第 87 场周赛:比较含退格的字符串、数组中的最长山脉、一手顺子、访问所有节点的最短路径

Q1、[简单] 比较含退格的字符串

1、题目描述

给定 st 两个字符串,当它们分别被输入到空白的文本编辑器后,如果两者相等,返回 true# 代表退格字符。

**注意:**如果对空文本输入退格字符,文本继续为空。

示例 1:

复制代码
输入:s = "ab#c", t = "ad#c"
输出:true
解释:s 和 t 都会变成 "ac"。

示例 2:

复制代码
输入:s = "ab##", t = "c#d#"
输出:true
解释:s 和 t 都会变成 ""。

示例 3:

复制代码
输入:s = "a#c", t = "b"
输出:false
解释:s 会变成 "c",但 t 仍然是 "b"。

提示:

  • 1 <= s.length, t.length <= 200
  • st 只含有小写字母以及字符 '#'

进阶:

  • 你可以用 O(n) 的时间复杂度和 O(1) 的空间复杂度解决该问题吗?
2、解题思路
  1. 问题分析

    • 字符串中的 # 表示退格操作,会删除前一个字符。
    • 需要模拟文本编辑器的行为,处理退格操作后比较两个字符串是否相同。
  2. 算法设计

    • 使用栈来模拟文本编辑器的行为:
      • 遍历字符串,遇到非 # 字符则压入栈中。
      • 遇到 # 字符则弹出栈顶字符(如果栈不为空)。
    • 最终比较两个栈中的字符是否相同。
  3. 优化

    • 使用双指针可以在不占用额外空间的情况下解决问题,但栈的解法更直观。
3、代码实现
C++
c++ 复制代码
class Solution {
public:
    bool backspaceCompare(string s, string t) {
        stack<char> s1, s2;
        // 处理字符串 s
        for (char c : s) {
            if (c != '#') {
                s1.push(c);
            } else if (!s1.empty()) {
                s1.pop();
            }
        }
        // 处理字符串 t
        for (char c : t) {
            if (c != '#') {
                s2.push(c);
            } else if (!s2.empty()) {
                s2.pop();
            }
        }
        // 比较两个栈
        if (s1.size() != s2.size()) {
            return false;
        }
        while (!s1.empty()) {
            if (s1.top() != s2.top()) {
                return false;
            }
            s1.pop();
            s2.pop();
        }
        return true;
    }
};
Java
java 复制代码
class Solution {
    public boolean backspaceCompare(String s, String t) {
        Stack<Character> s1 = new Stack<>();
        Stack<Character> s2 = new Stack<>();
        // 处理字符串 s
        for (char c : s.toCharArray()) {
            if (c != '#') {
                s1.push(c);
            } else if (!s1.isEmpty()) {
                s1.pop();
            }
        }
        // 处理字符串 t
        for (char c : t.toCharArray()) {
            if (c != '#') {
                s2.push(c);
            } else if (!s2.isEmpty()) {
                s2.pop();
            }
        }
        // 比较两个栈
        if (s1.size() != s2.size()) {
            return false;
        }
        while (!s1.isEmpty()) {
            if (s1.pop() != s2.pop()) {
                return false;
            }
        }
        return true;
    }
}
Python
python 复制代码
class Solution:
    def backspaceCompare(self, s: str, t: str) -> bool:
        def build(s: str) -> list:
            stack = []
            for c in s:
                if c != '#':
                    stack.append(c)
                elif stack:
                    stack.pop()
            return stack
        return build(s) == build(t)
4、复杂度分析
  1. 时间复杂度

    • 处理字符串 st 的时间复杂度均为 O(n),其中 n 是字符串的长度。
    • 比较两个栈的时间复杂度为 O(n)。
    • 总时间复杂度为 O(n)。
  2. 空间复杂度

    • 使用栈的空间复杂度为 O(n)。

Q2、[中等] 数组中的最长山脉

1、题目描述

把符合下列属性的数组 arr 称为 山脉数组

  • arr.length >= 3
  • 存在下标 i(0 < i < arr.length - 1),满足
    • arr[0] < arr[1] < ... < arr[i - 1] < arr[i]
    • arr[i] > arr[i + 1] > ... > arr[arr.length - 1]

