
笔记整理:冯科华,浙江大学博士。研究方向为大语言模型、AI for Science
论文链接:https://arxiv.org/pdf/2410.13080
发表会议:ICML 2025
1. 动机
当前的大语言模型(LLMs)虽然展现了强大的推理能力,但它们仍然面临着两大核心挑战:知识鸿沟 和幻觉。这些问题会导致模型产生事实性错误和有缺陷的推理过程,极大地削弱了它们在现实世界应用中的可靠性 。
为了解决这些问题,研究者们尝试利用知识图谱(KGs)中丰富的结构化事实知识来增强LLMs的推理能力 。目前主流的"KG增强LLM"方法主要分为两类:
(1)基于检索(Retrieval-based):这类方法首先通过一个外部检索器从KG中检索相关事实,然后将这些事实作为上下文信息输入给LLM进行推理 。但它们的性能严重依赖于检索器的准确性,并且检索器可能难以泛化到未见过的问题或充分利用图的结构信息 。
(2)基于智能体(Agent-based):这类方法将LLM视为一个智能体,通过与KG进行多轮迭代交互来探索推理路径并找到答案 。尽管有效,但这种方式通常计算成本高昂,延迟严重,且仍然无法完全避免幻觉问题 。例如,一篇研究指出,领先的KG增强方法RoG仍有33%的推理过程存在幻觉错误 。
为了克服现有方法的局限性,并从根本上消除推理过程中的幻觉,本文提出了一种名为**图约束推理(Graph-constrained Reasoning, GCR)**的新框架。GCR旨在将KG中的结构化知识与LLM的非结构化推理能力无缝结合,通过一种创新的解码机制,确保LLM的每一步推理都有据可循,从而实现零幻觉的忠实推理 。
2. 方法
GCR(Graph-constrained Reasoning,图约束推理)框架的核心思想,是将结构化的知识图谱(Knowledge Graph, KG)直接融入大语言模型(LLM)的解码过程,使模型在生成推理路径时受制于图结构,从而确保推理过程的真实性与可解释性。

2.1 从链式思维到图约束推理
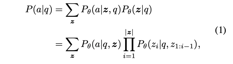
链式思维(CoT)方法通过引导模型自回归地产生一系列推理步骤,以增强LLM的逻辑推理能力。给定一个问题
,CoT的建模公式为:

其中,
为最终答案,
表示推理步骤序列,
为模型参数。该形式本质上依赖于模型生成的一连串token,而这些token在逐步解码过程中会不断积累误差,从而导致"幻觉路径"或错误事实。
为了保证推理路径的真实性,作者提出在LLM推理过程中引入知识图谱结构,使模型的推理链条与图谱中的实体和关系对应。其概率建模形式变为:

其中
表示在知识图谱
上的一条推理路径,
代表在给定问题
时,在图中找到路径的概率。
现有方法主要分为两类:
- 
检索型(Retrieval-based):先从图中检索相关事实,再送入LLM推理。
 - 
代理型(Agent-based):让LLM以智能体形式与图交互、逐步遍历节点。
 
然而,前者依赖高精度的外部检索器,后者代价高且推理延迟大。为此,作者提出全新的图约束推理(GCR) 框架,将KG直接整合到解码中,以低成本实现可信推理。
2.2 知识图Trie构建
知识图谱中蕴含大量结构化事实信息,但LLM的生成机制是基于线性token序列的,无法高效地在图上进行推理。
为解决此结构差异,作者提出将知识图谱转换为一种Trie树结构(前缀树) ,称为 KG-Trie。Trie的每个节点代表路径前缀,从而允许在生成时只输出与现有路径前缀匹配的token,使推理过程始终"行走"在合法图结构内。
给定知识图
和问题
,首先从问题中的实体
出发,在图上以最大跳数
进行广度优先搜索(BFS)以获得所有潜在推理路径:

随后将路径以自然语言模板化,再经由LLM的分词器(Tokenizer)转为token序列:

最后将这些token组织成Trie树:

其中,
即为用于指导LLM生成的图约束结构。
这种索引使得模型能以常数时间复杂度
高效遍历图路径,且可在离线预建或在线生成,既提升了运行速度,也减少了推理时的图遍历负担。
2.3 图约束解码
即便LLM具备强大的推理能力,其输出过程仍可能出现幻觉。为此,GCR在解码时引入KG-Trie作为硬约束,使模型仅能生成存在于图中的推理路径。整体概率形式为:

其中 C_\\mathcalG}(w_{z_i}w_{z_{1:i-1}) 为约束函数:

这保证了生成的每个token序列都对应真实图上的有效路径。
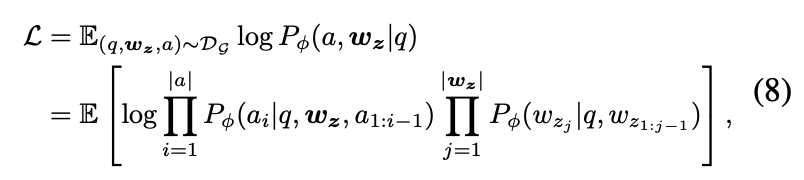
作者进一步在图约束解码任务上微调了一个轻量级的KG专用LLM ,目标是同时生成合理的推理路径
与假设答案
。损失函数定义为:

训练样本由问题-答案对及其在KG中的最短连接路径组成。实验表明,即使仅使用0.5B参数的小模型,通过这种图约束训练,也能在KG推理中取得优异性能。
2.4 图归纳推理
在复杂问题中,可能存在多条有效路径可通向正确答案。为了利用这些多样性并进一步提升鲁棒性,GCR在图约束解码后,引入第二阶段的归纳推理。
(1)多路径生成与融合
首先,通过束搜索(beam search)生成前
条推理路径及对应假设答案:

然后将这些候选路径及答案输入一个通用的大模型(如ChatGPT、GPT-4o),利用其强归纳推理能力进行融合:

其中
为最终答案。
该阶段借鉴了FiD(Fusion-in-Decoder)思想:通用LLM在一次调用中整合多条路径,推理出最具一致性与可信度的结论。
3. 实验
3.1 推理性能与效率

Table 1展示了GCR在WebQSP与CWQ数据集上的主结果。GCR分别在Hit指标上超过第二名方法2.1%与9.1%,在F1上也有显著优势。作者对比了不同类型的基线方法:(1)LLM推理方法(如ChatGPT + Self-Consistency) 虽然表现强,但受限于模型规模和结构化数据推理的困难;(2)图结构方法(如ReaRev) 在单一数据集上表现良好,但跨数据集泛化性不足;(3)检索或代理型方法(如RoG、GNN-RAG、ToG、EffiQA) 能结合KG信息,却仍受效率瓶颈与幻觉影响。相比之下,GCR通过图约束解码直接利用结构化知识,实现了兼具准确与可靠的最优推理性能。

表 2对比了不同方法的平均运行时间、调用次数与token消耗。结果揭示GCR仅需两次LLM调用与231个token即可达到最高Hit,远低于ToG的7000+ token开销,展示了结构约束推理的高效性。论文指出,这种高效来源于KG-Trie的前缀索引机制,使得模型无需重复调用即可遍历多路径推理空间。
3.2 幻觉消除与可信推理

Figure 5展示了不同方法在Faithful Reasoning任务上的比较结果。实验定义,若模型生成的推理路径完全可在KG中匹配到事实三元组,则视为"可信"。结果显示:
- 
无KG约束的LLM只有约48%推理路径可在图中找到。
 - 
Agent或Retriever方法提升至70--85%。
 - 
GCR达到100% Faithful Ratio,即所有推理路径均能在知识图中验证。
 
图中还展示了典型对比示例:GPT-4 self-consistency输出的路径中包含虚构关系(如错误家庭成员链),而GCR生成的链条则严格遵循Freebase中已验证的关系(如 "Justin Bieber → parents → Jeremy Bieber → children → Jaxon Bieber")。因此,可以说明GCR在保持性能的同时彻底消除了推理幻觉,使生成路径与现实知识完全一致。

Table3的消融实验分析不同模块对性能的影响:(1)移除KG专用LLM(仅用通用模型进行解码),F1降至 52.9%;(2)移除通用LLM(仅执行图解码无归纳阶段),虽然精度略升,但召回率显著下降。这说明两阶段结构(图约束解码 + 归纳推理)共同决定GCR的鲁棒与可信性。
3.3 零样本泛化

为了验证方法的可迁移性,作者在Freebase以外的知识图(CSQA、MedQA)上进行零样本测试。如Table 6所示,无需任何再训练,GCR仍显著优于GPT-4o-mini与ChatGPT等强基线,说明其图结构机制具备良好的跨域泛化能力。例如在MedQA(医学知识图)上,GCR的准确率高出GPT-4o-mini约 5%,证明其在医学实体关系场景中也能稳定进行图约束推理。

Figure 4展示了束宽 K 对性能的影响。当 K 从 1 增至 10 时,Hit与F1均持续上升,随后趋于平稳。这说明多路径输入为归纳推理提供了更丰富的语义证据,但过多路径会导致信息冗余。
最终,论文采用 K = 10 作为平衡点,既能保证高覆盖率,又保持推理稳定性。
结论
在这篇论文中,作者提出了一种全新的大语言模型推理范式------图约束推理(Graph-constrained Reasoning, GCR),旨在通过引入结构化的知识图谱(Knowledge Graph, KG),消除幻觉式推理并确保推理的真实性。为弥合LLM中"非结构化推理"与KG中"结构化知识"之间的鸿沟,作者设计了一种KG-Trie结构,以Trie索引的方式对知识图中的路径进行编码。该结构在模型解码阶段充当"约束器",引导专用的KG语言模型仅生成那些确实存在于知识图中的推理路径。通过这样的约束机制,模型不仅能够彻底消除幻觉推理,还显著降低了推理复杂度,从而实现更高效、更准确的推理过程。在此基础上,作者进一步引入了一个强大的通用LLM,用于在多条推理路径上进行归纳式推理,以综合信息并生成最终答案。大量实验结果表明,GCR在可信推理(faithful reasoning)方面表现突出,并且能够在未经过额外微调的新知识图上实现良好的泛化能力。
OpenKG
OpenKG(中文开放知识图谱)旨在推动以中文为核心的知识图谱数据的开放、互联及众包,并促进知识图谱算法、工具及平台的开源开放。

点击阅读原文 ,进入 OpenKG 网站。