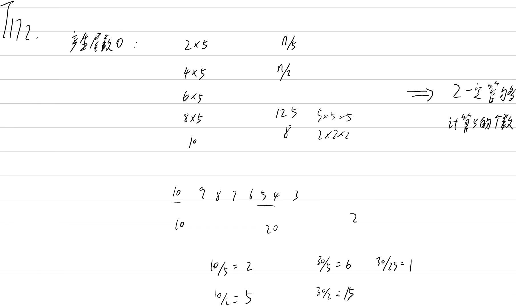
172. 阶乘后的零

自己做

解:统计5
java
class Solution {
public int trailingZeroes(int n) {
int A = 0;
int i = 5;
while(i <= n){
A += n / i;
i *= 5;
}
return A;
}
}