给出一个整数数组 arr,返回最长山脉子数组的长度。如果不存在山脉子数组,返回 0

示例 1:

复制代码
输入:arr = [2,1,4,7,3,2,5]
输出:5
解释:最长的山脉子数组是 [1,4,7,3,2],长度为 5。

示例 2:

复制代码
输入:arr = [2,2,2]
输出:0
解释:不存在山脉子数组。

提示:

  • 1 <= arr.length <= 104
  • 0 <= arr[i] <= 104

进阶:

  • 你可以仅用一趟扫描解决此问题吗?
  • 你可以用 O(1) 空间解决此问题吗?
2、解题思路
  1. 问题分析

    • 山脉数组必须有一个山峰,该山峰是数组中的最大值。
    • 山脉数组的左侧必须严格递增,右侧必须严格递减。
  2. 算法设计

    • 使用动态规划来记录每个位置左侧严格递增的长度和右侧严格递减的长度。
    • 对于每个位置 i,如果 left[i]right[i] 都大于 0,则说明 i 是山峰,山脉长度为 left[i] + right[i] + 1
    • 最终返回所有可能的山脉长度中的最大值。
  3. 优化

    • 使用两个数组 leftright 来分别记录每个位置左侧和右侧的严格递增/递减长度。

    • 遍历数组两次来填充 leftright,然后遍历一次计算最大山脉长度。

3、代码实现
C++
c++ 复制代码
class Solution {
public:
    int longestMountain(vector<int>& arr) {
        int n = arr.size();
        if (n < 3) {
            return 0; // 如果数组长度小于 3,直接返回 0
        }

        vector<int> left(n, 0); // 记录每个位置左侧严格递增的长度
        for (int i = 1; i < n; ++i) {
            if (arr[i - 1] < arr[i]) {
                left[i] = left[i - 1] + 1;
            }
        }

        vector<int> right(n, 0); // 记录每个位置右侧严格递减的长度
        for (int i = n - 2; i >= 0; --i) {
            if (arr[i + 1] < arr[i]) {
                right[i] = right[i + 1] + 1;
            }
        }

        int ret = 0;
        for (int i = 0; i < n; ++i) {
            if (left[i] > 0 && right[i] > 0) {          // 如果 i 是山峰
                ret = max(ret, left[i] + right[i] + 1); // 计算山脉长度
            }
        }

        return ret;
    }
};
c++ 复制代码
class Solution {
public:
    int longestMountain(vector<int>& arr) {
        int n = arr.size();
        int ret = 0;
        int left = 0;
        while (left + 2 < n) {
            int right = left + 1;
            if (arr[left] < arr[left + 1]) {
                while (right + 1 < n && arr[right] < arr[right + 1]) {
                    ++right;
                }
                if (right < n - 1 && arr[right] > arr[right + 1]) {
                    while (right < n - 1 && arr[right] > arr[right + 1]) {
                        ++right;
                    }
                    ret = max(ret, right - left + 1);
                } else {
                    ++right;
                }
            }
            left = right;
        }
        return ret;
    }
};
Java
java 复制代码
class Solution {
    public int longestMountain(int[] arr) {
        int n = arr.length;
        if (n < 3) {
            return 0; // 如果数组长度小于3,直接返回0
        }

        int[] left = new int[n]; // 记录每个位置左侧严格递增的长度
        for (int i = 1; i < n; ++i) {
            if (arr[i - 1] < arr[i]) {
                left[i] = left[i - 1] + 1;
            }
        }

        int[] right = new int[n]; // 记录每个位置右侧严格递减的长度
        for (int i = n - 2; i >= 0; --i) {
            if (arr[i + 1] < arr[i]) {
                right[i] = right[i + 1] + 1;
            }
        }

        int ret = 0;
        for (int i = 0; i < n; ++i) {
            if (left[i] > 0 && right[i] > 0) { // 如果i是山峰
                ret = Math.max(ret, left[i] + right[i] + 1); // 计算山脉长度
            }
        }

