参考链接:参考链接
投影变换是将图像从一个视角变向另一个视角,实现不同视角之间的图像变换。例如将一个正方形经过透视变换,转为一个梯形。
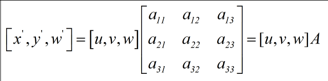
透视变换的通用公式为:
其中(u,v)是原始图片(即需要变换的图片)中的像素坐标。这里的 [u, v, w] 是原始点的齐次坐标 。在图像处理中,当我们有一个二维点 (u, v) 时,通常会将其表示为齐次坐标**[u, v, 1]** 。也就是说,在输入时,我们默认了 w=1。
原始图片中的像素点坐标(u,v)经过变换后,对应变换后的图片中的坐标(x,y),其中。
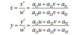
即:
因为默认w=1,所以上面的公式可以写成
所以,如果已知几个点,就可以求取变换矩阵A。反之,有了变换矩阵A后,也就能得到变换后的图片。
关键在于如何获得变换矩阵A。只要提供变换前后图像对应的四对点,且这四对点中的任意三个点都不共线(充要条件),就能求出该变换矩阵A。
求取过程这里不赘述,有兴趣可以看参考链接。不看也没事,只要大概懂原理就行。求取矩阵A的函数在各个图像处理库中都有封装。毕竟我们工科只要会用数学工具,解决工程问题就行,推导数学公式,如果不是用于发文章,还是让数学专业的人来干好了,哈哈哈。