本文是小编巩固自身而作,如有错误,欢迎指出!
1.树
1.1树的概念与结构
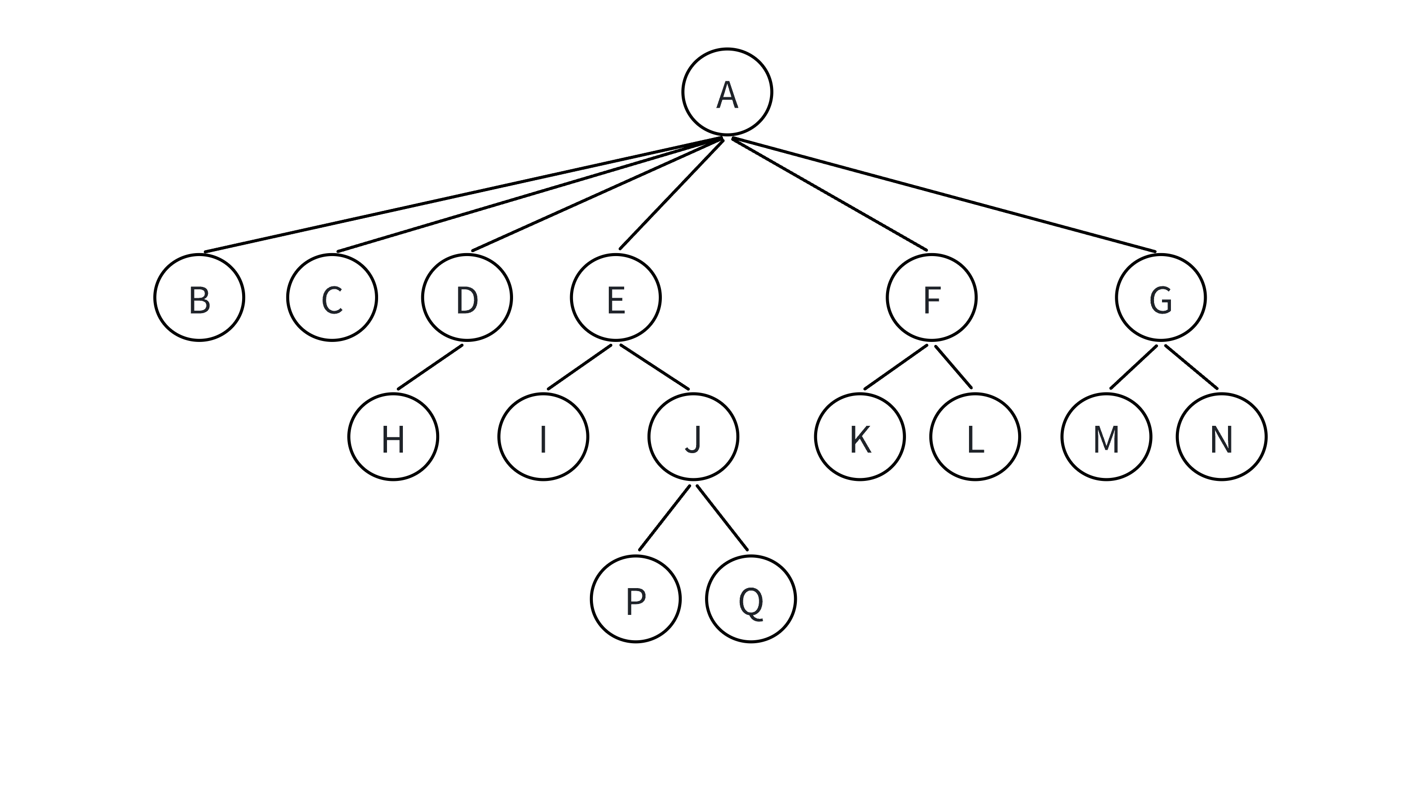
树是⼀种⾮线性的数据结构,它是由 n(n>=0) 个有限结点组成⼀个具有层次关系的集合。把它叫做 树是因为它看起来像⼀棵倒挂的树,也就是说它是根朝上⽽叶朝下的。

树形结构中,子树之间不能有交集,否则就不是树形结构
⾮树形结构:

因此,我们可以得到
• 子树是不相交的
• 除了根结点外,每个结点有且仅有⼀个父结点
• ⼀棵N个结点的树有N-1条边
1.2树的一些 相关术语

⽗结点/双亲结点:若⼀个结点含有⼦结点,则这个结点称为其⼦结点的⽗结点;如上图:A是B的⽗ 结点
⼦结点/孩⼦结点:⼀个结点含有的⼦树的根结点称为该结点的⼦结点;如上图:B是A的孩⼦结点
结点的度:⼀个结点有⼏个孩⼦,他的度就是多少;⽐如A的度为6,F的度为2,K的度为0 树的度:⼀棵树中,最⼤的结点的度称为树的度;如上图:树的度为 6
叶⼦结点/终端结点:度为 0 的结点称为叶结点;如上图: B、C、H、I... 等结点为叶结点
分⽀结点/⾮终端结点:度不为 0 的结点;如上图: D、E、F、G... 等结点为分⽀结点
兄弟结点:具有相同⽗结点的结点互称为兄弟结点(亲兄弟);如上图: B、C 是兄弟结
结点的层次:从根开始定义起,根为第 1 层,根的⼦结点为第 2 层,以此类推;
树的⾼度或深度:树中结点的最⼤层次;如上图:树的⾼度为 4
结点的祖先:从根到该结点所经分⽀上的所有结点;如上图: A 是所有结点的祖先
路径:⼀条从树中任意节点出发,沿⽗节点-⼦节点连接,达到任意节点的序列;⽐如A到Q的路径为: A-E-J-Q;H到Q的路径H-D-A-E-J-Q
⼦孙:以某结点为根的⼦树中任⼀结点都称为该结点的⼦孙。如上图:所有结点都是A的⼦孙
森林:由 m(m>0) 棵互不相交的树的集合称为森林;
2.二叉树
2.1二叉树的概念与结构
在树形结构中,我们最常⽤的就是⼆叉树,⼀棵⼆叉树是结点的⼀个有限集合,该集合由⼀个根结点 加上两棵别称为左⼦树和右⼦树的⼆叉树组成或者为空。

从上图可以看出⼆叉树具备以下特点:
⼆叉树不存在度⼤于 2 的结点
⼆叉树的⼦树有左右之分,次序不能颠倒,因此⼆叉树是有序树
注意:对于任意的⼆叉树都是由以下⼏种情况复合⽽成的

2.2特殊的二叉树
2.2.1满二叉树
⼀个⼆叉树,如果每⼀个层的结点数都达到最⼤值,则这个⼆叉树就是满⼆叉树。也就是说,如果⼀ 个⼆叉树的层数为 K ,且结点总数是2^k −1 ,则它就是满⼆叉树。

2.2.2完全二叉树
完全⼆叉树是效率很⾼的数据结构,完全⼆叉树是由满⼆叉树⽽引出来的。
对于深度为 K 的,有 n 个 结点的⼆叉树,当且仅当其每⼀个结点都与深度为K的满⼆叉树中编号从 1 ⾄ n 的结点⼀⼀对应时称 之为完全⼆叉树。
要注意的是满⼆叉树是⼀种特殊的完全⼆叉树。

3.堆
⼀般堆使⽤顺序结构的数组来存储数据,堆是⼀种特殊的⼆叉树,具有⼆叉树的特性的同时,还具备 其他的特性。
3.1堆的概念与结构
用直白点的话说就是,大数在上面就是大堆,小数在上面就是小堆


二叉树性质
• 对于具有 n 个结点的完全⼆叉树,如果按照从上⾄下从左⾄右的数组顺序对所有结点从 0 开始编号,则对于序号为 i 的结点有:
若 i>0 , i 位置结点的双亲序号: (i-1)/2 ; i=0 , i 为根结点编号,⽆双亲结点
若 2i+1,左孩⼦序号: 2i+1 , 2i+1>=n 否则⽆左孩⼦
若 2i+2,右孩⼦序号: 2i+2 , 2i+2>=n 否则⽆右孩⼦
3.2堆的实现
3.2.1堆的结构
以数组,类似于顺序表的方式实现
cpp
//堆的结构
typedef int HPdatatype;
typedef struct heap
{
HPdatatype* arr;
int size;//有效数据个数
int capacity;//空间大小
}HP;
3.2.2堆初始化
cpp
void HPinit(HP* php)//堆初始化
{
php->arr = NULL;
php->size = php->capacity = 0;
}
3.2.3向堆插入数据
如果是顺序表插入数据,直接将数据尾插即可,可是在堆内插入数据后,就要重新考虑是否要改变顺序,这里我们就采用向上调整算法
向上调整算法的核心思路就是把插入的节点和其母节点进行比较,然后改变顺序。