        return ret;
    }
}
Python
python 复制代码
class Solution:
    def longestMountain(self, arr: List[int]) -> int:
        n = len(arr)
        if n < 3:
            return 0  # 如果数组长度小于3,直接返回0

        left = [0] * n  # 记录每个位置左侧严格递增的长度
        for i in range(1, n):
            if arr[i - 1] < arr[i]:
                left[i] = left[i - 1] + 1

        right = [0] * n  # 记录每个位置右侧严格递减的长度
        for i in range(n - 2, -1, -1):
            if arr[i + 1] < arr[i]:
                right[i] = right[i + 1] + 1

        ret = 0
        for i in range(n):
            if left[i] > 0 and right[i] > 0:  # 如果i是山峰
                ret = max(ret, left[i] + right[i] + 1)  # 计算山脉长度

        return ret
4、复杂度分析
  1. 时间复杂度
    • 填充 leftright 数组的时间复杂度为 O(n)。
    • 计算最大山脉长度的时间复杂度为 O(n)。
    • 总时间复杂度为 O(n)。
  2. 空间复杂度
    • 使用两个数组 leftright,空间复杂度为 O(n)。

Q3、[中等] 一手顺子

1、题目描述

Alice 手中有一把牌,她想要重新排列这些牌,分成若干组,使每一组的牌数都是 groupSize ,并且由 groupSize 张连续的牌组成。

给你一个整数数组 hand 其中 hand[i] 是写在第 i 张牌上的数值 。如果她可能重新排列这些牌,返回 true ;否则,返回 false

示例 1:

复制代码
输入:hand = [1,2,3,6,2,3,4,7,8], groupSize = 3
输出:true
解释:Alice 手中的牌可以被重新排列为 [1,2,3],[2,3,4],[6,7,8]。

示例 2:

复制代码
输入:hand = [1,2,3,4,5], groupSize = 4
输出:false
解释:Alice 手中的牌无法被重新排列成几个大小为 4 的组。

提示:

  • 1 <= hand.length <= 104
  • 0 <= hand[i] <= 109
  • 1 <= groupSize <= hand.length
2、解题思路
  1. 问题分析

    • 需要将牌分成若干组,每组有 groupSize 张连续的牌。
    • 如果牌的总数不能被 groupSize 整除,直接返回 false
    • 需要统计每张牌的数量,并按顺序分组。
  2. 算法设计

    • 先检查牌的总数是否能被 groupSize 整除。
    • 对牌进行排序,并统计每张牌的数量。
    • 遍历排序后的牌,尝试将连续的 groupSize 张牌分成一组,如果无法找到连续的牌则返回 false
  3. 优化

    • 使用哈希表统计每张牌的数量,可以快速查询和更新。
    • 排序后可以方便地找到连续的牌。
3、代码实现
C++
c++ 复制代码
class Solution {
public:
    bool isNStraightHand(vector<int>& hand, int groupSize) {
        int n = hand.size();
        // 如果牌的总数不能被 groupSize 整除,直接返回 false
        if (n % groupSize != 0) {
            return false;
        }
        sort(hand.begin(), hand.end()); // 排序
        unordered_map<int, int> cnt;    // 统计每张牌的数量
        for (auto& num : hand) {
            cnt[num]++;
        }
        for (auto& x : hand) {
            // 如果当前牌已经被用完,跳过
            if (cnt[x] == 0) {
                continue;
            }
            // 检查连续的 groupSize 张牌
            for (int j = 0; j < groupSize; ++j) {
                int num = x + j;
                // 如果缺少某张连续的牌,返回 false
                if (cnt[num] == 0) {
                    return false;
                }
                cnt[num]--; // 用掉一张牌
            }
        }
        return true; // 所有牌都成功分组
    }
};
Java
java 复制代码
class Solution {
    public boolean isNStraightHand(int[] hand, int groupSize) {
        int n = hand.length;
        // 如果牌的总数不能被 groupSize 整除,直接返回 false
        if (n % groupSize != 0) {
            return false;
        }
        Arrays.sort(hand); // 排序
        Map<Integer, Integer> cnt = new HashMap<>(); // 统计每张牌的数量
        for (int num : hand) {
            cnt.put(num, cnt.getOrDefault(num, 0) + 1);
        }
        for (int x : hand) {
            // 如果当前牌已经被用完,跳过
            if (cnt.get(x) == 0) {
                continue;
            }
            // 检查连续的 groupSize 张牌
            for (int j = 0; j < groupSize; ++j) {
                int num = x + j;
                // 如果缺少某张连续的牌,返回 false
                if (!cnt.containsKey(num) || cnt.get(num) == 0) {
                    return false;
                }
                cnt.put(num, cnt.get(num) - 1); // 用掉一张牌
            }
        }
        return true; // 所有牌都成功分组
    }
}
Python
python 复制代码
class Solution:
    def isNStraightHand(self, hand: List[int], groupSize: int) -> bool:
        n = len(hand)
        if n % groupSize != 0:  # 如果牌的总数不能被 groupSize 整除,直接返回 False
            return False
        hand.sort()  # 排序
        cnt = defaultdict(int)
        for num in hand:  # 统计每张牌的数量
            cnt[num] += 1
        for x in hand:
            if cnt[x] == 0:  # 如果当前牌已经被用完,跳过
                continue
            for j in range(groupSize):  # 检查连续的 groupSize 张牌
                num = x + j
                if cnt[num] == 0:  # 如果缺少某张连续的牌,返回 False
                    return False
                cnt[num] -= 1  # 用掉一张牌
        return True  # 所有牌都成功分组
4、复杂度分析
  1. 时间复杂度

