数据结构 - 第1题

a
数据结构 - 第2题



这个算法的空间复杂度应该不包括数组A,数组A在算法外定义的

a
数据结构 - 第3题

双指针
c
数据结构 - 第4题


d
数据结构 - 第5题


(1)这里O里面要

(4)这里欧米伽要

(7)O里面有个H的意思是O和欧米伽都是对的则是对的
因此这题
c
数据结构 - 第6题

这个T(n)是当前n要运算的次数,相当于这个递归函数要执行n次,所以最高是n*n所以选b
b
数据结构 - 第7题



a
数据结构 - 第8题


a
数据结构 - 第9题


数据结构 - 第10题

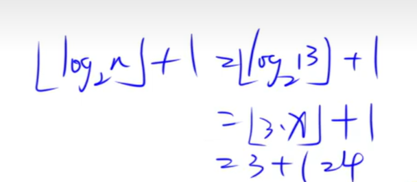
n=16
cc
数据结构 - 第11题


dc
数据结构 - 第12题


A没有问题直接获取

B答案是對,因爲插入都是,插點指向目標,斷開前指針,指向插點
d
数据结构 - 第13题


插入

删除
通过尾指针无法直接得知上一个节点是什么
c
数据结构 - 第14题

a
数据结构 - 第15题

常量级就是O(1)

