快慢双指针
审题要有耐心 多遍历一些情况

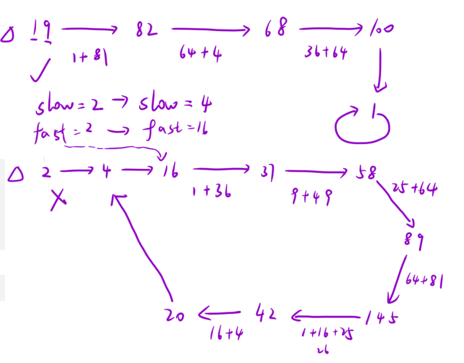
通过这张图片我们发现 最后都会有环
这个结构一下子让我联想到双链表的快慢指针问题 那个熟悉的圆圈圈结点
算法原理
判断链表是否有环 快慢双指针:定义快慢指针 慢指针每次向后移动一步 快指针每次向后移动两步 判断相遇时候的值即可
注意快慢双指针是一种思想 没有规定说必须是指针 可以为数字啊 或者其他东西
下面是效果图和代码:

            
            
              java
              
              
            
          
          class Solution {
    //定义一个函数返回n这个数每一位上的平方和
    public int  bitSum(int n) {
        int sum = 0;
        while(n !=0){
        int t = n%10;
        sum += t*t;
        n/=10;
        }
        return sum;
    }
    public boolean isHappy(int n) {
        int slow = n ,fast = bitSum(n);
        while(slow != fast){
            slow = bitSum(slow);
            fast=bitSum(bitSum(fast));
        }
        return slow == 1 ;
    }
}