cpp
void Adjustup(HPdatatype* arr,int child)//向上调整算法
{
int parrent = (child - 1) / 2;//这里的child是指他的下标,不是数据
while (child > 0)
{
if (arr[child] < arr[parrent])
{
//调整
Swap(&arr[child], &arr[parrent]);
child = parrent;
parrent = (child - 1) / 2;//母节点和子节点的关系
}
else
{
break;
}
}
}
cpp
void HPpush(HP* php,HPdatatype x)//向堆插入数据
{
assert(php);
//判断空间是否足够
if (php->size == php->capacity)
{
int newcapacity = php->capacity == 0 ? 4 : 2 * php->capacity;
HPdatatype* tmp = (HPdatatype*)realloc(php->arr,sizeof(HPdatatype)*newcapacity);
if (tmp == NULL)
{
perror("realloc fail!");
exit(1);
}
php->arr = tmp;
php->capacity = newcapacity;
}
php->arr[php->size] = x;
Adjustup(php->arr, php->size);
php->size++;
}
3.2.4出堆
在堆中,出堆是将堆顶的数据删除之后将整个堆重新排序。
在这里我们采用向下调整算法,所谓向下调整算法,就是将最后一个节点和和堆顶交换,然后和子节点进行比较,进行交换。


cpp
void Adjustdown(HPdatatype* arr,int parent,int n)//向下调整算法
{
int child = parent * 2 + 1;//左孩子
while (child < n)
{
//小堆>
if (child+1<n && arr[child]<arr[child + 1])//确保是将最小(大)的数进行交换
{
child++;
}
//
if (arr[child] > arr[parent])//小堆<
{
//调整
Swap(&arr[child], &arr[parent]);
parent = child;
child = parent * 2 + 1;
}
else
{
break;
}
}
}
cpp
void HPpop(HP* php)//出堆
{
assert(!HPempty(php));
//将最开始的父节点删掉
Swap(&php->arr[0], &php->arr[php->size - 1]);
--php->size;
//向下调整
Adjustdown(php->arr, 0, php->size);
}
3.2.5堆排序
我们根据堆的数据结构,可以较为简单的实现堆排序,如下码
cpp
void HPsort1(int* arr, int n)//堆排序
{
HP hp;
HPinit(&hp);
for (int i = 0;i < n;i++)
{
HPpush(&hp, arr[i]);
}
int i = 0;
while (!HPempty(&hp))
{
int top = HPtop(&hp);
arr[i++] = top;
HPpop(&hp);
}
HPdestroy(&hp);
}
但是如果不借助堆的数据结构,该怎么样进行排序呢?
其思路就是:数组建堆,⾸尾交换,交换后的堆尾数据从堆中删掉,将堆顶数据向下调整选出次⼤的数据
cpp
void HPsort2(int* arr, int n)//堆排序
{
//根据数组建堆,向下调整建堆
for (int i = (n - 1 - 1) / 2;i > 0;i--)//下标是n-1,父节点是n-1/2
{
Adjustdown(arr, i, n);
}
//根据堆进行排序
int end = n - 1;
while (end > 0)
{
Swap(&arr[0], &arr[end]);
Adjustdown(arr, 0, end);
end--;
}
}
其中建堆过程如下

