旅游出行管理系统
目录
基于Springboot+Vue的旅游出行管理系统设计与实现
博主介绍:✌️大厂码农|毕设布道师,阿里云开发社区乘风者计划专家博主,CSDN平台Java领域优质创作者,专注于大学生项目实战开发、讲解和毕业答疑辅导。✌️
主要项目:小程序、SpringBoot、SSM、Vue、Html、Jsp、Nodejs等设计与开发。
🍅文末获取源码联系🍅
基于Springboot+Vue的旅游出行管理系统设计与实现
一、前言
旅游管理系统利用当下成熟完善的Spring Boot框架,使用跨平台的可开发大型商业网站的Java语言,以及最受欢迎的RDBMS应用软件之一的MySQL数据库进行程序开发。旅游管理系统有管理员,用户两个角色。管理员功能有个人中心,用户管理,景点分类管理,景点信息管理,景点购票管理,酒店信息管理,酒店预定管理,游记分享管理,系统管理。用户可以注册登录,查看景点信息,并且可以进行景点购票操作和酒店预定操作,还可以发布游记分享。旅游管理系统的开发根据操作人员需要设计的界面简洁美观,在功能模块布局上跟同类型网站保持一致,程序在实现基本要求功能时,也为数据信息面临的安全问题提供了一些实用的解决方案。可以说该程序在帮助使用者高效率地处理工作事务的同时,也实现了数据信息的整体化,规范化与自动化。
关键词:旅游管理系统;Spring Boot框架;MySQL;自动化
二、系统功能设计
旅游网站功能模块设计。

三、系统实现
3.1用户功能实现
当用户打开系统的网址后,首先看到的就是首页界面。在这里,用户能够看到旅游网站的登录页面,有登录账号、登录密码、等信息。系统首页界面如图5-1所示:

图5-1 系统首页界面
这是一个用户注册的界面,当用户没有账户时可以通过注册来登录系统,只需要根据相应的提示输入用户信息等即可。用户注册界面如图5-2所示:

图5-2 用户注册界面
用户点击旅游路线页面查看路线名称、起点、终点、交通方式、导游费用、费用说明、发布时间、点击次数等信息。如图5-3所示:

图5-3旅游路线页面
用户可以点击车票页面查看车票编号、车站名称、座位类型、出发地、目的地、出发时间、班列介绍、车票价格等信息。如图5-4所示:

图5-4车票信息界面
用户可以点击景点信息页面查看景点类型、门票价格、开放时间、景点地址、历史背景、景点发布、特色活动、点击次数等信息。如图5-5所示:

图5-5景点信息界面
用户可以点击酒店信息页面查看酒店类型、酒店地址、客房类型、客房数量、价格/天、联系电话费用等信息。如图5-6所示:

图5-6酒店信息界面
用户可以点击美食信息页面查看美食分类、价格、美食地点、美食评分、美食主料、美食口味、美食特色、烹饪方法、发布时间、点击次数等信息。如图5-7所示:

图5-7美食信息界面
3.2管理员功能实现
后台管理员登录,在登录页面输入管理员账号,在正确输入用户名和密码后,点击登录操作;如图5-8所示。

图5-8 后台管理员登录界面
四、数据库设计
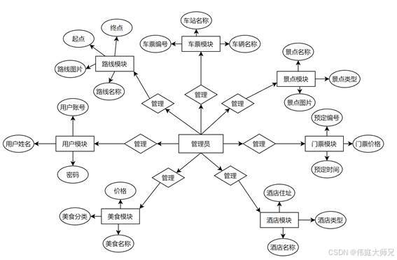
1、实体ER图
旅游出行网站E-R关系总图,如图所示。

