连续性
连续的概念
- 函数在一点处连续
设函数f(x)在点x0的某邻域内有定义,并且limx→x0f(x)=f(x0),则称函数f(x)在点x0处连续.设函数f(x)在点x0的某右邻域内有定义,并且limx→x0+f(x)=f(x0),则称函数f(x)在点x0处右连续.类似地,我们还可以定义左连续.【注】函数f(x)在点x0处连续的充要条件是它在该点左连续并且右连续. \begin{aligned} &\text{设函数}f(x)\text{在点}x_0\text{的某邻域内有定义,并且}\lim_{x \to x_0}f(x)=f(x_0)\text{,则称函数}f(x)\text{在} \\ &\text{点}x_0\text{处连续.} \\ & \\ &\text{设函数}f(x)\text{在点}x_0\text{的某右邻域内有定义,并且}\lim_{x \to x_0^+}f(x)=f(x_0)\text{,则称函数} \\ &f(x)\text{在点}x_0\text{处右连续.类似地,我们还可以定义左连续.} \\ & \\ &\text{【注】函数}f(x)\text{在点}x_0\text{处连续的充要条件是它在该点左连续并且右连续.} \end{aligned} 设函数f(x)在点x0的某邻域内有定义,并且x→x0limf(x)=f(x0),则称函数f(x)在点x0处连续.设函数f(x)在点x0的某右邻域内有定义,并且x→x0+limf(x)=f(x0),则称函数f(x)在点x0处右连续.类似地,我们还可以定义左连续.【注】函数f(x)在点x0处连续的充要条件是它在该点左连续并且右连续. - 区间连续
如果f(x)在(a,b)内每一点都连续,则称函数f(x)在开区间(a,b)内连续.如果f(x)在开区间(a,b)内连续,并且f(x)在x=a处右连续,在x=b处左连续,则称函数f(x)在闭区间[a,b]上连续.类似地,我们可以得到函数在区间[a,b)或(a,b]内连续的定义. \begin{aligned} &\text{如果}f(x)\text{在}(a,b)\text{内每一点都连续,则称函数}f(x)\text{在开区间}(a,b)\text{内连续.} \\ & \\ &\text{如果}f(x)\text{在开区间}(a,b)\text{内连续,并且}f(x)\text{在}x=a\text{处右连续,在}x=b\text{处左连} \\ &\text{续,则称函数}f(x)\text{在闭区间}[a,b]\text{上连续.} \\ & \\ &\text{类似地,我们可以得到函数在区间}[a,b)\text{或}(a,b]\text{内连续的定义.} \end{aligned} 如果f(x)在(a,b)内每一点都连续,则称函数f(x)在开区间(a,b)内连续.如果f(x)在开区间(a,b)内连续,并且f(x)在x=a处右连续,在x=b处左连续,则称函数f(x)在闭区间[a,b]上连续.类似地,我们可以得到函数在区间[a,b)或(a,b]内连续的定义.
连续的性质
- 四则运算的连续性
设f(x)、g(x)均在某区间I上连续,则函数k1f(x)+k2g(x) (k1,k2∈R)、f(x)g(x)、f(x)g(x) (g(x)≠0)都在I上连续. \begin{aligned} &\text{设}f(x)、g(x)\text{均在某区间}I\text{上连续,则函数}k_1f(x)+k_2g(x)\ (k_1,k_2 \in \mathbb{R})、 \\ &f(x)g(x)、\frac{f(x)}{g(x)}\ (g(x) \neq 0)\text{都在}I\text{上连续.} \end{aligned} 设f(x)、g(x)均在某区间I上连续,则函数k1f(x)+k2g(x) (k1,k2∈R)、f(x)g(x)、g(x)f(x) (g(x)=0)都在I上连续. - 复合函数的连续性
设y=f(u), u∈D, u=g(x), x∈I均在其定义域上连续,且有g(I)⊆D,则y=f(g(x))是I上的连续函数. \begin{aligned} &\text{设}y = f(u),\ u \in D,\ u = g(x),\ x \in I\text{均在其定义域上连续,且有}g(I) \subseteq D,\text{则} \\ &y = f(g(x))\text{是}I\text{上的连续函数.} \end{aligned} 设y=f(u), u∈D, u=g(x), x∈I均在其定义域上连续,且有g(I)⊆D,则y=f(g(x))是I上的连续函数. - 反函数的连续性
设y=f(x)是I上的连续函数,y=f−1(x), x∈f(I)是它的反函数,则y=f−1(x)是f(I)上的连续函数. \begin{aligned} &\text{设}y = f(x)\text{是}I\text{上的连续函数,}y = f^{-1}(x),\ x \in f(I)\text{是它的反函数,则}y = f^{-1}(x) \\ &\text{是}f(I)\text{上的连续函数.} \end{aligned} 设y=f(x)是I上的连续函数,y=f−1(x), x∈f(I)是它的反函数,则y=f−1(x)是f(I)上的连续函数. - 初等函数的连续性
定理:一切初等函数都在其定义域内连续.【注】正是由于初等函数在其定义域内都是连续的,我们在计算初等函数f(x)在其定义域内某点x0处的极限limx→x0f(x)时,才能直接将x=x0代入:limx→x0f(x)=f(x0). \begin{aligned} &\text{定理:一切初等函数都在其定义域内连续.} \\ & \\ &\text{【注】正是由于初等函数在其定义域内都是连续的,我们在计算初等函数}f(x)\text{在其定} \\ &\text{义域内某点}x_0\text{处的极限}\lim_{x \to x_0}f(x)\text{时,才能直接将}x = x_0\text{代入:}\lim_{x \to x_0}f(x)=f(x_0). \end{aligned} 定理:一切初等函数都在其定义域内连续.【注】正是由于初等函数在其定义域内都是连续的,我们在计算初等函数f(x)在其定义域内某点x0处的极限x→x0limf(x)时,才能直接将x=x0代入:x→x0limf(x)=f(x0).