先调整最右子数,再调整相邻的子树。,再调整整个树
然后排序过程的原理就是

将最大和最小的数交换位置,即将最大数储存在数组末端,然后在进行向下调整,此次调整时,将数组的下标自减,就可以最后一个数排除在外,然后重复这个过程,就可以实现排序
3.3完整代码实现
.h文件
cpp
#pragma once
#include<stdio.h>
#include<stdlib.h>
#include<assert.h>
#include<stdbool.h>
//堆的结构
typedef int HPdatatype;
typedef struct heap
{
HPdatatype* arr;
int size;//有效数据个数
int capacity;//空间大小
}HP;
void HPinit(HP* php);//堆初始化
void HPdestroy(HP* php);//销毁堆
void HPpush(HP* php,HPdatatype x);//向堆插入数据
void Adjustup(HPdatatype* arr, int child);//向上调整算法
void Adjustdown(HPdatatype* arr,int parent,int n);//向下调整算法
void Swap(int* x, int* y);//交换函数
void HPprint(HP* php);//打印函数
void HPpop(HP* php);//出堆
bool HPempty(HP* php);//判空
HPdatatype HPtop(HP* php);//取堆顶数据
void HPsort1(int* arr, int n);//堆排序--数据结构
void HPsort2(int* arr, int n);//堆排序
.c文件
cpp
#define _CRT_SECURE_NO_WARNINGS
#include"heap.h"
void HPinit(HP* php)//堆初始化
{
php->arr = NULL;
php->size = php->capacity = 0;
}
void HPdestroy(HP* php)//销毁堆
{
if (php->arr)
{
free(php->arr);
php->arr = NULL;
php->size = php->capacity = 0;
}
}
void Swap(int* x, int* y)//交换函数
{
int tmp = *x;
*x = *y;
*y = tmp;
}
void Adjustup(HPdatatype* arr,int child)//向上调整算法
{
int parrent = (child - 1) / 2;
while (child > 0)
{
//小堆<
//大堆>
if (arr[child] < arr[parrent])
{
//调整
Swap(&arr[child], &arr[parrent]);
child = parrent;
parrent = (child - 1) / 2;
}
else
{
break;
}
}
}
void HPpush(HP* php,HPdatatype x)//向堆插入数据
{
assert(php);
//判断空间是否足够
if (php->size == php->capacity)
{
int newcapacity = php->capacity == 0 ? 4 : 2 * php->capacity;
HPdatatype* tmp = (HPdatatype*)realloc(php->arr,sizeof(HPdatatype)*newcapacity);
if (tmp == NULL)
{
perror("realloc fail!");
exit(1);
}
php->arr = tmp;
php->capacity = newcapacity;
}
php->arr[php->size] = x;
Adjustup(php->arr, php->size);
php->size++;
}
void HPprint(HP* php)//打印函数
{
for (int i = 0;i < php->size;i++)
{
printf("%d ",php->arr[i]);
}
printf("\n");
}
bool HPempty(HP* php)//判空
{
assert(php);
return php->size == 0;
}
void Adjustdown(HPdatatype* arr,int parent,int n)//向下调整算法
{
int child = parent * 2 + 1;//左孩子
while (child < n)
{
if (child+1<n && arr[child]> arr[child + 1])//小堆>
{
child++;
}
//
if (arr[child] < arr[parent])//小堆<
{
//调整
Swap(&arr[child], &arr[parent]);
parent = child;
child = parent * 2 + 1;
}
else
{
break;
}
}
}
void HPpop(HP* php)//出堆
{
assert(!HPempty(php));
//将最开始的父节点删掉
Swap(&php->arr[0], &php->arr[php->size - 1]);
--php->size;
//向下调整
Adjustdown(php->arr, 0, php->size);
}
HPdatatype HPtop(HP* php)//取堆顶数据
{
assert(!HPempty(php));
return php->arr[0];
}
void HPsort1(int* arr, int n)//堆排序
{
HP hp;
HPinit(&hp);
for (int i = 0;i < n;i++)
{
HPpush(&hp, arr[i]);
}
int i = 0;
while (!HPempty(&hp))
{
int top = HPtop(&hp);
arr[i++] = top;
HPpop(&hp);
}
HPdestroy(&hp);
}
.c文件(测试)
cpp
#define _CRT_SECURE_NO_WARNINGS
#include"heap.h"
void HPsort2(int* arr, int n)//堆排序
{
//根据数组建堆,向下调整建堆
for (int i = (n - 1 - 1) / 2;i >= 0;i--)
{
Adjustdown(arr, i, n);
}
//根据堆进行排序
int end = n - 1;
while (end > 0)
{
Swap(&arr[0], &arr[end]);
Adjustdown(arr, 0, end);
end--;
}
}
void test01()
{
HP hp;
HPinit(&hp);
HPpush(&hp, 56);
HPpush(&hp, 15);
HPpush(&hp, 10);
HPpop(&hp);
HPprint(&hp);
HPdestroy(&hp);
}
test02()
{
HP hp;
HPinit(&hp);
HPpush(&hp, 66);
HPpush(&hp, 26);
HPpush(&hp, 76);
HPprint(&hp);
printf("\n");
while (!HPempty(&hp))
{
int top = HPtop(&hp);
printf("%d ", top);
HPpop(&hp);
}
HPdestroy(&hp);
}
int main()
{
//test01();
/*test02();*/
int arr[6] = { 19, 23, 45, 43, 22, 11 };
/*HPsort1(arr, 6);*/
HPsort2(arr, 6);
for (int i = 0;i < 6;i++)
{
printf("%d ", arr[i]);
}
return 0;
}
本次分享就到这里结束了,后续会继续更新,感谢阅读!