a
数据结构 - 第16题

在表尾删除加入也是O(1)
a
数据结构 - 第17题

a
数据结构 - 第18题


ba
数据结构 - 第19题
a
数据结构 - 第20题

栈用递归
a
数据结构 - 第21题

怎么可能问最大呢,最大不是无穷么,要的就是能满足入栈出栈的最小容量
b
数据结构 - 第22题

d
数据结构 - 第23题


cba 顺序锁死
a
数据结构 - 第24题

a
数据结构 - 第25题


a
数据结构 - 第26题

c
数据结构 - 第27题


d
数据结构 - 第28题



相当于转了一圈把多转的一圈给剪掉
d
数据结构 - 第29题

e1,e2不是挨在一起的
d
数据结构 - 第30题

b
数据结构 - 第31题

这里有个混淆点,那就是队列是先进先出,而此处的双端队列进出队列在同一端口,单端口就会像栈一样后进先出了,可以想象成这个管子中间做了一个隔断

d
数据结构 - 第32题


这里就是上溢出的典范
d
数据结构 - 第33题


a
数据结构 - 第34题

c
数据结构 - 第35题

普通队列采用一般采用顺序表实现,出入队都需要移动元素。循环队列一般采用循环链表,出入队不需要移动元素
b
数据结构 - 第36题

c规模确定就不需要更改顺序表大小,顺序表的操作要比链表简单多了
d其实意思是2个队列模拟一栈。。。
d
数据结构 - 第37题

d
数据结构 - 第38题

c
数据结构 - 第39题

b
数据结构 - 第40题

b
数据结构 - 第41题

c
数据结构 - 第42题

a空格也别包含
空格也算字符
c
数据结构 - 第43题


子串要连续的 ba不连续了

等差数列,n+2是an+a1,n-1是个数
d
数据结构 - 第44题

b
数据结构 - 第45题

这里加1是因为从1开始算的,如果从0开始算就不用加1

这里4是前缀aba和后缀aba一样,长度为3,再 加1
b
数据结构 - 第46题


长度为3时,不能包含前缀和后缀 ,所以3不能要
a
数据结构 - 第47题

b
数据结构 - 第48题


c
数据结构 - 第49题


存储位置不一样则有关
b
数据结构 - 第50题

b
数据结构 - 第51题


a
数据结构 - 第52题

a
数据结构 - 第53题


a
数据结构 - 第54题

c
数据结构 - 第55题

d
数据结构 - 第56题

b
数据结构 - 第57题


b
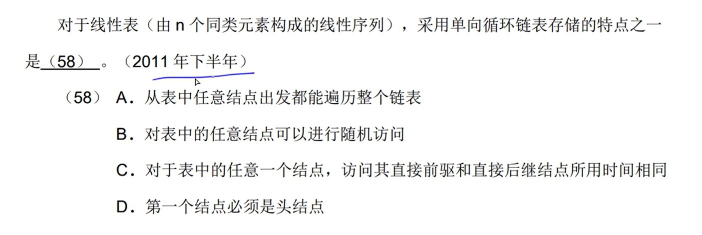
数据结构 - 第58题



b
数据结构 - 第59题




c
数据结构 - 第60题


b
数据结构 - 第61题

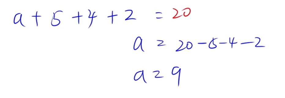
D是对的,更准确的讲,n0 = n2 + 1
d
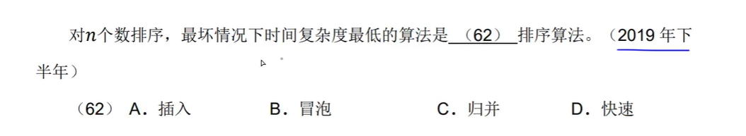
数据结构 - 第62题

