Leetcode+Java+图论II

110.字符串迁移

题目描述

字典 strList 中从字符串 beginStr 和 endStr 的转换序列是一个按下述规格形成的序列:

  1. 序列中第一个字符串是 beginStr。

  2. 序列中最后一个字符串是 endStr。

  3. 每次转换只能改变一个字符。

  4. 转换过程中的中间字符串必须是字典 strList 中的字符串,且strList里的每个字符串只用使用一次。

给你两个字符串 beginStr 和 endStr 和一个字典 strList,找到从 beginStr 到 endStr 的最短转换序列中的字符串数目。如果不存在这样的转换序列,返回 0。

输入描述

第一行包含一个整数 N,表示字典 strList 中的字符串数量。 第二行包含两个字符串,用空格隔开,分别代表 beginStr 和 endStr。 后续 N 行,每行一个字符串,代表 strList 中的字符串。

输出描述

输出一个整数,代表从 beginStr 转换到 endStr 需要的最短转换序列中的字符串数量。如果不存在这样的转换序列,则输出 0。

输入示例
复制代码
6
abc def
efc
dbc
ebc
dec
dfc
yhn
输出示例
复制代码
4
提示信息

从 startStr 到 endStr,在 strList 中最短的路径为 abc -> dbc -> dec -> def,所以输出结果为 4,如图:

数据范围:

2 <= N <= 500

原理

问题本质

这是一个单源最短路径问题 ,可以在无向图中建模:

  • 节点:所有单词(包括beginStr、endStr和字典中的字符串)
  • :两个单词之间恰好相差一个字符时存在边,边的权重为1
  • 目标:求从beginStr到endStr的最短路径长度

BFS核心思想

广度优先搜索(BFS)天然适合求解无权图的最短路径

  1. 分层遍历:从起始节点开始,按层逐层向外扩展
  2. 最短路径保证:第一层包含距离为1的所有节点,第二层包含距离为2的节点,以此类推
  3. 最早到达即最短:到达目标节点时,当前层数就是最短路径长度

代码

java 复制代码
import java.util.*;

public class Main {
    // 全局变量sum未使用,实际代码中未被调用
    static int sum = 0;
    
    public static void main(String[] args) {
        Scanner scanner = new Scanner(System.in);
        int n = scanner.nextInt();  // 读取字典中字符串的数量N
        
        String[] strings = new String[n];
        String start = scanner.next();  // 读取起始字符串beginStr
        String end = scanner.next();    // 读取结束字符串endStr
        
        // 创建包含所有单词的wordList(包括start和end)
        List<String> wordList = new ArrayList<>();
        wordList.add(start);    // 添加起始字符串
        wordList.add(end);      // 添加结束字符串
        
        // 读取N个字典字符串并加入wordList
        for (int i = 0; i < n; i++) {
            strings[i] = scanner.next();
            wordList.add(strings[i]);
        }
        
        // 执行BFS计算最短路径长度
        int ans = bfs(start, end, wordList);
        System.out.print(ans);  // 输出结果
    }
    
    /**
     * BFS广度优先搜索求最短转换序列长度
     * @param start 起始字符串
     * @param end 结束字符串
     * @param wordList 所有可用单词列表
     * @return 最短序列长度,如果无法到达返回0
     */
    public static int bfs(String start, String end, List<String> wordList) {
        int len = 1;  // 当前序列长度,初始为1(包含起始字符串)
        
        // set存储所有可用的单词
        Set<String> set = new HashSet<>(wordList);
        
        // visited记录已访问的单词,避免重复访问
        Set<String> visited = new HashSet<>();
        
        // 队列用于BFS,存储待处理的单词
        Queue<String> queue = new LinkedList<>();
        
        visited.add(start);     // 标记起始字符串已访问
        queue.add(start);       // 起始字符串入队
        queue.add(null);        // 添加null标记,用于分层统计深度
        
        while (!queue.isEmpty()) {
            String str = queue.remove();  // 取出队列头部元素
            
            // 遇到null标记,表示当前层结束,需要进入下一层
            if (str == null) {
                if (!queue.isEmpty()) {  // 队列非空,继续下一层
                    len++;              // 层数加1
                    queue.add(null);    // 添加新的null标记
                }
                continue;
            }
            
            // 对当前字符串的每个位置尝试替换
            char[] charArray = str.toCharArray();
            for (int i = 0; i < charArray.length; i++) {
                char old = charArray[i];  // 保存原始字符
                
                // 尝试将该位置替换为a-z的26个字母
                for (char j = 'a'; j <= 'z'; j++) {
                    charArray[i] = j;
                    String newWord = new String(charArray);  // 生成新单词
                    