旅游网站E-R关系模型图
2、具体的表设计如下所示:
景点购票表
|----|-------------------|----------|------|-----|
| 序号 | 列名 | 数据类型 | 说明 | 允许空 |
| 1 | Id | Int | id | 否 |
| 2 | addtime | Date | 创建时间 | 是 |
| 3 | goupiaobianhao | String | 购票编号 | 是 |
| 4 | jingdianmingcheng | String | 景点名称 | 是 |
| 5 | jingdianfenlei | String | 景点分类 | 是 |
| 6 | menpiaojiage | float | 门票价格 | 是 |
| 7 | goupiaoshijian | datetime | 购票时间 | 是 |
| 8 | goupiaoxiangqing | String | 购票详情 | 是 |
| 9 | yonghuzhanghao | String | 用户账号 | 是 |
| 10 | yonghuxingming | String | 用户姓名 | 是 |
| 11 | ispay | String | 是否支付 | 是 |
景点信息表
|----|-------------------|----------|--------|-----|
| 序号 | 列名 | 数据类型 | 说明 | 允许空 |
| 1 | Id | Int | id | 否 |
| 2 | addtime | Date | 创建时间 | 是 |
| 3 | jingdianbianhao | String | 景点编号 | 是 |
| 4 | jingdianmingcheng | String | 景点名称 | 是 |
| 5 | jingdianfenlei | String | 景点分类 | 是 |
| 6 | menpiaojiage | float | 门票价格 | 是 |
| 7 | jingdiandizhi | String | 景点地址 | 是 |
| 8 | jingdiandengji | String | 景点等级 | 是 |
| 9 | fengmian | String | 封面 | 是 |
| 10 | lvyouluxian | String | 旅游路线 | 是 |
| 11 | jingdianxiangqing | String | 景点详情 | 是 |
| 12 | clicktime | datetime | 最近点击时间 | 是 |
| 13 | clicknum | Integer | 点击次数 | 是 |
酒店信息表
|----|------------------|----------|--------|-----|
| 序号 | 列名 | 数据类型 | 说明 | 允许空 |
| 1 | Id | Int | id | 否 |
| 2 | addtime | Date | 创建时间 | 是 |
| 3 | jiudianmingcheng | String | 酒店名称 | 是 |
| 4 | leibie | String | 类别 | 是 |
| 5 | xingji | String | 星级 | 是 |
| 6 | jiudiantupian | String | 酒店图片 | 是 |
| 7 | jiudiandizhi | String | 酒店地址 | 是 |
| 8 | fangjianleixing | String | 房间类型 | 是 |
| 9 | jiage | float | 价格 | 是 |
| 10 | lianxidianhua | String | 联系电话 | 是 |
| 11 | jiudianjieshao | String | 酒店介绍 | 是 |
| 12 | clicktime | datetime | 最近点击时间 | 是 |
游记分享评论表
|----|----------|---------|-------|-----|
| 序号 | 列名 | 数据类型 | 说明 | 允许空 |
| 1 | Id | Int | id | 否 |
| 2 | addtime | Date | 创建时间 | 是 |
| 3 | refid | Integer | 关联表id | 是 |
| 4 | userid | Integer | 用户id | 是 |
| 5 | nickname | String | 用户名 | 是 |
| 6 | content | String | 评论内容 | 是 |
| 7 | reply | String | 回复内容 | 是 |
五、核心代码
java
package com.service.impl;
import org.springframework.stereotype.Service;
import java.util.Map;
import java.util.List;
import com.baomidou.mybatisplus.mapper.Wrapper;
import com.baomidou.mybatisplus.mapper.EntityWrapper;
import com.baomidou.mybatisplus.plugins.Page;
import com.baomidou.mybatisplus.service.impl.ServiceImpl;
import com.utils.PageUtils;
import com.utils.Query;
import com.dao.JiudianxinxiDao;
import com.entity.JiudianxinxiEntity;
import com.service.JiudianxinxiService;
import com.entity.vo.JiudianxinxiVO;
import com.entity.view.JiudianxinxiView;
@Service("jiudianxinxiService")
public class JiudianxinxiServiceImpl extends ServiceImpl<JiudianxinxiDao, JiudianxinxiEntity> implements JiudianxinxiService {
@Override
public PageUtils queryPage(Map<String, Object> params) {
Page<JiudianxinxiEntity> page = this.selectPage(
new Query<JiudianxinxiEntity>(params).getPage(),
new EntityWrapper<JiudianxinxiEntity>()
);
return new PageUtils(page);
}
@Override
public PageUtils queryPage(Map<String, Object> params, Wrapper<JiudianxinxiEntity> wrapper) {
Page<JiudianxinxiView> page =new Query<JiudianxinxiView>(params).getPage();
page.setRecords(baseMapper.selectListView(page,wrapper));
PageUtils pageUtil = new PageUtils(page);
return pageUtil;
}
@Override
public List<JiudianxinxiVO> selectListVO(Wrapper<JiudianxinxiEntity> wrapper) {
return baseMapper.selectListVO(wrapper);
}
@Override
public JiudianxinxiVO selectVO(Wrapper<JiudianxinxiEntity> wrapper) {
return baseMapper.selectVO(wrapper);
}
@Override
public List<JiudianxinxiView> selectListView(Wrapper<JiudianxinxiEntity> wrapper) {
return baseMapper.selectListView(wrapper);
}
@Override
public JiudianxinxiView selectView(Wrapper<JiudianxinxiEntity> wrapper) {
return baseMapper.selectView(wrapper);
}
}
六、论文参考



七、最新计算机毕设选题推荐
八、源码获取:
大家点赞、收藏、关注、评论 啦 、👇🏻获取联系方式在文章末尾👇🏻