
什么是实验的异质性
1. 如何理解实验结果中的指标变化
当我们看到如下试金石实验指标结果时

在进行分析前,可能我们的第一直觉是这样的

经过异质性分析后,可能会发现实际情况是这样的

2. 概念解析与定义
实验的异质性,一般被称为HTE(即Heterogeneous Treatment Effects),意为实验中同一个treatment对不同的实验样本,得到的策略效果可能是不一样的。另外还有一些重要的概念需要大家理解
| 英文简称 | 英文全称 | 中文译名 | 含义 | 公式 |
|---|---|---|---|---|
| ATE | Average Treatment Effect | 平均处理效应 | 所有实验对象的平均实验效果 | ATE=E[Y(1)−Y(0)]ATE=E[Y(1)−Y(0)] |
| CATE | Conditional Average Treatment Effect | 条件平均处理效应 | 满足一定条件的实验对象的平均实验效果 | CATEX=E[Yx(1)−Yx(0)∣x∈X]CATEX=E[Yx(1)−Yx(0)∣x∈X] |
| ITE | Individual Treatment Effect | 个体处理效应 | 某个实验对象的实验效果 | ITEi=E[Yi(1)−Yi(0)],i=1,2,...NITEi=E[Yi(1)−Yi(0)],i=1,2,...N |
** 此处采用Donald Rubin提出的潜在因果框架(Potencial outcome)来对实验效果进行统计公式上的描述 [1]*
- 由于业内并没有统一的定义,HTE、CATE、ITE概念在一定程度上会有混用的情况,读者需要参考描述以及上下文综合判断名词的含义
3. 异质性分析对于业务的意义
1.了解策略对于不同用户的不同效果,协助挖掘背后的业务逻辑,辅助迭代、进行新一轮的实验
2.尝试寻找策略最优子人群,让整体无效的策略,有机会进行部分先推全;反之依然,让部分负向的策略,减少损失
3.对实验结果建模后预测,对线上提供动态的最优人群支持
根据试金石测算,以某产品线下6月运行中的35个实验为例,仅23% 左右的实验没有在实验人群视角发现异质性
异质性分析方法概述
1. 异质性分析的维度选择
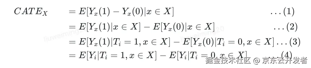
- 对于分流单元的维度X,当X满足以下条件时,可以作为异质性的维度进行后续分析
▪
T⊥X
,即分析维度与实验分流无关 (Unconfoundedness)
▪分析工具化的常见简化方式:对于一个分流ID,选取他在首次进入实验前一天的标签取值
▪简单推导:

**T是随机化的,
T⊥Y,T⊥XT⊥Y,T⊥X
,所以
E[Yi(1)∣x∈X]=E[Yi(1)|Ti=1,x∈X]E[Yi(1)∣x∈X]=E[Yi(1)|Ti=1,x∈X]
,所以(3)成立
- 异质性分析的维度分析bad case举例
假设我们需要分析的实验策略为:根据用户的活跃度标签,低、中、高频用户的优惠券策略分别做了新/老策略迭代
| 分析目标 & 常见错误方法举例 | 不成立原因简述 | 推荐的实验分析方式 |
|---|---|---|
| 不同活跃度人群的策略效果 在实验运行7天后,利用实验用户在第7天的活跃度标签进行结果拆解 | 在实验开始后,用户的活跃度标签受到了策略影响,即T⊥X不成立 | 使用用户在进入实验前1天的活跃度标签值 |
| 分别分析低频策略、中频策略、高频策略对于低、中、高频用户的策略效果 按天取每天用户的活跃度标签,对实验结果进行拆解 | 用户的活跃度标签受到了策略影响,即T⊥X不成立 ·用户所在分组应该是确定的,不随时间改变 | 分别建立3个人群正交实验 |
| 分析高单价类目商品(3C家电)和低单价类目商品(休闲食品)的转化率差异 选取xx类目曝光用户,计算实验周期内对应类目的曝光订单转化率 | 分析目标是面向指标维度的(sku所在类目),而非分流单元的维度(C端实验通常为账号、设备),不适用本文提到的异质性分析方法 | 试金石现已支持指标维度下钻 曝光订单转化率的分子、分母均受到策略影响,需在观测全面后综合判断 |
2. 异质性分析的方法选择
| 研究对象 | 研究方法 | 适用场景 | pros & cons |
|---|---|---|---|
| CATE | 维度下钻 | ·低维 ·分析目标明确 | + 快速简单,便于理解 + 产品化容易 - 维度选择依赖分析师经验 - 交互效应处理困难 |
| 方差分析(ANOVA,ANCOVA) | ·低维 ·分析目标较明确 ·交互效应评估 | + 解释性强,统计学理论背书 + 可以处理低维度交互效应 + 可作为feature selection的候选方法 - 基于线性模型假设 - 高维度交互效应解读困难 | |
| 因果树(Causal Tree) | ·高维 ·分析目标不明确,希望探索 | + 建模方法符合分析直觉 - 模型复杂度不足,无法准确描述复杂的现实世界效果 - 本方法为现代机器学习因果算法的基石之一,有更好的替代方案 | |
| ITE | Meta - Learner | ·高维 ·希望输出ITE ·算法训练 | + 算法常用,可大规模并行,有工程化先例 + 在过往的simulation中X-learner对ITE估计的准确度表现优秀 + X-learner通常使用xgboost模型,对各种feature有较强的处理能力 - 计算量大,耗资源 - 需要调参 - 由于缺乏统计推断结果,一般不会直接产出p-value,存在对于ITE数值准确性的质疑,算法利用结果的rank居多 |
| DML | ·高维 ·希望输出ITE和置信区间 | + 有严谨统计理论证明ITE估计的无偏有效性,可产出样本级的ITE以及置信区间 + 在过往的simulation中Causal Forest DML对ITE估计的准确度表现优秀 + DML模型框架本身具备一定的robust特性,在结合Forest模型后,调参需求低,不容易过拟合,对各种feature有较强的处理能力 - 慢,耗资源,工程化先例少 | |
| ITE + CATE hybrid | ITE Model + Decision Tree Interpreter | ·高维 ·分析目标不明确,希望探索 | + 决策树的建模方法符合分析直觉 + ITE模型可以较好的对复杂的现实世界进行抽象总结 - ITE模型可能会慢 |
** CATE、ITE建模方法的细节可参考Appendix*
CATE下钻探索工具MVP版逻辑介绍
项目地址:xingyun.jd.com/codingRoot/...
模型逻辑:多维度的维度下钻 + Decision Tree Interpreter
快速开始:
ini
from CATE_model.utils.workflow import CateWorkFlow
yaml_path = 'config.yaml' # 按分析要求配置YAML文件
cate_workflow = CateWorkFlow(yaml_path) # 初始化CATE对象
cate_workflow.prepare_analysis() # 初始化ABTestAnalyzer
cate_workflow.execute_cate_auto() # 自动执行所有环节
cate_workflow.df_out.styler # 输出CATE差异最大子人群目标指标统计
项目基本流程

