- 什么是搜索?
搜索,是⼀种枚举,通过穷举所有的情况来找到最优解,或者统计合法解的个数。因此,搜索有时候也叫作暴搜。
搜索⼀般分为深度优先搜索(DFS)与宽度优先搜索(BFS)。 - 深度优先遍历vs深度优先搜索,宽度优先遍历vs宽度优先搜索
遍历是形式,搜索是⽬的。
不过,在⼀般情况下,我们不会去纠结概念的差异,两者可以等同。 - 回溯与剪枝
- 回溯:当在搜索的过程中,遇到⾛不通或者⾛到底的情况时,就回头。
- 剪枝:剪掉在搜索过程中,剪掉重复出现或者不是最优解的分⽀
搜索的本质:对决策树来一次遍历,直到把所有的情况全部收集到
递归型枚举与回溯剪枝初识
- 画决策树;
- 根据决策树写递归
B3622 枚举子集(递归实现指数型枚举) - 洛谷
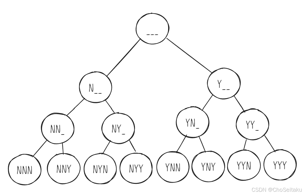
设⼀共有3个数,分别是1,2,3。「从前往后」考虑每⼀个数,针对当前这个数「选」或者「不选」

设计递归函数:
- 重复⼦问题:针对某⼀位,「选」或者「不选」这个数。因为最终结果要按照「字典序」输出,我们可以「先考虑不选」,然后「再考虑选」;
- 实现⽅式参考代码和注释,结合「决策树」⼀起看会很清晰
c++
#include <bits/stdc++.h>
using namespace std;
int n;
string path;
void dfs(int pos)
{
if (pos > n)
{
//path存着前n个人的决策
cout << path << endl;
return;
}
//不选
path += 'N';
dfs(pos+1);
path.pop_back(); //回溯,清空现场
//选
path += 'Y';
dfs(pos+1);
path.pop_back(); //回溯,清空现场
}
int main()
{
ios::sync_with_stdio(false);
cin.tie(0);
cin >> n;
dfs(1);
return 0;
}
P10448 组合型枚举 - 洛谷
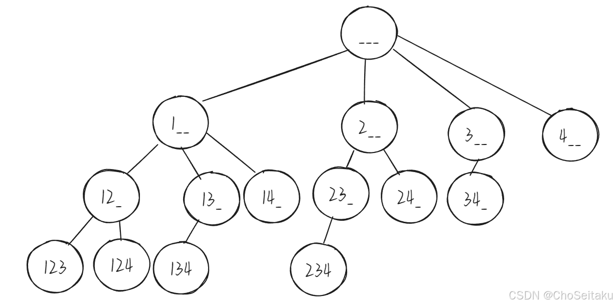
设n = 4, m = 3 ,「从前往后」考虑3 个位置应该选哪个数,我们可以画出如下决策树

