树,森林
树的存储结构
双亲表示法

把他们的爹写上去
然后他们用的是连续的空间
孩子表示法

把孩子变成一个链表!?!这里就是图的邻接表
用编号代表,因为A,B,C这种有时候会很大
孩子,兄弟!表示法

只有一个孩子,后面全是兄弟
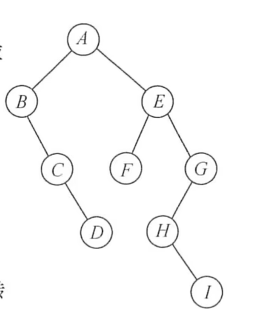
下面例子

R我只有一个孩子就是A,放左边
A:剩下的BC是我兄弟!往右边放,然后我有一个孩子D
D:我没有孩子,我是反生育主义,我觉得这个世界糟透了,但我有兄弟E,放在了右边
然后是全部展示

变成二叉树了
还原也要会

森林转二叉树
转
先用孩子兄弟把每颗树给整一下子,然后可以发现A是孩子,BC是A的兄弟

反转
反向也要会转
然后我们可以看见,如果只是单纯的一棵树,是不会有右边的
所以一旦有右边那它就会是森林
还是这个图,A右边包括自己有3个节点,说明有3颗树
做题
1


c
2

b
3

这种情况的题目最好具象化,特殊值做法
最后一个兄弟挺多,1895个
但别忘了最后一个右节点也没有右孩子
所以选D
树和森林的遍历
理解
下面是对应关系

举例子就知道了

这里想要求树的后序,就可以求二叉树的中序
想要求树的遍历,就得求二叉树的遍历
做题
1

性质
b
2

这里给了森林的先和后,就是二叉树的先和中
做一下
c
哈夫曼树
理解

注意结点的带权路径长度和树的带权路径长度
这里该节点(比如6)的带权路径长度就是6 * 2
树的带权路径长度就是所有叶子节点
这里WPL记一下,带权路径长度缩写
哈夫曼树不存在度为1的
做题
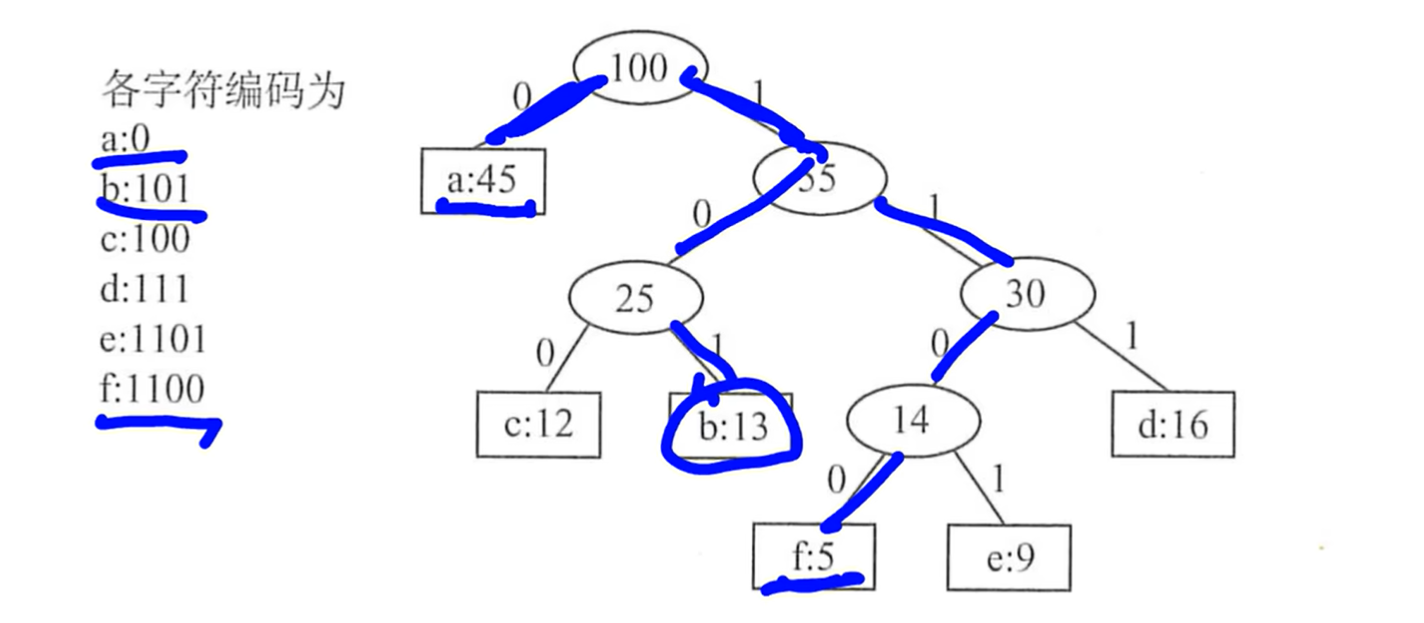
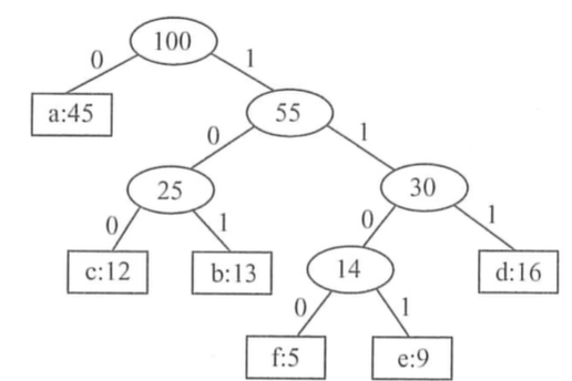
1

可以养成个好习惯,选完2个最小的 就小的放左边,大的放右边
200,没毛病
b
2

公式 n0 = n2 + 1
因为哈夫曼树中最初构造的节点最终都会落到叶结点上,所以这里n=n0,因此可以算出n2 = n-1
然后就是哈夫曼只有n0和n2
就是n0 + n2 = 115 n + n-1 = 115 n= 58
c
哈夫曼编码
前缀编码

什么意思?直接做题


可以看见110与1100是重合的,所以不是前缀编码
编码
哈夫曼编码是左0 右1

做题
1

太简单
d
2


然后WPL是

这里WPL的意义是,整个哈夫曼树二进制的总个数

a
可变长度编码和固定长度编码

哈夫曼是可变长度编码
只有在同一层才是固定长度编码
然后就是可变长编码与固定编码的压缩比


可以对比这2张图,第二张图是固定编码(6个在同一层)


他们的WPL压缩比就是1 - (224 / 300)大概是25%
做题
1

假设n = 3,2个图是这样的

定长所有字符在都同一层
选D哈
2

不就画吗
发现10和10并不能组成24

这里c选项的问题是0和3最小的没有画一块

D很爽,选就完了
并查集
09年之后从未在真题中出现过,请务必重视!(开玩笑的)