间断点的定义
假设函数f(x)在点x0的某去心邻域内有定义,并且函数f(x)在点x0处不连续,则称点x0为函数f(x)的间断点. \begin{aligned} &\text{假设函数}f(x)\text{在点}x_0\text{的某去心邻域内有定义,并且函数}f(x)\text{在点}x_0\text{处不连续,} \\ &\text{则称点}x_0\text{为函数}f(x)\text{的间断点.} \end{aligned} 假设函数f(x)在点x0的某去心邻域内有定义,并且函数f(x)在点x0处不连续,则称点x0为函数f(x)的间断点.
间断点的分类
假设点x0为函数f(x)的间断点,若limx→x0+f(x)与limx→x0−f(x)均存在,则称点x0为函数f(x)的第一类间断点;若limx→x0+f(x)与limx→x0−f(x)至少有一个不存在,则称点x0为函数f(x)的第二类间断点.在第一类间断点中,如果limx→x0+f(x)=limx→x0−f(x),则称点x0为函数f(x)的可去间断点;如果limx→x0+f(x)≠limx→x0−f(x),则称点x0为函数f(x)的跳跃间断点. \begin{aligned} &\text{假设点}x_0\text{为函数}f(x)\text{的间断点,若}\lim_{x \to x_0^+}f(x)\text{与}\lim_{x \to x_0^-}f(x)\text{均存在,则称点}x_0\text{为函} \\ &\text{数}f(x)\text{的第一类间断点;若}\lim_{x \to x_0^+}f(x)\text{与}\lim_{x \to x_0^-}f(x)\text{至少有一个不存在,则称点}x_0\text{为函} \\ &\text{数}f(x)\text{的第二类间断点.} \\ & \\ &\text{在第一类间断点中,如果}\lim_{x \to x_0^+}f(x) = \lim_{x \to x_0^-}f(x)\text{,则称点}x_0\text{为函数}f(x)\text{的可去间} \\ &\text{断点;如果}\lim_{x \to x_0^+}f(x) \neq \lim_{x \to x_0^-}f(x)\text{,则称点}x_0\text{为函数}f(x)\text{的跳跃间断点.} \end{aligned} 假设点x0为函数f(x)的间断点,若x→x0+limf(x)与x→x0−limf(x)均存在,则称点x0为函数f(x)的第一类间断点;若x→x0+limf(x)与x→x0−limf(x)至少有一个不存在,则称点x0为函数f(x)的第二类间断点.在第一类间断点中,如果x→x0+limf(x)=x→x0−limf(x),则称点x0为函数f(x)的可去间断点;如果x→x0+limf(x)=x→x0−limf(x),则称点x0为函数f(x)的跳跃间断点.
在第二类间断点中,如果limx→x0+f(x)与limx→x0−f(x)至少有一个为∞,则称点x0为函数f(x)的无穷间断点;如果limx→x0+f(x)与limx→x0−f(x)均不为∞,则称点x0为函数f(x)的振荡间断点.【注】由定义可知,要判断函数间断点的类型,关键是计算出左右极限limx→x0−f(x)与limx→x0+f(x). \begin{aligned} &\text{在第二类间断点中,如果}\lim_{x \to x_0^+}f(x)\text{与}\lim_{x \to x_0^-}f(x)\text{至少有一个为}\infty\text{,则称点}x_0\text{为函} \\ &\text{数}f(x)\text{的无穷间断点;如果}\lim_{x \to x_0^+}f(x)\text{与}\lim_{x \to x_0^-}f(x)\text{均不为}\infty\text{,则称点}x_0\text{为函数}f(x)\text{的} \\ &\text{振荡间断点.} \\ & \\ &\text{【注】由定义可知,要判断函数间断点的类型,关键是计算出左右极限}\lim_{x \to x_0^-}f(x)\text{与} \\ &\lim_{x \to x_0^+}f(x). \end{aligned} 在第二类间断点中,如果x→x0+limf(x)与x→x0−limf(x)至少有一个为∞,则称点x0为函数f(x)的无穷间断点;如果x→x0+limf(x)与x→x0−limf(x)均不为∞,则称点x0为函数f(x)的振荡间断点.【注】由定义可知,要判断函数间断点的类型,关键是计算出左右极限x→x0−limf(x)与x→x0+limf(x).
渐近线
(1)垂直渐近线(x=a)如果有limx→a+f(x)=∞或者limx→a−f(x)=∞,则称x=a为函数的垂直渐近线.(2)水平渐近线(y=a)如果有limx→+∞f(x)=a或limx→−∞f(x)=a,则称y=a为函数的水平渐近线.(3)斜渐近线(y=kx+b)如果有limx→+∞[f(x)−(kx+b)]=0 (k≠0)或limx→−∞[f(x)−(kx+b)]=0 (k≠0),则称y=kx+b为函数的斜渐近线. \begin{aligned} &(1)\text{垂直渐近线}(x=a) \\ &\text{如果有}\lim_{x \to a^+}f(x)=\infty\text{或者}\lim_{x \to a^-}f(x)=\infty\text{,则称}x=a\text{为函数的垂直渐近线.} \\ & \\ &(2)\text{水平渐近线}(y=a) \\ &\text{如果有}\lim_{x \to +\infty}f(x)=a\text{或}\lim_{x \to -\infty}f(x)=a\text{,则称}y=a\text{为函数的水平渐近线.} \\ & \\ &(3)\text{斜渐近线}(y=kx+b) \\ &\text{如果有}\lim_{x \to +\infty}\left[ f(x)-(kx+b) \right]=0\ (k \neq 0)\text{或}\lim_{x \to -\infty}\left[ f(x)-(kx+b) \right]=0\ (k \neq 0)\text{,则称} \\ &y=kx+b\text{为函数的斜渐近线.} \end{aligned} (1)垂直渐近线(x=a)如果有x→a+limf(x)=∞或者x→a−limf(x)=∞,则称x=a为函数的垂直渐近线.(2)水平渐近线(y=a)如果有x→+∞limf(x)=a或x→−∞limf(x)=a,则称y=a为函数的水平渐近线.(3)斜渐近线(y=kx+b)如果有x→+∞lim[f(x)−(kx+b)]=0 (k=0)或x→−∞lim[f(x)−(kx+b)]=0 (k=0),则称y=kx+b为函数的斜渐近线.
