一、题目描述
给你二叉树的根节点 root 和一个表示目标和的整数 targetSum 。判断该树中是否存在 根节点到叶子节点 的路径,这条路径上所有节点值相加等于目标和 targetSum 。如果存在,返回 true ;否则,返回 false 。
叶子节点 是指没有子节点的节点。
示例 1:

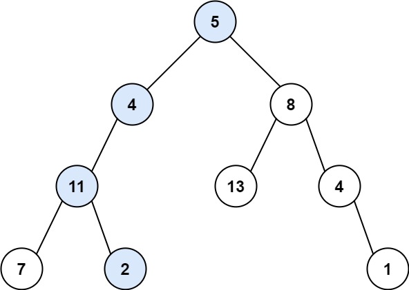
输入:root = [5,4,8,11,null,13,4,7,2,null,null,null,1], targetSum = 22
输出:true
解释:等于目标和的根节点到叶节点路径如上图所示。
示例 2:

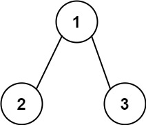
输入:root = [1,2,3], targetSum = 5
输出:false
解释:树中存在两条根节点到叶子节点的路径:
(1 --> 2): 和为 3
(1 --> 3): 和为 4
不存在 sum = 5 的根节点到叶子节点的路径。
示例 3:
输入:root = [], targetSum = 0
输出:false
解释:由于树是空的,所以不存在根节点到叶子节点的路径。
提示:
- 树中节点的数目在范围
[0, 5000]内 -1000 <= Node.val <= 1000-1000 <= targetSum <= 1000
二、解题思路
核心思路:递归遍历 + 路径和累加
利用二叉树的递归遍历特性,从根节点开始逐步累加路径上的节点值,直到到达叶子节点时校验总和是否等于目标和。
具体逻辑:
- 终止条件 :
- 若当前节点为
NULL(空树或遍历到空分支),返回false(无有效路径)。 - 若当前节点是叶子节点(无左右子节点),判断当前节点值是否等于剩余目标和(初始目标和减去路径上所有前置节点值)。
- 若当前节点为
- 递归过程 :
- 非叶子节点时,计算剩余目标和(
targetSum - 当前节点值)。 - 递归遍历左、右子树,只要任一子树返回
true,说明存在符合条件的路径,整体返回true。
- 非叶子节点时,计算剩余目标和(
优势:
- 逻辑简洁,直接贴合题目 "根到叶子路径" 的遍历需求。
- 空间复杂度由递归栈深度决定,无需额外存储路径节点,效率较高。
三、代码实现(C 语言)
cpp
/**
* Definition for a binary tree node.
* struct TreeNode {
* int val;
* struct TreeNode *left;
* struct TreeNode *right;
* };
*/
bool hasPathSum(struct TreeNode* root, int targetSum) {
// 空树直接返回false,无路径可走
if (root == NULL) {
return false;
}
// 叶子节点:校验当前节点值是否等于剩余目标和
if (root->left == NULL && root->right == NULL) {
return root->val == targetSum;
}
// 计算剩余目标和,递归遍历左右子树
int remainingSum = targetSum - root->val;
return hasPathSum(root->left, remainingSum) || hasPathSum(root->right, remainingSum);
}
四、总结
1. 算法特性
- 时间复杂度:O (n),n 为树的节点数,每个节点仅遍历一次。
- 空间复杂度:O (h),h 为树的高度。最坏情况(斜树)为 O (n),平均情况(平衡树)为 O (log n),由递归栈深度决定。
2. 关键注意点
- 必须严格区分 "叶子节点":仅当节点无左右子节点时才判定为叶子,避免将只有一个子节点的节点误判。
- 空树处理:若根节点为
NULL,无论目标和是否为 0,均返回false(题目定义 "根到叶子路径" 不存在)。 - 负数场景兼容:节点值和目标和支持负数,递归过程中直接累加减法,无需额外处理符号问题。
3. 扩展思路
若需避免递归(应对极深的树防止栈溢出),可使用迭代法(栈存储节点和当前路径和),核心逻辑与递归一致,仅将递归栈替换为手动维护的栈结构。