目录
前言
闲来无事温习一下线性代数,作为学习笔记在博客中记录,本篇文章内容为开篇内容,主要认识一下矩阵和矩阵的计算,后续将持续更新学习内容,欢迎有兴趣的朋友一起学习共同进步!~~~。
矩阵基础
矩阵的定义
在数学中,矩阵是一个按照矩形阵列排列的复数或实数集合。更简单地说,矩阵就是一个由行和列组成的数字表格。它通常用大写粗体字母(如 A、B)来表示。由mxn个数按一定的次序排成的m行n列的矩形数表称为mxn的矩阵,简称矩阵。
矩阵的维度
矩阵的大小由它的行数和列数决定,我们称之为维度或阶,如果一个矩阵有 m 行和 n 列,我们就称它为 m×n 矩阵(读作"m 乘 n矩阵")。
矩阵的表示法
一个矩阵通常用圆括号或方括号将数字阵列括起来。手写的时候一定用圆括弧,印刷体的时候用一般会用中括弧。通常用大写粗体字母(如 A 、B )来表示。例如矩阵 A 是一个 m×n矩阵(m行n列),如下所示:
元素为实数的称为实矩阵,实际上只讨论实矩阵。
如果矩阵很大,可使用矩阵简单的表示方法:
矩阵的元素
矩阵中的每个数字称为矩阵的元素(或项)。我们通常使用矩阵名称的小写字母,并加上两个下标来表示元素的位置。
-
第一个下标表示行号。
-
第二个下标表示列号。
例如,对于矩阵 A ,元素 aij 表示位于第 i 行、第 j 列的元素。
-
=1(第1行第1列)
-
=2(第1行第2列)
-
=6(第2行第3列)
因此,一个一般的 m×n 矩阵可以写成
特殊的矩阵
行矩阵
只有一行的矩阵(1×n矩阵)。例如 [1 2 3],写为:
列矩阵
只有一列的矩阵(m×1 矩阵)。例如 ,写为:
方阵
当m=n时,即矩阵的行数与列数相同时,称矩阵为方阵。
主对角线
只有方阵才有主对角线 。从矩阵左上角到右下角,由所有行下标 = 列下标的元素组成的对角线。
斜对角线
从矩阵的右上角 (第 1 行第 n 列)延伸到左下角 (第 n 行第 1 列)。斜对角线上的元素位置满足:行下标 + 列下标 = n + 1。即:。
单位阵
它的主对角线上的元素全为 1 ,其余所有元素全为 0 ,就得到又一个特殊的矩阵叫做单位阵,,记为 或
。
单位阵性质
对任意可乘矩阵 A,则有:
转置不变:
幂等性: (任意正整数 k)
数量阵
它的主对角线上的元素全为 k,其余所有元素全为 0,就得到又一个特殊的矩阵叫做数量阵
上三角矩阵
主对角线以下的元素全为零的方阵,对于一个矩阵 U,如果当 i>j(即行号大于列号,也就是主对角线以下的元素)时,有,那么 U就是一个上三角矩阵。

下三角矩阵
对于一个矩阵 L,如果当 i<j(即行号小于列号,也就是主对角线以上的元素)时,有 ,那么 LL就是一个下三角矩阵

零矩阵
所有元素都是0的矩阵,零矩阵用大写的O表示。
梯形阵
设为非零矩阵,若非零行(即至少有一个非零元素的行)全在零行的上面,A中各非零行中第一个(最后一个)非零元素前(后)面零元素的个数随行数增大而增多(减少),则称为上(下)梯形矩阵。简称为上(下)梯形阵。