导数与微分
导数
设函数f(x)在x0的某邻域内有定义,给自变量x在x0处加上增量Δx,相应地得到因变量y的增量Δy=f(x0+Δx)−f(x0).如果极限limΔx→0ΔyΔx=limΔx→0f(x0+Δx)−f(x0)Δx存在,则称函数在x0处可导,该极限值称为函数在x0处的导数,记作f′(x0),y′(x0)或dydx∣x=x0.导数的定义式还可以写成f′(x0)=limx→x0f(x)−f(x0)x−x0. \begin{aligned} &\text{设函数}f(x)\text{在}x_0\text{的某邻域内有定义,给自变量}x\text{在}x_0\text{处加上增量}\Delta x\text{,相应地得} \\ &\text{到因变量}y\text{的增量}\Delta y = f(x_0+\Delta x)-f(x_0)\text{.如果极限} \\ &\lim_{\Delta x \to 0}\frac{\Delta y}{\Delta x} = \lim_{\Delta x \to 0}\frac{f(x_0+\Delta x)-f(x_0)}{\Delta x}\text{存在,则称函数在}x_0\text{处可导,该极限值称为函数在} \\ &x_0\text{处的导数,记作}f'(x_0),y'(x_0)\text{或}\left. \frac{dy}{dx} \right|{x=x_0}. \\ & \\ &\text{导数的定义式还可以写成}f'(x_0) = \lim{x \to x_0}\frac{f(x)-f(x_0)}{x-x_0}. \end{aligned} 设函数f(x)在x0的某邻域内有定义,给自变量x在x0处加上增量Δx,相应地得到因变量y的增量Δy=f(x0+Δx)−f(x0).如果极限Δx→0limΔxΔy=Δx→0limΔxf(x0+Δx)−f(x0)存在,则称函数在x0处可导,该极限值称为函数在x0处的导数,记作f′(x0),y′(x0)或dxdy x=x0.导数的定义式还可以写成f′(x0)=x→x0limx−x0f(x)−f(x0).
微分
设函数y=f(x)在x0的某邻域内有定义,当自变量x在x0处有增量Δx时,如果因变量y的增量Δy=f(x0+Δx)−f(x0)可以表示为Δy=AΔx+o(Δx), Δx→0其中A为只与x0有关而与Δx无关的常数,o(Δx)表示Δx的高阶无穷小量,则称f(x)在x0处可微,并称AΔx为f(x)在x0处的微分,记作dy∣x=x0或df(x)∣x=x0,即dy∣x=x0=df(x)∣x=x0=AΔx. \begin{aligned} &\text{设函数}y = f(x)\text{在}x_0\text{的某邻域内有定义,当自变量}x\text{在}x_0\text{处有增量}\Delta x\text{时,如果} \\ &\text{因变量}y\text{的增量}\Delta y = f(x_0+\Delta x)-f(x_0)\text{可以表示为} \\ &\quad\quad\quad\quad\quad\Delta y = A\Delta x + o(\Delta x),\ \Delta x \to 0 \\ &\text{其中}A\text{为只与}x_0\text{有关而与}\Delta x\text{无关的常数,}o(\Delta x)\text{表示}\Delta x\text{的高阶无穷小量,则称}f(x) \\ &\text{在}x_0\text{处可微,并称}A\Delta x\text{为}f(x)\text{在}x_0\text{处的微分,记作}\left. dy \right|{x=x_0}\text{或}\left. df(x) \right|{x=x_0}\text{,即} \\ &\quad\quad\quad\quad\left. dy \right|{x=x_0} = \left. df(x) \right|{x=x_0} = A\Delta x. \end{aligned} 设函数y=f(x)在x0的某邻域内有定义,当自变量x在x0处有增量Δx时,如果因变量y的增量Δy=f(x0+Δx)−f(x0)可以表示为Δy=AΔx+o(Δx), Δx→0其中A为只与x0有关而与Δx无关的常数,o(Δx)表示Δx的高阶无穷小量,则称f(x)在x0处可微,并称AΔx为f(x)在x0处的微分,记作dy∣x=x0或df(x)∣x=x0,即dy∣x=x0=df(x)∣x=x0=AΔx.
可导与可微的关系
定理:设函数f(x)在点x0的某邻域内有定义,那么函数f(x)在点x0处可微与函数f(x)在点x0处可导是等价的,也就是说:可微必可导,可导必可微.进一步地,我们还可以得到f(x)在点x0处的微分dy∣x=x0=f′(x0)Δx. \begin{aligned} &\text{定理:设函数}f(x)\text{在点}x_0\text{的某邻域内有定义,那么函数}f(x)\text{在点}x_0\text{处可微与函数} \\ &f(x)\text{在点}x_0\text{处可导是等价的,也就是说:可微必可导,可导必可微.进一步地,我们还} \\ &\text{可以得到}f(x)\text{在点}x_0\text{处的微分}\left. dy \right|_{x=x_0} = f'(x_0)\Delta x. \end{aligned} 定理:设函数f(x)在点x0的某邻域内有定义,那么函数f(x)在点x0处可微与函数f(x)在点x0处可导是等价的,也就是说:可微必可导,可导必可微.进一步地,我们还可以得到f(x)在点x0处的微分dy∣x=x0=f′(x0)Δx.