d
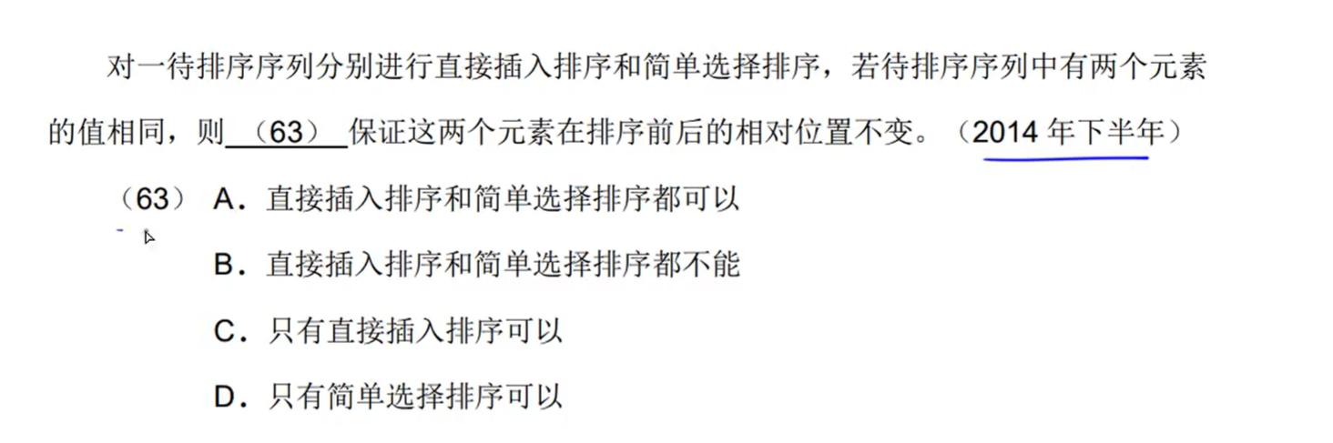
数据结构 - 第63题

d
数据结构 - 第64题


c
数据结构 - 第65题


c
数据结构 - 第66题


d
数据结构 - 第67题


c选项
可以看见顺序更爽
a
数据结构 - 第68题


db
数据结构 - 第69题

二叉链表

c
数据结构 - 第70题

d
数据结构 - 第71题

cb
数据结构 - 第72题

a
数据结构 - 第73题

d
数据结构 - 第74题

b
数据结构 - 第75题

b
数据结构 - 第76题

c
数据结构 - 第77题

c
数据结构 - 第78题

c
数据结构 - 第79题

c:
c
数据结构 - 第80题

c选项
d例子

d
数据结构 - 第81题

b
数据结构 - 第82题



权值就是叶子节点
b
数据结构 - 第83题

c
数据结构 - 第84题

c
数据结构 - 第85题




ba
数据结构 - 第86题

d
数据结构 - 第87题

因为14不是最小的,所以构造一个新的

构造完成

ba
数据结构 - 第88题


ac
数据结构 - 第89题


a
数据结构 - 第90题


26.666%
ac
数据结构 - 第91题


d
数据结构 - 第92题

aa
数据结构 - 第93题

a
数据结构 - 第94题

完全二叉树少了5个位置

最优二叉树只有n0和n2
满二叉树应该有2的n次方-1个节点
c
数据结构 - 第95题

b
数据结构 - 第96题

都为2e

d
数据结构 - 第97题

b
数据结构 - 第98题



c
数据结构 - 第99题


c
数据结构 - 第100题


a
数据结构 - 第101题

ab
数据结构 - 第102题


d
数据结构 - 第103题

a的源点改顶点
b是图就适用
dvisited
c
数据结构 - 第104题


对称的
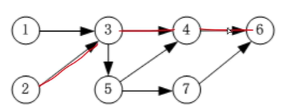
数据结构 - 第105题

a
数据结构 - 第106题


ba
数据结构 - 第107题

深度优先:勇往直前
广度优先:先访问一个把能访问的访问完
db
数据结构 - 第108题

没有入度就可以删除
a
数据结构 - 第109题

c
数据结构 - 第110题


不能回头!

c
数据结构 - 第111题

a
数据结构 - 第112题

b
至此上午题已经完成26.3%
数据结构 - 第113题


二分不能链式
c
数据结构 - 第114题

d
数据结构 - 第115题



如果向下取整找不到就向上取
d
数据结构 - 第116题


b
数据结构 - 第117题

a
数据结构 - 第118题

b
数据结构 - 第119题

只能出现

不能莫名其妙出现小小大这种

b
数据结构 - 第120题

b
数据结构 - 第121题

b第二个是A【10】
c
d 
b
数据结构 - 第122题

b
数据结构 - 第123题

c
数据结构 - 第124题

c
数据结构 - 第125题


b
数据结构 - 第126题


这里38冲突了,给12加个1发现0也冲突了,所以最后38会到1这里
最后会变成

d
数据结构 - 第127题


b
数据结构 - 第128题

p取 <= n的最大质数
a
数据结构 - 第129题

b
数据结构 - 第130题

b
数据结构 - 第131题

同义词就是取模一样
d
数据结构 - 第132题

A 16要小于等于25,40 25要小于等于55和30 40要小于等于50,45 没问题
D 16<=40,25 40<=53,39
d
数据结构 - 第133题





c
数据结构 - 第134题

c
数据结构 - 第135题


比较次数
c
数据结构 - 第136题

基本有序选直接插入
ab
数据结构 - 第137题

ad
数据结构 - 第138题

最适宜。。
aa
数据结构 - 第139题


c
数据结构 - 第140题

a选项,稳定性已经破坏掉了

数据结构 - 第141题

b是On2
第二题 bc太有序了,效率低


前三个都比45大,共比较4次

45变25

这样左边都是小于等于45,右边是大于等于45

然后左边和右边都要排
A为13次
D大于13次
d
数据结构 - 第142题

基本有序 On
dc
数据结构 - 第143题

ad
数据结构 - 第144题

cc
数据结构 - 第145题

b
数据结构 - 第146题




a
数据结构 - 第147题

a选项

比较了n = 4次
b选项

也是4次

比较了2n-1次
d选项

比较了2n-2次
c
数据结构 - 第148题


上面的O是归并的平均情况
ab
数据结构 - 第149题

a是m次,b是n次
a
数据结构 - 第150题

ac
数据结构 - 第151题


c
数据结构 - 第152题

c
数据结构 - 第153题


a
数据结构 - 第154题
c
数据结构 - 第155题

c
数据结构 - 第156题


d
数据结构 - 第157题


d
数据结构 - 第158题

b
数据结构 - 第159题


ba
数据结构 - 第160题


ac
数据结构 - 第161题

取中位数能更好的区分左右边
cd
至此上午题已经完成29.9%