YAML配置方法:第一次可以先根据项目demo修改,并参考YAML配置说明.md
项目MVP功能说明
1.通过填写YAML配置,自动生成实验分析SQL,并执行取数,目前包括
▪自动获取试金石实验分流信息
▪自动获取试金石实验指标信息
▪解析实验CATE研究使用的用户标签表
▪自动生成所有数据源的关联关系
2.为实验CATE研究提供自动化工具,目前包括
▪自动化生成实验目标指标的CATE差异最大化子人群
▪提供调参接口,高级用户可自定义模型参数
▪提供可视化的模型结果输出,高级用户可根据输出调节模型表现
3.为实验的下钻分析提供探索、分析功能,目前包括
▪CATE人群的实验效果统计检验
▪CATE人群的多指标拆解
▪CATE人群的特征描述
实验异质性分析show case
针对近期某频道重点改版实验,此项目整体实验指标为负向不显著,但通过运行分析工具后发现,有两类子人群分别具有正向和负向的显著效果
| 实验HTE人群统计 |
|---|
![]() |
对于这些子人群,我们发现他们在业务漏斗上的变化并不一样,那么下次对于频道进行迭代时,产品经理可以整理有针对性的选择对负向人群进行针对性的优化
| 人群编号 | 用户画像总结 | 频道uv | 点击uv | 加车uv | 转化订单数 |
|---|---|---|---|---|---|
| 3 | 年轻人,低活跃 | 1.0% | 2.2% | 2.6% | 5.8% |
| 38 | 非年轻人,高线城市,plus用户 | -2.2% | -2.2% | -3.1% | -5.7% |
未来展望
1.自定义分流表
2.自定义画像表 & 经海路画像表
3.CATE模型迭代
4.通用维度配置模版 & 业务场景模版
5.图形化交互界面,简化输入配置
Appendix & 参考资料
****【1】因果分析框架 & Donald Rubin的Potencial Outcome
•Potencial Outcome
◦设
TiTi
代表第i个样本是否收到了处理(treatment,策略影响),是为1,否为0
◦
YiYi
代表个体i的结果,另外记
{Yi(1),Yi(0)}{Yi(1),Yi(0)}
为个体i接受处理、对照的潜在结果
◦每个个体通常只会有1个状态,个体因果作用无法直接观测,我们只有
Yi=Ti∗Yi(1)+(1−Ti)∗Yi(0)Yi=Ti∗Yi(1)+(1−Ti)∗Yi(0)
◦在随机化实验的场景下,我们可以得到

其中最重要的逻辑为:
T是随机化的,
T⊥YT⊥Y
,所以
E[Yi(1)]=E[Yi(1)|Ti=1]E[Yi(1)]=E[Yi(1)|Ti=1]
,所以(3)成立
•因果推断(一):因果推断两大框架及因果效应:zhuanlan.zhihu.com/p/652174282
•因果推断简介之二:Rubin Causal Model (RCM) 和随机化试验:cosx.org/2012/03/cau...
【2】ANOVA与CATE的交互效应分析
当需要进行异质性分析的维度为X时,我们可以通过构建下列回归方程去描述X在实验中是否存在显著的异质性,当
β3β3
对应的F-test显著时,我们就可以认为实验在维度X上存在显著的异质性
Y=β0+β1∗T+β2∗X+β3∗X∗TY=β0+β1∗T+β2∗X+β3∗X∗T
当
X∈{0,1}X∈{0,1}
时,我们可以用下图来进行异质性的理解

【3】CATE & ITE估计
idea1:对于每个参与实验的对象i,如果能得到
Yi(1)Yi(1)
和
Yi(0)Yi(0)
的合理估计,那么ITE就可求了 idea2:对于实验人群X,如果能找到一种观测方式,求得
E[Yx(1)−Yx(0)∣x∈X]E[Yx(1)−Yx(0)∣x∈X]
,那么CATE就有了
•Meta Learner的极简介绍
◦S-Learner
▪stage1: 利用模型估计
μ(x,t)=E[Y∣X=x,T=t]μ(x,t)=E[Y∣X=x,T=t]
▪stage2: 定义CATE结果如下
τ^(x)=μ^(x,T=1)−μ^(x,T=0)τ^(x)=μ^(x,T=1)−μ^(x,T=0)
◦T-Learner
▪sta