连续与间断点
连续性{判定某点是否连续:左极限=右极限=函数值.判定区间是否连续:用性质、例27.间断点{判断某点是否间断:不满足"左极限=右极限=函数值",则间断.找间断点(个数)例28:{① 可疑点(分段点;定义域之外);② 判断该点是否间断. \begin{aligned} &\boxed{连续性} \\ &\quad\begin{cases} \text{判定某点是否连续:左极限=右极限=函数值.} \\ \text{判定区间是否连续:用性质、例27.} \end{cases} \\ & \\ &\boxed{间断点} \\ &\quad\begin{cases} \text{判断某点是否间断:不满足"左极限=右极限=函数值",则间断.} \\ \text{找间断点(个数)例28:} \begin{cases} ①\ \text{可疑点(分段点;定义域之外);} \\ ②\ \text{判断该点是否间断.} \end{cases} \end{cases} \end{aligned} 连续性{判定某点是否连续:左极限=右极限=函数值.判定区间是否连续:用性质、例27.间断点⎩ ⎨ ⎧判断某点是否间断:不满足"左极限=右极限=函数值",则间断.找间断点(个数)例28:{① 可疑点(分段点;定义域之外);② 判断该点是否间断.
函数的连续性

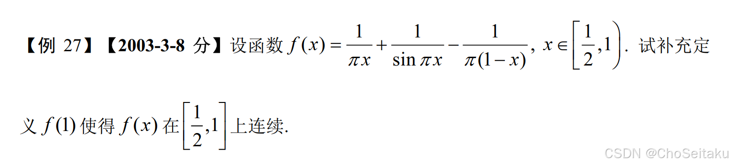
解:limx→1−f(x)=limx→1−(1πx+1sinπx−1π(1−x))=1π+limx→1−π(1−x)−sinπxsinπx⋅π(1−x)令t=x−1,则t→0−,代入得:=1π+limt→0−−πt−sinπ(t+1)sinπ(t+1)⋅π(−t)=1π+limt→0−−πt+sinπt−sinπt⋅(−πt)(因sinπ(t+1)=−sinπt)由等价无穷小:sinθ−θ∼−16θ3 (θ→0),故sinπt−πt∼−16(πt)3,=1π+limt→0−−16(πt)3(πt)2=1π+0=1π小结 只要遇到x→a,一般作代换t=x−a. \begin{aligned} &\text{解:}\lim_{x \to 1^-} f(x) = \lim_{x \to 1^-} \left( \frac{1}{\pi x} + \frac{1}{\sin \pi x} - \frac{1}{\pi (1-x)} \right) \\ &\quad\quad\quad\quad\quad = \frac{1}{\pi} + \lim_{x \to 1^-} \frac{\pi (1-x) - \sin \pi x}{\sin \pi x \cdot \pi (1-x)} \\ & \\ &\text{令}t = x-1,\text{则}t \to 0^-,\text{代入得:} \\ &\quad\quad\quad\quad\quad = \frac{1}{\pi} + \lim_{t \to 0^-} \frac{-\pi t - \sin \pi (t+1)}{\sin \pi (t+1) \cdot \pi (-t)} \\ &\quad\quad\quad\quad\quad = \frac{1}{\pi} + \lim_{t \to 0^-} \frac{-\pi t + \sin \pi t}{-\sin \pi t \cdot (-\pi t)} \quad (\text{因}\sin \pi(t+1) = -\sin \pi t) \\ & \\ &\text{由等价无穷小:}\sin \theta - \theta \sim -\frac{1}{6}\theta^3\ (\theta \to 0),\text{故}\sin \pi t - \pi t \sim -\frac{1}{6}(\pi t)^3, \\ &\quad\quad\quad\quad\quad = \frac{1}{\pi} + \lim_{t \to 0^-} \frac{-\frac{1}{6}(\pi t)^3}{(\pi t)^2} = \frac{1}{\pi} + 0 = \frac{1}{\pi} \\ & \\ &\text{小结 只要遇到}x \to a,\text{一般作代换}t = x - a. \end{aligned} 解:x→1−limf(x)=x→1−lim(πx1+sinπx1−π(1−x)1)=π1+x→1−limsinπx⋅π(1−x)π(1−x)−sinπx令t=x−1,则t→0−,代入得:=π1+t→0−limsinπ(t+1)⋅π(−t)−πt−sinπ(t+1)=π1+t→0−lim−sinπt⋅(−πt)−πt+sinπt(因sinπ(t+1)=−sinπt)由等价无穷小:sinθ−θ∼−61θ3 (θ→0),故sinπt−πt∼−61(πt)3,=π1+t→0−lim(πt)2−61(πt)3=π1+0=π1小结 只要遇到x→a,一般作代换t=x−a.
法2:=1π+limx→1−π(1−x)−sinπ(1−x)sin(π−πx)⋅π(1−x)令t=π(1−x),则t→0+,代入得:=1π+limt→0+t−sintsint⋅t=1π \begin{aligned} &\text{法2:} = \frac{1}{\pi} + \lim_{x \to 1^-} \frac{\pi (1-x) - \sin \pi (1-x)}{\sin (\pi - \pi x) \cdot \pi (1-x)} \\ &\text{令}t = \pi (1-x)\text{,则}t \to 0^+,\text{代入得:} \\ &\quad\quad = \frac{1}{\pi} + \lim_{t \to 0^+} \frac{t - \sin t}{\sin t \cdot t} = \frac{1}{\pi} \end{aligned} 法2:=π1+x→1−limsin(π−πx)⋅π(1−x)π(1−x)−sinπ(1−x)令t=π(1−x),则t→0+,代入得:=π1+t→0+limsint⋅tt−sint=π1
只需令f(1)=1π,即可使f(x)在[12,1]上连续. \text{只需令}f(1) = \frac{1}{\pi},\text{即可使}f(x)\text{在}\left[\frac{1}{2},1\right]\text{上连续.} 只需令f(1)=π1,即可使f(x)在[21,1]上连续.
