求导的数学定义
定义
求导是微积分的核心概念,描述函数在某点的瞬时变化率。其数学定义为: 若函数y=f(x) 在点x0的某邻域内有定义,且极限

存在,则称f(x) 在x0处可导,f′(x0) 为导数。
几何意义
导数的几何意义是曲线在点(x 0,f(x 0)) 处切线的斜率。
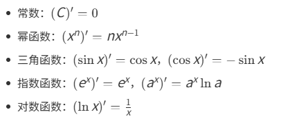
基本求导公式
常见函数的导数公式包括:

实际应用
导数在物理(如速度、加速度)、经济学(如边际成本)等领域有广泛应用。
PyTorch自动求导
PyTorch的自动求导(Autograd)是其核心功能,能够自动计算张量的梯度,极大简化了神经网络训练中的反向传播过程。
🔧 核心机制
动态计算图:PyTorch在运行时实时构建计算图,记录所有张量操作历史,支持灵活调试和动态模型结构
requires_grad属性:张量的关键属性,当设置为True时,PyTorch会追踪该张量的所有操作以便后续计算梯度。默认情况下为False,即不计算梯度。梯度计算流程:
clike
创建可求导张量:x = torch.tensor([1.0], requires_grad=True)
执行前向计算操作
调用backward()进行反向传播
梯度自动存储在.grad属性中
💡 实际应用示例
clike
import torch
# 创建需要计算梯度的张量
x = torch.tensor(3.0, requires_grad=True)
# 前向计算
y = torch.pow(x, 2) # y = x²
# 反向传播求导
y.backward()
# 查看梯度值
print(x.grad) # 输出:tensor(6.)
这个例子中,当x=3时,y=x²的导数为2x=6,与计算结果一致
🎯 高级功能
梯度控制:通过设置requires_grad=False来冻结特定参数,这在多任务学习或迁移学习中非常实用。
梯度累积与清零:多次调用backward()时梯度会累积,需要在参数更新前手动清零:tensor.grad.zero_()^。
✨ 主要优势
- 代码简化:无需手动推导复杂的梯度公式^
- 开发加速:减少代码量和潜在错误^
- 灵活性:动态图特性适合复杂模型如循环神经网络^
重要函数
PyTorch自动求导主要通过torch.autograd包实现,其中最重要的函数是backward()和grad()。
核心函数简介
backward()函数
- 标量输出:当输出为单个数值时,直接调用
y.backward()即可自动计算梯度 - 非标量输出:输出为向量或矩阵时,需传入与输出同形的梯度张量,即
y.backward(gradient=torch.tensor(...)) - 梯度累积:默认情况下,多次调用
backward()梯度会累加,需要时可用retain_graph=True保留计算图
grad()函数
用于计算指定输出相对于输入的梯度总和,可精确控制梯度计算过程。
关键概念与属性
.requires_grad属性
张量的关键属性,设置为True时PyTorch会追踪所有操作以便后续梯度计算。
梯度控制方法
.detach():将张量从计算图中分离,不再追踪梯度torch.no_grad():上下文管理器,内部所有计算都不需要梯度,常用于模型评估。
计算图机制
PyTorch通过动态构建有向无环图记录所有操作历史,每个张量都有grad_fn属性指向创建它的操作。
使用建议
现在可以尝试创建一个简单的张量,设置requires_grad=True,然后调用backward()函数来实际体验自动求导过程。
grad()函数
函数基本语法
clike
torch.autograd.grad(
outputs, # 需要求导的函数输出
inputs, # 需要计算梯度的输入
grad_outputs=None, # 各输出的梯度权重
retain_graph=None, # 是否保留计算图
create_graph=False, # 是否创建导数计算图
only_inputs=True, # 是否只计算指定输入的梯度
allow_unused=False # 是否允许输入不参与计算
)
核心参数详解
outputs:需要求导的张量,可以是标量或向量
inputs:需要计算梯度的变量列表,函数会计算 outputs 对每个 inputs 中元素的梯度
grad_outputs:当 outputs 为向量时,需提供与 outputs 同形的张量作为"向量-Jacobian乘积"中的向量相当于链式法则中的外部梯度
create_graph:设置为 True 时可以计算高阶导数
backward()函数
基本语法
clike
tensor.backward(gradient=None, retain_graph=None, create_graph=False)
核心参数详解
gradient:
当输出为非标量时,需传入与输出同形的张量作为外部梯度
相当于链式法则中的上游梯度
retain_graph:
默认False,反向传播后释放计算图内存
设为True可保留计算图用于多次反向传播
create_graph:
默认False,设为True可创建导数计算图,用于高阶导数计算
ps: 没学懂,上面都是网上找的东西,留作存档,放在未来在看