设计递归函数:
- 重复⼦问题:当前这⼀位,应该放哪个数上去。因为这是⼀个「组合」问题,不涉及排列,所以我们当前位置开始放的数,应该是「上次决策的数的下⼀位」
- 实现⽅式参考代码和注释,结合「决策树」⼀起看会很清晰。
c++
#include <bits/stdc++.h>
using namespace std;
int n, m;
vector<int> path;
void dfs(int pos, int begin)
{
if (pos > m)
{
for (auto x : path) cout << x << " ";
cout << endl;
return;
}
for (int i = begin; i <= n; i++)
{
path.push_back(i);
dfs(pos+1, i+1);
path.pop_back();
}
}
int main()
{
ios::sync_with_stdio(false);
cin.tie(0);
cin >> n >> m;
dfs(1, 1);
return 0;
}
c++
#include <bits/stdc++.h>
using namespace std;
int n, m;
vector<int> path;
void dfs(int begin)
{
if (path.size() == m)
{
for (auto x : path) cout << x << " ";
cout << endl;
return;
}
for (int i = begin; i <= n; i++)
{
path.push_back(i);
dfs(i+1);
path.pop_back();
}
}
int main()
{
ios::sync_with_stdio(false);
cin.tie(0);
cin >> n >> m;
dfs(1);
return 0;
}
B3623 枚举排列(递归实现排列型枚举) - 洛谷
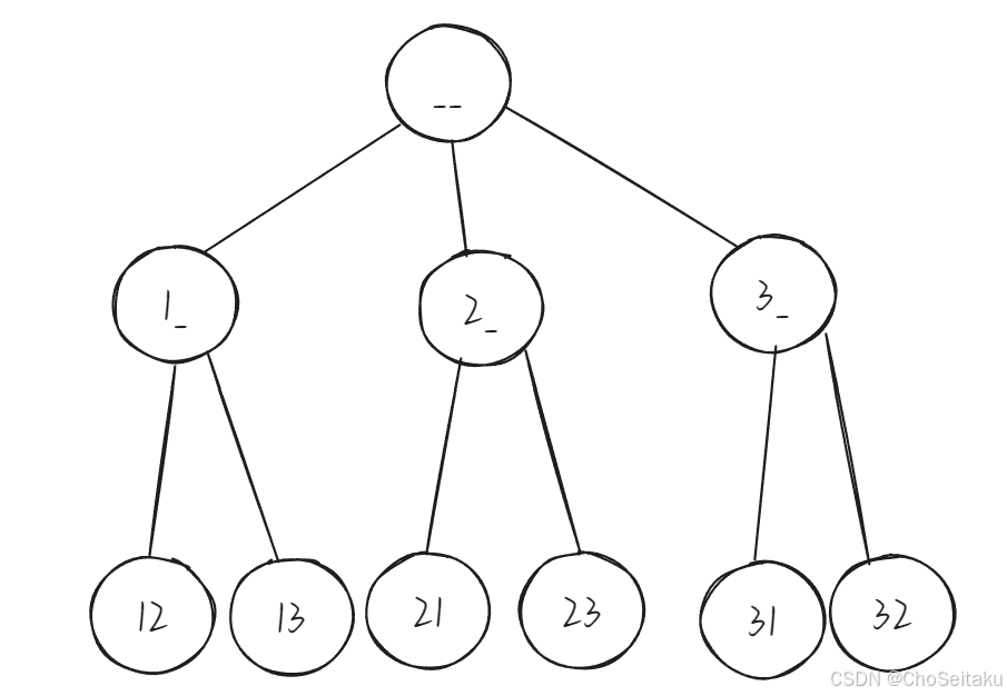
设n = 3, k = 2 ,⼀共要选出两个数,可以依次「考虑要选出来的数」是谁,画出如下决策树

设计递归函数:
- 重复⼦问题:考虑这⼀位要放上什么数。因为是「排列」问题,所以我们直接从1开始枚举要放的数。
- 剪枝:在这⼀条路径中,我们「不能选择之前已经选择过的数」。
- 实现⽅式参考代码和注释,结合「决策树」⼀起看会很清晰
c++
#include <bits/stdc++.h>
using namespace std;
const int N = 15;
int n, k;
vector<int> path;
bool st[N]; //标记选过的数
void dfs()
{
if (path.size() == k)
{
for (auto x : path) cout << x << " ";
cout << endl;
return;
}
for (int i = 1; i <= n; i++)
{
if (st[i]) continue;
path.push_back(i);
st[i] = true;
dfs();
//恢复现场
path.pop_back();
st[i] = false;
}
}
int main()
{
ios::sync_with_stdio(false);
cin.tie(0);
cin >> n >> k;
dfs();
return 0;
}
P1706 全排列问题 - 洛谷
跟上⼀道题的决策⼀样,我们可以枚举每⼀位应该放上什么数,只不过少了k的限制。剪枝的策略还是⼀样的,那就是在路径中,「不能选择之前已经选过的数」
c++
#include <bits/stdc++.h>
using namespace std;
const int N = 15;
int n;
vector<int> path;
bool st[N];
void dfs()
{
if (path.size() == n)
{
for (auto x : path)
{
printf("%5d", x);
}
cout << endl;
return;
}
for (int i = 1; i <= n; i++)
{
if (st[i]) continue;
path.push_back(i);
st[i] = true;
dfs();
path.pop_back();
st[i] = false;
}
}
int main()
{
cin >> n;
dfs();
return 0;
}