                    // 检查新单词是否在字典中且未访问过
                    if (set.contains(newWord) && !visited.contains(newWord)) {
                        queue.add(newWord);     // 新单词入队
                        visited.add(newWord);   // 标记为已访问
                        
                        // 如果到达目标字符串,返回序列长度
                        if (newWord.equals(end)) {
                            return len + 1;
                        }
                    }
                }
                charArray[i] = old;  // 恢复原始字符
            }
        }
        return 0;  // 无法到达目标,返回0
    }
}

105.有向图的完全联通

题目描述

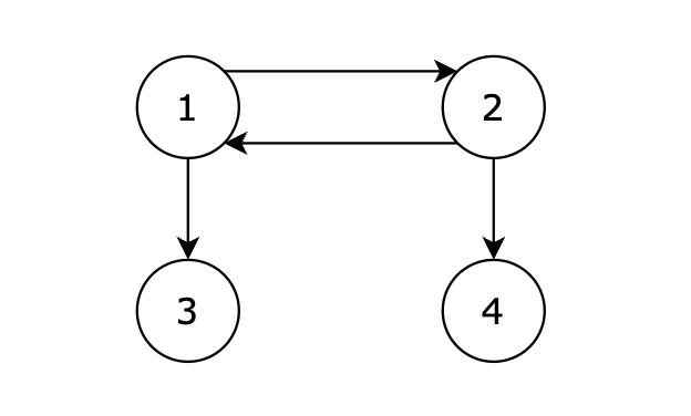
给定一个有向图,包含 N 个节点,节点编号分别为 1,2,...,N。现从 1 号节点开始,如果可以从 1 号节点的边可以到达任何节点,则输出 1,否则输出 -1。

输入描述

第一行包含两个正整数,表示节点数量 N 和边的数量 K。 后续 K 行,每行两个正整数 s 和 t,表示从 s 节点有一条边单向连接到 t 节点。

输出描述

如果可以从 1 号节点的边可以到达任何节点,则输出 1,否则输出 -1。

输入示例
复制代码
4 4
1 2
2 1
1 3
2 4
输出示例
复制代码
1
提示信息

从 1 号节点可以到达任意节点,输出 1。

数据范围:

1 <= N <= 100;

1 <= K <= 2000。

原理

BFS+边访问数组

DFS+邻接表

BFS+邻接表

代码

java 复制代码
import java.util.*;

public class Main {
    static int sum = 0;  // 未使用,冗余变量
    
    public static void main(String[] args) {
        Scanner scanner = new Scanner(System.in);
        int n = scanner.nextInt();  // 节点数
        int k = scanner.nextInt();  // 边数
        
        // 使用二维数组存储边,空间浪费严重
        int[][] graph = new int[k][2];
        for (int i = 0; i < k; i++) {
            graph[i][0] = scanner.nextInt();  // 起点
            graph[i][1] = scanner.nextInt();  // 终点
        }
        scanner.close();
        
        boolean[] visited_node = new boolean[n + 1];     // 节点访问标记
        boolean[][] visited_bian = new boolean[n + 1][n + 1];  // 边访问标记(冗余!)
        
        // 执行BFS
        if (bfs(graph, visited_node, visited_bian)) {
            System.out.print(1);
        } else {
            System.out.print(-1);
        }
    }
    
    /**
     * BFS实现(版本1):遍历所有边寻找出边,复杂度O(K)
     */
    public static boolean bfs(int[][] graph, boolean[] visited_node, boolean[][] visited_bian) {
        Queue<Integer> queue = new ArrayDeque<>();  // 队列存储待访问节点
        queue.add(1);                               // 从1号节点开始
        visited_node[1] = true;                     // 标记1已访问
        
        while (!queue.isEmpty()) {
            int node = queue.poll();  // 取出当前节点
            
            // 遍历所有K条边,寻找以node为起点的边(O(K)复杂度!)
            for (int i = 0; i < graph.length; i++) {
                if (graph[i][0] == node) {  // 找到以node为起点的边
                    int target = graph[i][1];
                    
                    // 同时检查边和节点是否访问过(逻辑冗余)
                    if (!visited_bian[node][target] && !visited_node[target]) {
                        visited_node[target] = true;
                        visited_bian[node][target] = true;
                        queue.add(target);
                    }
                }
            }
        }
        