    • 排序的时间复杂度为 O(nlogn)。
    • 遍历和分组的时间复杂度为 O(nlogn)。
    • 总时间复杂度为 O(nlogn)。
  2. 空间复杂度

    • 使用哈希表存储牌的数量,空间复杂度为 O(nlogn)。

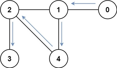
Q4、[困难] 访问所有节点的最短路径

1、题目描述

存在一个由 n 个节点组成的无向连通图,图中的节点按从 0n - 1 编号。

给你一个数组 graph 表示这个图。其中,graph[i] 是一个列表,由所有与节点 i 直接相连的节点组成。

返回能够访问所有节点的最短路径的长度。你可以在任一节点开始和停止,也可以多次重访节点,并且可以重用边。

示例 1:

复制代码
输入:graph = [[1,2,3],[0],[0],[0]]
输出:4
解释:一种可能的路径为 [1,0,2,0,3]

示例 2:

复制代码
输入:graph = [[1],[0,2,4],[1,3,4],[2],[1,2]]
输出:4
解释:一种可能的路径为 [0,1,4,2,3]

提示:

  • n == graph.length
  • 1 <= n <= 12
  • 0 <= graph[i].length < n
  • graph[i] 不包含 i
  • 如果 graph[a] 包含 b ,那么 graph[b] 也包含 a
  • 输入的图总是连通图
2、解题思路
  1. 问题分析
    • 这是一个典型的**状态压缩广度优先搜索(BFS)**问题。
    • 需要记录访问过的节点集合,通常用**位掩码(bitmask)**表示,其中第 i 位为 1 表示节点 i 已被访问。
    • 使用 BFS 来探索所有可能的路径,确保找到最短路径。
  2. 算法设计
    • 初始化:从每个节点出发,初始化队列,记录当前节点、访问掩码和路径长度。
    • BFS 遍历:对于队列中的每个状态,尝试访问相邻节点,并更新访问掩码。
    • 终止条件:当访问掩码表示所有节点都被访问时,返回当前路径长度。
  3. 优化
    • 使用 seen 数组避免重复访问相同的节点和掩码组合。
    • 优先处理路径长度较短的状态,确保找到最短路径
3、代码实现
C++
c++ 复制代码
class Solution {
public:
    int shortestPathLength(vector<vector<int>>& graph) {
        int n = graph.size();
        queue<tuple<int, int, int>> q; // 队列存储 (节点, 掩码, 路径长度)
        vector<vector<bool>> seen(n, vector<bool>(1 << n, false)); // 标记是否访问过