间断点的类型
第一类间断点(左、右极限均存在){可去间断点:左极限=右极限≠函数值(或函数在该点无定义)跳跃间断点:左极限≠右极限第二类间断点(左、右极限至少一个不存在){无穷间断点:左极限或右极限至少有一个为∞振荡间断点:极限不存在且不为∞,函数值在某区间内振荡 \begin{aligned} &\boxed{第一类间断点(左、右极限均存在)} \begin{cases} \text{可去间断点:左极限} = \text{右极限} \neq \text{函数值(或函数在该点无定义)} \\ \text{跳跃间断点:左极限} \neq \text{右极限} \end{cases} \\ \\ &\boxed{第二类间断点(左、右极限至少一个不存在)} \begin{cases} \text{无穷间断点:左极限或右极限至少有一个为}\infty \\ \text{振荡间断点:极限不存在且不为}\infty\text{,函数值在某区间内振荡} \end{cases} \end{aligned} 第一类间断点(左、右极限均存在){可去间断点:左极限=右极限=函数值(或函数在该点无定义)跳跃间断点:左极限=右极限第二类间断点(左、右极限至少一个不存在){无穷间断点:左极限或右极限至少有一个为∞振荡间断点:极限不存在且不为∞,函数值在某区间内振荡

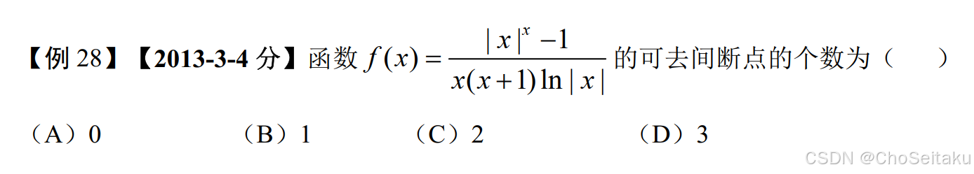
解:可疑点:x=0, x=−1, x=1.limx→0+∣x∣x−1x(x+1)ln∣x∣=limx→0+xx−1x(x+1)lnx=limx→0+exlnx−1x(x+1)lnx=limx→0+xlnxx(x+1)lnx=1limx→0−∣x∣x−1x(x+1)ln∣x∣=limx→0−(−x)x−1x(x+1)ln(−x)=limx→0−exln(−x)−1x(x+1)ln(−x)=limx→0−xln(−x)x(x+1)ln(−x)=1 \begin{aligned} &\text{解:可疑点:}x=0,\ x=-1,\ x=1. \\ & \\ &\lim_{x \to 0^+} \frac{|x|^x - 1}{x(x+1)\ln|x|} = \lim_{x \to 0^+} \frac{x^x - 1}{x(x+1)\ln x} = \lim_{x \to 0^+} \frac{e^{x\ln x} - 1}{x(x+1)\ln x} = \lim_{x \to 0^+} \frac{x\ln x}{x(x+1)\ln x} = 1 \\ & \\ &\lim_{x \to 0^-} \frac{|x|^x - 1}{x(x+1)\ln|x|} = \lim_{x \to 0^-} \frac{(-x)^x - 1}{x(x+1)\ln(-x)} = \lim_{x \to 0^-} \frac{e^{x\ln(-x)} - 1}{x(x+1)\ln(-x)} = \lim_{x \to 0^-} \frac{x\ln(-x)}{x(x+1)\ln(-x)} = 1 \end{aligned} 解:可疑点:x=0, x=−1, x=1.x→0+limx(x+1)ln∣x∣∣x∣x−1=x→0+limx(x+1)lnxxx−1=x→0+limx(x+1)lnxexlnx−1=x→0+limx(x+1)lnxxlnx=1x→0−limx(x+1)ln∣x∣∣x∣x−1=x→0−limx(x+1)ln(−x)(−x)x−1=x→0−limx(x+1)ln(−x)exln(−x)−1=x→0−limx(x+1)ln(−x)xln(−x)=1
x=0为f(x)的可去间断点. x=0\text{为}f(x)\text{的可去间断点.} x=0为f(x)的可去间断点.
