学习目标
- 目标
- 知道常用的一些神经网络超参数
- 知道BN层的意义以及数学原理
- 应用
- 无
目录
[2.批标准化(Batch Normalization)](#2.批标准化(Batch Normalization))
1.神经网络调优
我们经常会涉及到参数的调优,也称之为超参数调优。目前我们从第二部分中讲过的超参数有
-
算法层面:
-
学习率α
-
β1,β2, Adam 优化算法的超参数,常设为 0.9、0.999、10−810−8
-
λ:正则化网络参数,
-
-
网络层面:
- hidden units:各隐藏层神经元个数
- layers:神经网络层数
1.1.调参技巧
对于调参,通常采用跟机器学习中介绍的网格搜索一致,让所有参数的可能组合在一起,得到N组结果。然后去测试每一组的效果去选择。
假设我们现在有两个参数
α: 0.1,0.01,0.001,β:0.8,0.88,0.9
这样会有9种组合,[0.1, 0.8], [0.1, 0.88], [0.1, 0.9].......
- 合理的参数设置
- 学习率α:0.0001、0.001、0.01、0.1,跨度稍微大一些。
- 算法参数β, 0.999、0.9995、0.998等,尽可能的选择接近于1的值

1.2.运行
通常我们有这么多参数组合,每一个组合运行训练都需要很长时间,但是如果资源允许的话,可以同时并行的训练多个参数模型,并观察效果。如果资源不允许的话,还是得一个模型一个模型的运行,并时刻观察损失的变化
所以对于这么多的超参数,调优是一件复杂的事情,怎么让这么多的超参数范围,工作效果还能达到更好,训练变得更容易呢?
2.批标准化(Batch Normalization)
Batch Normalization论文地址:[1502.03167] Batch Normalization: Accelerating Deep Network Training by Reducing Internal Covariate Shift
其中最开头介绍是这样的:

训练深度神经网络很复杂,因为在训练期间每层输入的分布发生变化,因为前一层的参数发生了变化。这通过要求较低的学习率和仔细的参数初始化来减慢训练速度,并且使得训练具有饱和非线性的模型变得非常困难。我们将这种现象称为** 内部协变量偏移** ,并通过 **标准化层** 输入来解决问题。我们的方法的优势在于使标准化成为模型体系结构的一部分,并为每个培训小批量执行标准化。批量标准化允许我们使用更高的学习率并且不太关心初始化。它还可以充当调节器,在某些情况下可以消除对Dropout的需求。应用于最先进的图像分类模型,批量标准化实现了相同的精度,培训步骤减少了14倍,并且显着地超过了原始模型。使用批量标准化网络的集合,我们改进了ImageNet分类的最佳发布结果:达到4.9%的前5个验证错误(和4.8%的测试错误),超出了人类评估者的准确性。
首先我们还是回到之前,我们对输入特征 X 使用了标准化处理。标准化化后的优化得到了加速。
对于深层网络呢?我们接下来看一下这个公式,这是向量的表示。表示每Mini-batch有m个样本。

深层网络当中不止是初始的特征输入,而到了隐藏层也有输出结果,所以我们是否能够对隐层的输入Z[L]进行标准化,注意这里不是经过激活函数之后的A[L].

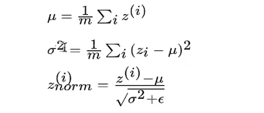
2.1.标准化公式
所以假设对于上图第二个四个神经元隐层。记做Z[l]Z[l],那么这一层会涉及多个z,所以我们默认用z[i][l],为了简单显示去掉了ll层这个标识,所以对于标准化中的平均值,以及方差

其中ϵ是为了防止分母为0,取值10−8。这样使得所有的l层输入z[i][l]为 0,方差为 1。但是原文的作者不想让隐藏层单元总是含有平均值 0 和方差 1,他认为也许隐藏层单元有了不同的分布会更有意义。因此,我们会增加这样的甲酸

其中,γ和β都是模型的学习参数(如同W和b一样),所以可以用各种梯度下降算法来更新 γ 和 β 的值,如同更新神经网络的权重一样。
- 为什么要使用这样两个参数
如果**各隐藏层的输入均值在靠近0的区域,即处于激活函数的线性区域,不利于训练非线性神经网络,从而得到效果较差的模型。**因此,需要用 γ 和 β 对标准化后的结果做进一步处理。(幅度变大,变成非线性)


2.2.为什么可以优化简单
我们之前在原文中标记了一个问题叫做叫做"internal covariate shift"。这个词翻译叫做协变量偏移,但是并不是很好理解。那么有一个解释叫做 在网络当中数据的分布会随着不同数据集改变 。这是网络中存在的问题。那我们一起来看一下数据本身分布是在这里会有什么问题。

也就是说如果我们在训练集中的数据分布如左图,那么网络当中学习到的分布状况也就是左图。那对于给定一个测试集中的数据,分布不一样。这个网络可能就不能准确去区分。这种情况下,一般要对模型进行重新训练。
Batch Normalization的作用就是减小Internal Covariate Shift ( 内部协变量转换**)所带来的影响,让模型变得更加健壮,鲁棒性(Robustness)更强。即使输入的值改变了,由于 Batch Normalization 的作用,使得均值和方差保持固定(由每一层γ和β决定),限制了在前层的参数更新对数值分布的影响程度,因此后层的学习变得更容易一些。Batch Normalization 减少了各层 W 和 b 之间的耦合性,让各层更加独立,实现自我训练学习的效果**
2.3.BN总结
Batch Normalization 也起到微弱的正则化效果,但是不要将 Batch Normalization 作为正则化的手段,而是当作加速学习的方式。Batch Normalization主要解决的还是反向传播过程中的梯度问题(梯度消失和爆炸)。