        // 初始化队列,从每个节点出发
        for (int i = 0; i < n; ++i) {
            q.emplace(i, 1 << i, 0);
            seen[i][1 << i] = true;
        }

        int ret = 0;
        while (!q.empty()) {
            auto [u, mask, dist] = q.front();
            q.pop();

            // 如果所有节点都被访问,返回当前路径长度
            if (mask == (1 << n) - 1) {
                ret = dist;
                break;
            }

            // 遍历相邻节点
            for (int v : graph[u]) {
                int mask_v = mask | (1 << v); // 更新掩码
                if (!seen[v][mask_v]) {
                    q.emplace(v, mask_v, dist + 1);
                    seen[v][mask_v] = true;
                }
            }
        }

        return ret;
    }
};
Java
java 复制代码
class Solution {
    public int shortestPathLength(int[][] graph) {
        int n = graph.length;
        Queue<int[]> q = new ArrayDeque<>(); // 队列存储 [节点, 掩码, 路径长度]
        boolean[][] seen = new boolean[n][1 << n]; // 标记是否访问过

        // 初始化队列,从每个节点出发
        for (int i = 0; i < n; ++i) {
            q.offer(new int[] { i, 1 << i, 0 });
            seen[i][1 << i] = true;
        }

        int ret = 0;
        while (!q.isEmpty()) {
            int[] state = q.poll();
            int u = state[0], mask = state[1], dist = state[2];

            // 如果所有节点都被访问,返回当前路径长度
            if (mask == (1 << n) - 1) {
                ret = dist;
                break;
            }

            // 遍历相邻节点
            for (int v : graph[u]) {
                int mask_v = mask | (1 << v); // 更新掩码
                if (!seen[v][mask_v]) {
                    q.offer(new int[] { v, mask_v, dist + 1 });
                    seen[v][mask_v] = true;
                }
            }
        }

        return ret;
    }
}
Python
python 复制代码
class Solution:
    def shortestPathLength(self, graph: List[List[int]]) -> int:
        n = len(graph)
        q = deque()  # 队列存储 (节点, 掩码, 路径长度)
        seen = [[False] * (1 << n) for _ in range(n)]  # 标记是否访问过
        
        # 初始化队列,从每个节点出发
        for i in range(n):
            q.append((i, 1 << i, 0))
            seen[i][1 << i] = True

        ret = 0
        while q:
            u, mask, dist = q.popleft()
            
            # 如果所有节点都被访问,返回当前路径长度
            if mask == (1 << n) - 1:
                ret = dist
                break
            
            # 遍历相邻节点
            for v in graph[u]:
                mask_v = mask | (1 << v)  # 更新掩码
                if not seen[v][mask_v]:
                    q.append((v, mask_v, dist + 1))
                    seen[v][mask_v] = True

        return ret
4、复杂度分析
  • 时间复杂度:O(n2 ⋅2n)。

  • 空间复杂度:O(n⋅2n)

相关推荐
佩洛君2 分钟前
如何在Ubuntu22.04中安装ROS2-Humble
c++·python·ros2
昆曲之源_娄江河畔5 分钟前
婴儿版训练GPT
python·gpt·机器学习·大模型训练
pupudawang12 分钟前
Spring Boot 热部署
java·spring boot·后端
我登哥MVP14 分钟前
【SpringMVC笔记】 - 9 - 异常处理器
java·spring boot·spring·servlet·tomcat·maven
qq_4138474020 分钟前
Redis怎样设计企业级备份策略_结合全量RDB与增量AOF实现多级数据保护
jvm·数据库·python
下地种菜小叶20 分钟前
Spring Boot 2.x 升级 3.x / 4.x 怎么做?一次讲清 JDK、Jakarta、依赖兼容与上线策略
java·spring boot·后端
iiiiyu21 分钟前
常用API(StringJoiner类 & Math类 & System类)
java·大数据·开发语言·数据结构·编程语言
始三角龙22 分钟前
LeetCode hoot 100 -- 找到字符串中的所有字母异位词
算法·leetcode·职场和发展
qq_3729069326 分钟前
如何通过点击事件动态展开和收起 HTML 元素
jvm·数据库·python
abant227 分钟前
leetcode 45 跳跃问题2 很难的贪心
算法·leetcode·职场和发展