limx→−1(−x)x−1x(x+1)ln(−x)=limx→−1exln(−x)−1x(x+1)ln(−x)=limx→−1xln(−x)x(x+1)ln(−x)=limx→−11x+1=∞limx→1xx−1x(x+1)lnx=limx→1exlnx−1x(x+1)lnx=limx→1xlnxx(x+1)lnx=limx→11x+1=12,x=1是f(x)的一个可去间断点.一共有两个可去间断点,选C \begin{aligned} &\lim_{x \to -1} \frac{(-x)^x - 1}{x(x+1)\ln(-x)} = \lim_{x \to -1} \frac{e^{x\ln(-x)} - 1}{x(x+1)\ln(-x)} = \lim_{x \to -1} \frac{x\ln(-x)}{x(x+1)\ln(-x)} = \lim_{x \to -1} \frac{1}{x+1} = \infty \\ & \\ &\lim_{x \to 1} \frac{x^x - 1}{x(x+1)\ln x} = \lim_{x \to 1} \frac{e^{x\ln x} - 1}{x(x+1)\ln x} = \lim_{x \to 1} \frac{x\ln x}{x(x+1)\ln x} = \lim_{x \to 1} \frac{1}{x+1} = \frac{1}{2}, \\ &\quad x=1\text{是}f(x)\text{的一个可去间断点.} \\&一共有两个可去间断点,选C\end{aligned} x→−1limx(x+1)ln(−x)(−x)x−1=x→−1limx(x+1)ln(−x)exln(−x)−1=x→−1limx(x+1)ln(−x)xln(−x)=x→−1limx+11=∞x→1limx(x+1)lnxxx−1=x→1limx(x+1)lnxexlnx−1=x→1limx(x+1)lnxxlnx=x→1limx+11=21,x=1是f(x)的一个可去间断点.一共有两个可去间断点,选C
法2:总结. 可疑点:x=0, x=−1, x=1.x→0时,xln∣x∣→0;x→−1时,xln∣x∣→0;x→1时,xln∣x∣→0.当x→0或x→−1或x→1时,f(x)=exln∣x∣−1x(x+1)ln∣x∣∼xln∣x∣x(x+1)ln∣x∣=1x+1,故可去间断点有2个. \begin{aligned} &\text{法2:总结. 可疑点:}x=0,\ x=-1,\ x=1. \\ &\quad x \to 0\text{时,}x\ln|x| \to 0; \\ &\quad x \to -1\text{时,}x\ln|x| \to 0; \\ &\quad x \to 1\text{时,}x\ln|x| \to 0. \\ & \\ &\text{当}x \to 0\text{或}x \to -1\text{或}x \to 1\text{时,} \\ &\quad f(x) = \frac{e^{x\ln|x|} - 1}{x(x+1)\ln|x|} \sim \frac{x\ln|x|}{x(x+1)\ln|x|} = \frac{1}{x+1}, \\ &\text{故可去间断点有2个.} \end{aligned} 法2:总结. 可疑点:x=0, x=−1, x=1.x→0时,xln∣x∣→0;x→−1时,xln∣x∣→0;x→1时,xln∣x∣→0.当x→0或x→−1或x→1时,f(x)=x(x+1)ln∣x∣exln∣x∣−1∼x(x+1)ln∣x∣xln∣x∣=x+11,故可去间断点有2个.
改题:函数f(x)=∣x∣(x2−3x+2)sinx−1x(x+1)(x−2)ln∣x∣sinx的无穷间断点的个数为() \text{改题:} \\ \text{函数}f(x) = \frac{|x|^{(x^2-3x+2)\sin x} - 1}{x(x+1)(x-2)\ln|x|\sin x}\text{的无穷间断点的个数为()} 改题:函数f(x)=x(x+1)(x−2)ln∣x∣sinx∣x∣(x2−3x+2)sinx−1的无穷间断点的个数为()
解:可疑点:x=0, x=−1, x=1, x=2, x=kπ (k=0,±1,±2,⋯ )在所有可疑点附近,e(x−1)(x−2)sinxln∣x∣−1∼(x−1)(x−2)sinxln∣x∣,故f(x)∼x−1x(x+1).当x→0时,f(x)→∞;当x→−1时,f(x)→∞;无穷间断点有两个,其他点处,极限均存在,都是可去间断点. \begin{aligned} &\text{解:可疑点:}x=0,\ x=-1,\ x=1,\ x=2,\ x=k\pi\ (k=0,\pm1,\pm2,\cdots) \\ &\text{在所有可疑点附近,} \\ &\quad e^{(x-1)(x-2)\sin x \ln|x|} - 1 \sim (x-1)(x-2)\sin x \ln|x|, \\ &\text{故}f(x) \sim \frac{x-1}{x(x+1)}. \\ & \\ &\text{当}x \to 0\text{时,}f(x) \to \infty; \\ &\text{当}x \to -1\text{时,}f(x) \to \infty; \\ &\text{无穷间断点有两个,其他点处,极限均存在,都是可去间断点.} \end{aligned} 解:可疑点:x=0, x=−1, x=1, x=2, x=kπ (k=0,±1,±2,⋯)在所有可疑点附近,e(x−1)(x−2)sinxln∣x∣−1∼(x−1)(x−2)sinxln∣x∣,故f(x)∼x(x+1)x−1.当x→0时,f(x)→∞;当x→−1时,f(x)→∞;无穷间断点有两个,其他点处,极限均存在,都是可去间断点.
渐近线
{求指定的渐近线方程:斜(k,b).(例29)渐近线的条数:水平、垂直、斜.(例30)选项中有渐近线的题:选项挨个判断. \begin{aligned} &\begin{cases} \text{求指定的渐近线方程:斜}(k,b)\text{.(例29)} \\ \text{渐近线的条数:水平、垂直、斜.(例30)} \\ \text{选项中有渐近线的题:选项挨个判断.} \end{cases} \end{aligned} ⎩ ⎨ ⎧求指定的渐近线方程:斜(k,b).(例29)渐近线的条数:水平、垂直、斜.(例30)选项中有渐近线的题:选项挨个判断.

解:k=limx→+∞x1+x(1+x)xx=limx→+∞xx(1+x)x=limx→+∞1(1x+1)x=1eb=limx→+∞(y−kx)=limx→+∞(x1+x(1+x)x−1ex)=? \begin{aligned} &\text{解:}k = \lim_{x \to +\infty} \frac{\frac{x^{1+x}}{(1+x)^x}}{x} = \lim_{x \to +\infty} \frac{x^x}{(1+x)^x} = \lim_{x \to +\infty} \frac{1}{\left( \frac{1}{x}+1 \right)^x} = \frac{1}{e} \\ & \\ &b = \lim_{x \to +\infty} \left( y - kx \right) = \lim_{x \to +\infty} \left( \frac{x^{1+x}}{(1+x)^x} - \frac{1}{e}x \right) =?\quad \end{aligned} 解:k=x→+∞limx(1+x)xx1+x=x→+∞lim(1+x)xxx=x→+∞lim(x1+1)x1=e1b=x→+∞lim(y−kx)=x→+∞lim((1+x)xx1+x−e1x)=?
