线性代数
第六章:正交性与最小二乘法
本章我们将为向量空间引入"角度"和"长度"的概念,并利用它们来解决实际问题。
核心知识点讲解
1. 正交性

2. 正交投影

3. 格拉姆-施密特正交化过程

4. 最小二乘法

二、典型例题与详解
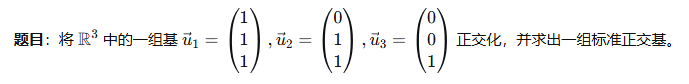
【例题1】:格拉姆-施密特正交化过程



【例题2】:最小二乘法求最佳拟合直线




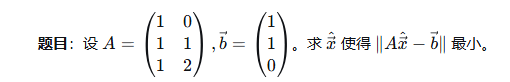
【例题3】:利用正交性求解最小二乘问题


第六章与全书总结
至此,已经系统地学完了线性代数的核心内容:

这些知识点环环相扣,构成了一个严密而优美的理论体系,并且是机器学习、计算机图形学、工程优化等领域的数学基础。