矩阵的运算
矩阵相等
两个矩阵 A 和 B 称为相等,记作 A = B,当且仅当它们满足以下两个条件:
维度相同:矩阵 A 和 B 必须有相同的行数和相同的列数(即同为 m×n 矩阵)。
对应元素相等 :对于所有的 i 和 j (1≤i≤m,1≤j≤n),矩阵 A 的第 i 行第 j 列的元素等于矩阵 B 的第 i 行第 j 列的元素
。
换句话说,两个矩阵相等意味着它们作为数学对象是完全一样的,没有任何区别。
矩阵加法
设 和
是两个 m×n 矩阵(即行数、列数相同)。它们的和 A+B 是一个 m×n 矩阵
,其中 C 的每个元素等于 A 和 B 对应位置元素之和:
例如
结果为:
注意
-
只有同型矩阵才能相加。如果两个矩阵的行数或列数不同,则它们的和没有定义。
-
加法运算可以推广到多个矩阵相加,只要它们都是同型的。
性质
-
交换律:A+B=B+A。
-
结合律:(A+B)+C=A+(B+C)。
-
存在零矩阵:存在一个 m×n 的零矩阵 0(所有元素为零),使得 A+0=A。
-
存在负矩阵:对于每个矩阵 A,存在唯一的矩阵 −A(称为 A 的负矩阵),其元素是 A 对应元素的相反数,满足 A+(−A)=0。
矩阵减法
利用负矩阵,可以定义矩阵减法 :
矩阵乘法
矩阵乘法是线性代数中最核心的操作之一,但它的计算规则和意义可能与大家熟悉的数的乘法有很大不同。矩阵乘法并不是两个同维数的矩阵对应元素相乘。我们通常说的矩阵乘法是指一般矩阵乘积(也称为点积或内积相乘)。
可乘性
-
并不是任意两个矩阵都能相乘。
-
设矩阵 A 的尺寸为 m×n(m 行 n 列),矩阵 B 的尺寸为 p×q。只有当 A 的列数等于 B 的行数时,即 n=p,A 和 B 才能相乘。
计算规则:"左行乘右列"
假设我们计算 C=A×B,结果矩阵 C 的尺寸是 m×q(A 的行数,B 的列数)。如何求 C中第 i 行第 j 列的元素。例如我有两个矩阵A和B相乘,那么结果如下:
取 A 的第 i 行的每一个元素,取 B 的第 j 列的每一个元素,将它们对应相乘,然后求和。如果换成公式就是:,其中 n 是 A 的列数(也是 B 的行数) 。
设矩阵 A 和 B 如下:
计算 C=A×B:
-
第一行第一列 :
=1×5+2×7=5+14=19
-
第一行第二列 :
=1×6+2×8=6+16=22
-
第二行第一列 :
=3×5+4×7=15+28=43
-
第二行第二列 :
=3×6+4×8=18+32=50
结果为:
重要性质(与数的乘法不同)
矩阵乘法有很多违反直觉的性质,这是初学者容易出错的地方。
-
不满足交换律:通常 A×B = B×A。有时 AXB 有意义,但 BXA可能根本不能乘(因为维度对不上)。即使都能乘,结果也往往不同。如下所示
-
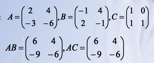
**不满足数乘法定律:**例如 AB=AC,但是B和C不一定相等。如下所示
-
满足结合律:(AB)C=A(BC),前提是维度允许。
-
满足分配律:A(B+C)=AB+AC。
-
零因子存在:两个非零矩阵相乘,结果可能是零矩阵,如下所示
方阵的幂
只有方阵 才能算幂,设 A 是 n 阶方阵,k 是正整数则有
定律
一般来说 ,因为矩阵乘法不满足交换律。但如果 AB=BA,等式成立。
转置:
转置矩阵
将一个 m×n 的矩阵 A 的行和列互换,得到的 n×m 的新矩阵称为 A 的转置矩阵,记作 (或 A′)。
元素关系 :如果 ,那么 B 中第 i 行第 j 列的元素等于 A 中第 j 行第 i 列的元素。 即

基本性质
双重转置等于原矩阵:
和的转置等于转置的和:
数乘的转置:
乘积的转置(反转顺序):
推导一下,设
,根据矩阵的可乘性质那么
,所以矩阵A和B的转置矩阵为:
,那么就有
,我们可以发现矩阵C的转置就是nxm,和
的nxm相同。然后只要明证矩阵的对应元素相同即可,即证明
即可,因为
,
,所以对应元素也会相同。
对称矩阵
如果一个矩阵,它的转置和它本身相等,我们就把这个矩阵叫做对称阵。所以对阵矩阵一定是方阵。即:,对于矩阵元素有:
。
对称矩阵意味着,以主对角线为轴,两边元素完全一样。所以对称矩阵的和、数乘仍然对称。
======================================
喜欢请点赞收藏加关注~~~ 好文分享不迷路~~~
=======================================