=limx→+∞x(1(1x+1)x−e−1)=limx→+∞x(e−xln(1+1x)−e−1)=e−1limx→+∞x(e1−xln(1+1x)−1)=e−1limx→+∞x⋅(1−xln(1+1x))=t=1xe−1limt→0+1−ln(1+t)tt=e−1limt→0+t−ln(1+t)t2=e−1⋅12=12e \begin{aligned} &=\lim_{x \to +\infty} x\left( \frac{1}{(\frac{1}{x}+1)^x} - e^{-1} \right) \\ &= \lim_{x \to +\infty} x\left( e^{-x\ln(1+\frac{1}{x})} - e^{-1} \right) \\ &= e^{-1}\lim_{x \to +\infty} x\left( e^{1 - x\ln(1+\frac{1}{x})} - 1 \right) \\ &= e^{-1}\lim_{x \to +\infty} x \cdot \left( 1 - x\ln(1+\frac{1}{x}) \right) \\ &\xlongequal{t=\frac{1}{x}} e^{-1}\lim_{t \to 0^+} \frac{1 - \frac{\ln(1+t)}{t}}{t} = e^{-1}\lim_{t \to 0^+} \frac{t - \ln(1+t)}{t^2} \\ &= e^{-1}\cdot\frac{1}{2} = \frac{1}{2e} \end{aligned} =x→+∞limx((x1+1)x1−e−1)=x→+∞limx(e−xln(1+x1)−e−1)=e−1x→+∞limx(e1−xln(1+x1)−1)=e−1x→+∞limx⋅(1−xln(1+x1))t=x1 e−1t→0+limt1−tln(1+t)=e−1t→0+limt2t−ln(1+t)=e−1⋅21=2e1
【小结】求解斜渐近线的方法:① 斜渐近线:根据概念推导出斜渐近线的核心是求k,b,具体求法如下:k=limx→+∞f(x)x,b=limx→+∞[f(x)−kx];或k=limx→−∞f(x)x,b=limx→−∞[f(x)−kx]。② 斜渐近线x→+∞,x→−∞两个方向均需要求。因为有时候,这两个方向的渐近线是不一样的,取决于极限是否需要分左右去求;③ 当且仅当k,b都存在时,斜渐近线才存在。 \begin{aligned}&\boxed{【小结】} \\ &\boxed{求解斜渐近线的方法:} \\& ①\ \text{斜渐近线:根据概念推导出斜渐近线的核心是求}k,b\text{,具体求法如下:} \\ &\quad k = \lim_{x \to +\infty} \frac{f(x)}{x},b = \lim_{x \to +\infty}\left[ f(x)-kx \right];\text{或}k = \lim_{x \to -\infty} \frac{f(x)}{x},b = \lim_{x \to -\infty}\left[ f(x)-kx \right]。 \\ \\ &②\ \text{斜渐近线}x \to +\infty,x \to -\infty\text{两个方向均需要求。因为有时候,这两个方向的渐近线} \\& \quad \text{是不一样的,取决于极限是否需要分左右去求;} \\ \\& ③\ \text{当且仅当}k,b\text{都存在时,斜渐近线才存在。} \end{aligned}【小结】求解斜渐近线的方法:① 斜渐近线:根据概念推导出斜渐近线的核心是求k,b,具体求法如下:k=x→+∞limxf(x),b=x→+∞lim[f(x)−kx];或k=x→−∞limxf(x),b=x→−∞lim[f(x)−kx]。② 斜渐近线x→+∞,x→−∞两个方向均需要求。因为有时候,这两个方向的渐近线是不一样的,取决于极限是否需要分左右去求;③ 当且仅当k,b都存在时,斜渐近线才存在。
推导:limx→+∞[f(x)−(kx+b)]=0limx→+∞f(x)−kx−bx=limx→+∞f(x)x−k=0b=limx→+∞[f(x)−kx] \begin{aligned} &\text{推导:}\lim_{x \to +\infty} \left[ f(x)-(kx+b) \right] = 0 \\ &\quad \lim_{x \to +\infty} \frac{f(x)-kx-b}{x} = \lim_{x \to +\infty} \frac{f(x)}{x} - k = 0 \\ &\quad b = \lim_{x \to +\infty} \left[ f(x)-kx \right] \end{aligned} 推导:x→+∞lim[f(x)−(kx+b)]=0x→+∞limxf(x)−kx−b=x→+∞limxf(x)−k=0b=x→+∞lim[f(x)−kx]
④有争议:观点1:无限接近但不能相交(渐近线)观点2:可以相交,只需limx→□[y−(kx+b)]=0(真题)例:y=x+sin1x的渐近线为y=x \begin{aligned}&\boxed{④ 有争议:} \\ &\text{观点1:无限接近但不能相交(渐近线)} \\ &\text{观点2:可以相交,只需}\lim_{x \to \square} \left[ y-(kx+b) \right] = 0\quad (\text{真题}) \\ \\& \text{例:}y = x + \sin\frac{1}{x}\text{的渐近线为}y = x\end{aligned} ④有争议:观点1:无限接近但不能相交(渐近线)观点2:可以相交,只需x→□lim[y−(kx+b)]=0(真题)例:y=x+sinx1的渐近线为y=x

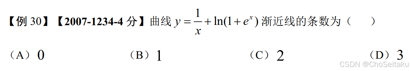
