什么是大根堆?
大根堆是一种特殊的完全二叉树,主要用于快速访问和操作集合中的最大值,是堆的一种形式;
什么是完全二叉树?
- 完全二叉树是指一棵二叉树中,除了最后一层外,其余层的节点数都达到最大值(即满的),并且最后一层的节点都连续地靠左排列,注意如果最底层的叶子节点不满的情况下,是靠左排列才可以是完全二叉树。
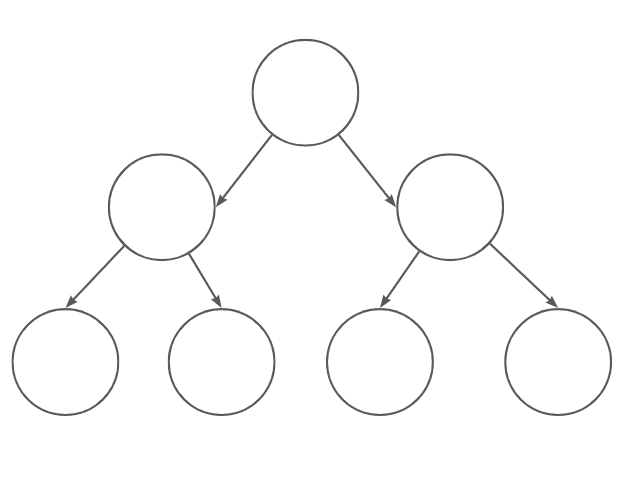
下面两个是完全二叉树:


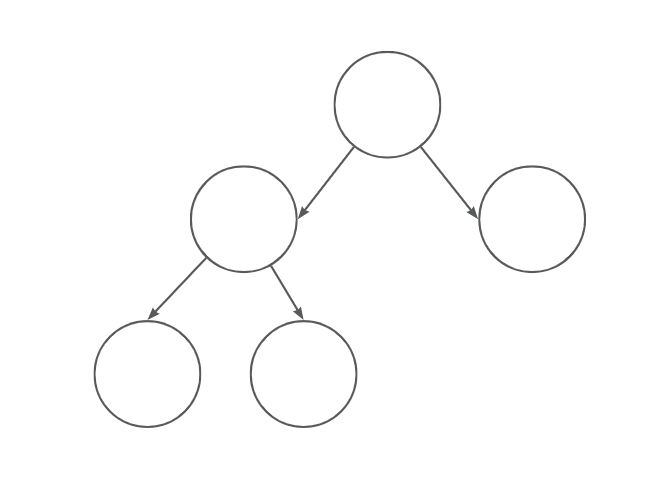
这个就不是一个完全二叉树,因为最底层的叶子节点没有连续靠左排列;

在完全二叉树的基础上,满足:
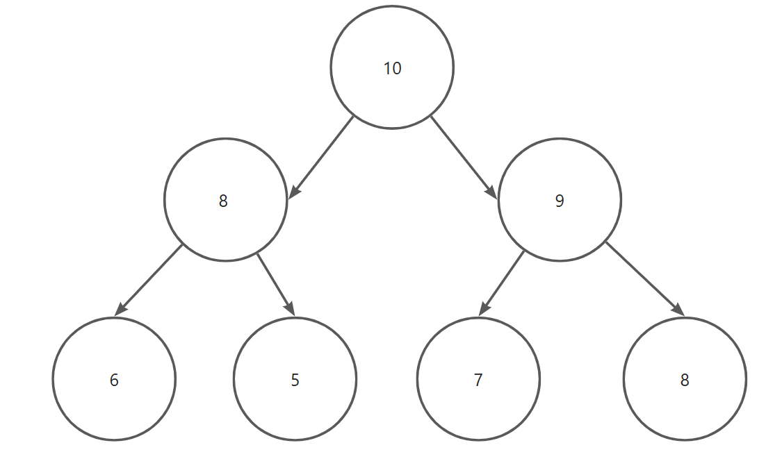
- 每个节点的值都大于或等于其子节点的值。也就是说,对于任意节点 i,都必须大于其子节点的值,最终也就是堆的根节点(即树的顶部)始终是整个堆的最大值;
大根堆最主要的性质:
- 根节点永远是最大值
下面就是一个大根堆的示例:

什么是小根堆?
与大根堆相比,小根堆(Min Heap)是相反的,每个节点的值小于或等于其子节点的值,根节点是最小值,其余相同。
Java提供了什么方式快速的实现大根堆和小根堆?
大根堆和小根堆都可以使用PriorityQueue(优先队列)实现;
小根堆的创建
Java中PriorityQueue默认是小根堆的方式,也就是直接创建一个PriorityQueue对象就好了,相当于创建一个小根堆;
java
PriorityQueue<Integer> minHeap = new PriorityQueue<>();
minHeap.offer(10); // 插入元素
minHeap.offer(30);
minHeap.offer(20);
System.out.println(minHeap.peek()); // 10(获取堆顶最小值)
System.out.println(minHeap.poll()); // 10(移除堆顶)
System.out.println(minHeap.poll()); // 20(下一个最小值)
大根堆的创建
大根堆的创建需要通过自定义比较器 (Comparator.reverseOrder()
)实现
java
// 使用比较器反转顺序
PriorityQueue<Integer> maxHeap = new PriorityQueue<>(Comparator.reverseOrder());
maxHeap.offer(10);
maxHeap.offer(30);
maxHeap.offer(20);
System.out.println(maxHeap.peek()); // 30(获取堆顶最大值)
System.out.println(maxHeap.poll()); // 30(移除堆顶)
System.out.println(maxHeap.poll()); // 20(下一个最大值)
自定义对象实现堆
我知道的有两种方式:
类实现 Comparable
接口:
java
class Person implements Comparable<Person> {
int age;
// 构造函数、getter/setter...
@Override
public int compareTo(Person other) {
return Integer.compare(this.age, other.age); // 默认升序(小根堆)
}
}
// 使用
PriorityQueue<Person> minHeap = new PriorityQueue<>();
动态传入比较器
java
// 大根堆(按年龄降序)
PriorityQueue<Person> maxHeap = new PriorityQueue<>(
(p1, p2) -> Integer.compare(p2.getAge(), p1.getAge())
);
// 等价于
PriorityQueue<Person> maxHeap = new PriorityQueue<>(Comparator.comparingInt(Person::getAge).reversed());
算法训练的使用
比如239. 滑动窗口最大值 - 力扣(LeetCode),在连续操作最大值和最小值的情况下很好用;