        // 检查是否所有节点都被访问
        for (int i = 1; i < visited_node.length; i++) {
            if (!visited_node[i]) return false;
        }
        return true;
    }
}
java 复制代码
import java.util.*;

public class Main {
    static int sum = 0;  // 未使用
    
    public static void main(String[] args) {
        Scanner scanner = new Scanner(System.in);
        int n = scanner.nextInt();
        int k = scanner.nextInt();
        
        // 构建邻接表:adjList[i]存储i的所有出边目标
        List<List<Integer>> adjList = new ArrayList<>();
        for (int i = 0; i <= n; i++) {
            adjList.add(new ArrayList<>());  // 为每个节点创建空列表
        }
        
        for (int i = 0; i < k; i++) {
            int s = scanner.nextInt();
            int t = scanner.nextInt();
            adjList.get(s).add(t);  // s -> t
        }
        scanner.close();
        
        boolean[] visited_node = new boolean[n + 1];
        dfs(visited_node, adjList, 1);  // 从1开始DFS
        
        // 检查连通性
        for (int i = 1; i < visited_node.length; i++) {
            if (!visited_node[i]) {
                System.out.print(-1);
                return;
            }
        }
        System.out.print(1);
    }
    
    /**
     * DFS递归实现:深度优先遍历
     */
    public static void dfs(boolean[] visited_node, List<List<Integer>> adjList, int cur) {
        visited_node[cur] = true;  // 标记当前节点
        
        List<Integer> neighbors = adjList.get(cur);  // 获取所有邻接节点
        if (!neighbors.isEmpty()) {
            for (int next : neighbors) {
                if (!visited_node[next]) {  // 未访问才递归
                    dfs(visited_node, adjList, next);
                }
            }
        }
    }
}
java 复制代码
import java.util.*;

public class Main {
    static int sum = 0;  // 未使用
    
    public static void main(String[] args) {
        Scanner scanner = new Scanner(System.in);
        int n = scanner.nextInt();
        int k = scanner.nextInt();
        
        // 构建邻接表
        List<List<Integer>> adjList = new ArrayList<>();
        for (int i = 0; i <= n; i++) {
            adjList.add(new ArrayList<>());
        }
        
        for (int i = 0; i < k; i++) {
            int s = scanner.nextInt();
            int t = scanner.nextInt();
            adjList.get(s).add(t);  // s -> t
        }
        scanner.close();
        
        boolean[] visited_node = new boolean[n + 1];
        if (bfs(visited_node, adjList)) {
            System.out.print(1);
        } else {
            System.out.print(-1);
        }
    }
    
    /**
     * BFS实现(推荐):广度优先遍历
     */
    public static boolean bfs(boolean[] visited_node, List<List<Integer>> adjList) {
        Queue<Integer> queue = new ArrayDeque<>();
        queue.add(1);                    // 从1开始
        visited_node[1] = true;          // 标记起点
        
        while (!queue.isEmpty()) {
            int node = queue.poll();     // 取出当前节点
            
            // 只遍历当前节点的邻接表(O(deg(node)))
            List<Integer> neighbors = adjList.get(node);
            for (int next : neighbors) {
                if (!visited_node[next]) {  // 未访问
                    visited_node[next] = true;
                    queue.add(next);
                }
            }
        }
        
        // 检查所有节点是否可达
        for (int i = 1; i < visited_node.length; i++) {
            if (!visited_node[i]) return false;
        }
        return true;
    }
}
相关推荐
敖正炀1 分钟前
JDBC 批处理内核:addBatch、executeBatch 与驱动 SQL 重写
java
计算机安禾1 分钟前
【c++面向对象编程】第9篇:友元(friend):破坏封装的“特权”——真的有害吗?
java·c++·log4j
LJianK13 分钟前
乐观锁算线程同步吗?
java·开发语言·jvm
_深海凉_6 分钟前
LeetCode热题100-删除链表的倒数第 N 个结点
算法·leetcode·链表
用户298698530146 分钟前
Java 后端处理 Word 修订:批量接受与拒绝的自动化方案
java·后端
WL_Aurora11 分钟前
IDEA + Maven 环境配置超详细教程(图文详解)
java·maven·intellij-idea
小雅痞16 分钟前
[Java][Leetcode middle] 73. 矩阵置零
java·leetcode·矩阵
funnycoffee12327 分钟前
cisco Firepower 4110 9300 FXOS set chassis hostname
java·服务器·数据库
Gofarlic_OMS29 分钟前
CONVERGE CFD许可不够用?自动回收闲置,燃烧仿真随时跑
java·大数据·开发语言·架构·制造
重生之我是Java开发战士33 分钟前
【Java SE】多线程(二):线程安全、synchronized、volatile与wait/notify详解
java·开发语言·安全