解:limx→0y=limx→0(1x+ln(1+ex))=∞, 故x=0为垂直渐近线.limx→+∞y=limx→+∞(1x+ln(1+ex))=+∞;limx→−∞y=limx→−∞(1x+ln(1+ex))=0, 故y=0为一条水平渐近线.因x→−∞方向有水平渐近线,则该方向无斜渐近线.k=limx→+∞yx=limx→+∞(1x2+ln(1+ex)x)=limx→+∞ln(1+ex)x=limx→+∞lnexx=1 b=limx→+∞(1x+ln(1+ex)−x)=limx→+∞(ln(1+ex)−lnex)=limx→+∞ln1+exex=0, 故y=x为斜渐近线. \begin{aligned} &\text{解:}\lim_{x \to 0} y = \lim_{x \to 0} \left( \frac{1}{x} + \ln(1+e^x) \right) = \infty,\ \text{故}x=0\text{为垂直渐近线.} \\ & \\ &\lim_{x \to +\infty} y = \lim_{x \to +\infty} \left( \frac{1}{x} + \ln(1+e^x) \right) = +\infty; \\ &\lim_{x \to -\infty} y = \lim_{x \to -\infty} \left( \frac{1}{x} + \ln(1+e^x) \right) = 0,\ \text{故}y=0\text{为一条水平渐近线.} \\ & \\ &\text{因}x \to -\infty\text{方向有水平渐近线,则该方向无斜渐近线.} \\ &k = \lim_{x \to +\infty} \frac{y}{x} = \lim_{x \to +\infty} \left( \frac{1}{x^2} + \frac{\ln(1+e^x)}{x} \right) = \lim_{x \to +\infty} \frac{\ln(1+e^x)}{x} = \lim_{x \to +\infty} \frac{\ln e^x}{x} = 1\ \\ & \\ &b = \lim_{x \to +\infty} \left( \frac{1}{x} + \ln(1+e^x) - x \right) = \lim_{x \to +\infty} \left( \ln(1+e^x) - \ln e^x \right) \\ &\quad = \lim_{x \to +\infty} \ln\frac{1+e^x}{e^x} = 0,\ \text{故}y=x\text{为斜渐近线.} \end{aligned} 解:x→0limy=x→0lim(x1+ln(1+ex))=∞, 故x=0为垂直渐近线.x→+∞limy=x→+∞lim(x1+ln(1+ex))=+∞;x→−∞limy=x→−∞lim(x1+ln(1+ex))=0, 故y=0为一条水平渐近线.因x→−∞方向有水平渐近线,则该方向无斜渐近线.k=x→+∞limxy=x→+∞lim(x21+xln(1+ex))=x→+∞limxln(1+ex)=x→+∞limxlnex=1 b=x→+∞lim(x1+ln(1+ex)−x)=x→+∞lim(ln(1+ex)−lnex)=x→+∞limlnex1+ex=0, 故y=x为斜渐近线.
【小结】求渐近线条数的基本思路:1) 先求垂直渐近线(和无穷间断点求法一致);2) 再求水平渐近线和斜渐近线:观察limx→+∞f(x)是否存在;若存在,且limx→+∞f(x)=a,则y=a是其水平渐近线,且此方向无斜渐近线,转4);若limx→+∞f(x)=∞转3)3) 求斜渐近线,先求k=limx→+∞f(x)x,b=limx→+∞[f(x)−kx],若k,b都存在,则存在斜渐近线,若在此方向不存在斜渐近线;转4)4) 对x→−∞重复2)和3),若发现x→+∞和x→−∞极限计算无区别,则可以合并,直接求x→∞ \begin{aligned}&\boxed{【小结】求渐近线条数的基本思路:} \\& 1)\ \text{先求垂直渐近线(和无穷间断点求法一致);} \\ \\& 2)\ \text{再求水平渐近线和斜渐近线:观察}\lim_{x \to +\infty} f(x)\text{是否存在;若存在,且}\lim_{x \to +\infty} f(x) = a, \\ &\quad \text{则}y=a\text{是其水平渐近线,且此方向无斜渐近线,转4);若}\lim_{x \to +\infty} f(x) = \infty\text{转3)} \\ \\ &3)\ \text{求斜渐近线,先求}k = \lim_{x \to +\infty} \frac{f(x)}{x},b = \lim_{x \to +\infty}\left[ f(x)-kx \right],若k,b\text{都存在,则存在斜} \\ &\quad \text{渐近线,若在此方向不存在斜渐近线;转4)} \\ \\& 4)\ \text{对}x \to -\infty\text{重复2)和3),若发现}x \to +\infty\text{和}x \to -\infty\text{极限计算无区别,则可以合} \\ &\quad \text{并,直接求}x \to \infty \end{aligned}【小结】求渐近线条数的基本思路:1) 先求垂直渐近线(和无穷间断点求法一致);2) 再求水平渐近线和斜渐近线:观察x→+∞limf(x)是否存在;若存在,且x→+∞limf(x)=a,则y=a是其水平渐近线,且此方向无斜渐近线,转4);若x→+∞limf(x)=∞转3)3) 求斜渐近线,先求k=x→+∞limxf(x),b=x→+∞lim[f(x)−kx],若k,b都存在,则存在斜渐近线,若在此方向不存在斜渐近线;转4)4) 对x→−∞重复2)和3),若发现x→+∞和x→−∞极限计算无区别,则可以合并,直接求x→∞
改题:曲线y=1x2−3x+2+ln(2+ex)渐近线的条数为() \text{改题:} \\ \text{曲线}y = \frac{1}{x^2 - 3x + 2} + \ln(2+e^x)\text{渐近线的条数为()} 改题:曲线y=x2−3x+21+ln(2+ex)渐近线的条数为()
解:y=1(x−1)(x−2)+ln(2+ex)x=1, x=2为两条垂直渐近线.x→−∞时,y→ln2, 故y=ln2为一条水平渐近线.y=x为一条斜渐近线. \begin{aligned} &\text{解:}y = \frac{1}{(x-1)(x-2)} + \ln(2+e^x) \\ &\quad x=1,\ x=2\text{为两条垂直渐近线.} \\ &\quad x \to -\infty\text{时,}y \to \ln2,\ \text{故}y=\ln2\text{为一条水平渐近线.} \\ &\quad y=x\text{为一条斜渐近线.} \end{aligned} 解:y=(x−1)(x−2)1+ln(2+ex)x=1, x=2为两条垂直渐近线.x→−∞时,y→ln2, 故y=ln2为一条水平渐近线.y=x为一条斜渐近线.