprops={"markersize":0.4},
# : 设置均值标记的大小
meanprops={"markersize":1})
# 图名
plt.title(feature_names[i], fontdict={"size":5}, pad=2)
# y方向刻度
plt.yticks(fontsize=4, rotation=90)
plt.tick_params(pad=0.5)
# x方向刻度,隐藏
plt.xticks([])
plt.savefig('ml-vis.pdf')
plt.show()
boxplot(iris_features)
箱线图如下:
借助箱线图的解读:


3、 数据读取
本实验中将数据集划分为了三个部分:
训练集:用于确定模型参数;
验证集:与训练集独立的样本集合,用于使用提前停止策略选择最优模型;
测试集:用于估计应用效果(没有在模型中应用过的数据,更贴近模型在真实场景应用的效果)。
在本实验中,将80%的数据用于模型训练,10%的数据用于模型验证,10%的数据用于模型测试。代码实现如下:
import copy
import paddle
# 加载数据集
def load_data(shuffle=True):
"""
加载鸢尾花数据
输入:
- shuffle:是否打乱数据,数据类型为bool
输出:
- X:特征数据,shape=[150,4]
- y:标签数据, shape=[150]
"""
# 加载原始数据
X = np.array(load_iris().data, dtype=np.float32)
y = np.array(load_iris().target, dtype=np.int32)
X = paddle.to_tensor(X)
y = paddle.to_tensor(y)
# 数据归一化
#每个特征值线性缩放到【0,1】
#归一化后所有特征在同一尺度(0~1),避免模型被数值较大的特征主导。
#axis=0 表示对每列(每个特征)单独计算最小值和最大值。
X_min = paddle.min(X, axis=0)
X_max = paddle.max(X, axis=0)
#对每个特征值减去最小值后除以极差(X_max - X_min)。
X = (X-X_min) / (X_max-X_min)
# 如果shuffle为True,随机打乱数据
if shuffle:
idx = paddle.randperm(X.shape[0])
X = X[idx]
y = y[idx]
return X, y
# 固定随机种子
paddle.seed(102)
num_train = 120
num_dev = 15
num_test = 15
X, y = load_data(shuffle=True)
print("X shape: ", X.shape, "y shape: ", y.shape)
X_train, y_train = X[:num_train], y[:num_train]
X_dev, y_dev = X[num_train:num_train + num_dev], y[num_train:num_train + num_dev]
X_test, y_test = X[num_train + num_dev:], y[num_train + num_dev:]
# 打印X_train和y_train的维度
print("X_train shape: ", X_train.shape, "y_train shape: ", y_train.shape)
# 打印前5个数据的标签
print(y_train[:5])
二、模型构建
使用Softmax回归模型进行鸢尾花分类实验,将模型的输入维度定义为4,输出维度定义为3。代码实现如下:
之前的softmax,model_SR等方法都在之前的softmax多类别分类中有了,不再赘述。
from nndl import op
# 输入维度
input_dim = 4
# 类别数
output_dim = 3
# 实例化模型
model = op.model_SR(input_dim=input_dim, output_dim=output_dim)
三、模型训练
实例化RunnerV2类,使用训练集和验证集进行模型训练,共训练80个epoch,其中每隔10个epoch打印训练集上的指标,并且保存准确率最高的模型作为最佳模型。代码实现如下:
from nndl import op, metric, opitimizer, RunnerV2
# 学习率
lr = 0.2
# 梯度下降法
optimizer = opitimizer.SimpleBatchGD(init_lr=lr, model=model)
# 交叉熵损失
loss_fn = op.MultiCrossEntropyLoss()
# 准确率
metric = metric.accuracy
# 实例化RunnerV2
runner = RunnerV2(model, optimizer, metric, loss_fn)
# 启动训练
runner.train([X_train, y_train], [X_dev, y_dev], num_epochs=200, log_epochs=10, save_path="best_model.pdparams")
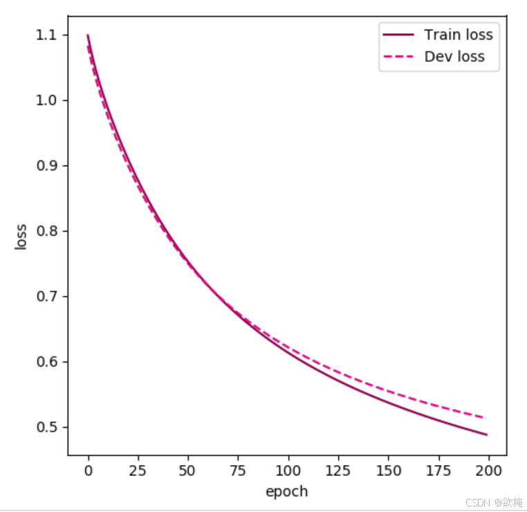
可视化观察训练集与验证集的准确率变化情况。
from nndl import plot
plot(runner,fig_name='linear-acc3.pdf')


模型评价
使用测试数据对在训练过程中保存的最佳模型进行评价,观察模型在测试集上的准确率情况。代码实现如下:
# 加载最优模型
runner.load_model('best_model.pdparams')
# 模型评价
score, loss = runner.evaluate([X_test, y_test])
print("[Test] score/loss: {:.4f}/{:.4f}".format(score, loss))
模型预测
使用保存好的模型,对测试集中的数据进行模型预测,并取出1条数据观察模型效果。
# 预测测试集数据
logits = runner.predict(X_test)
# 观察其中一条样本的预测结果
pred = paddle.argmax(logits[0]).numpy()
# 获取该样本概率最大的类别
label = y_test[0].numpy()
# 输出真实类别与预测类别
print("The true category is {} and the predicted category is {}".format(label[0], pred[0]))