一、链式法则在深度学习里到底在干嘛?
最核心一句话:
深度学习训练 = 通过链式法则,把损失函数对每一层参数的导数算出来,然后用梯度下降更新参数。
数学上最经典的链式法则:

在深度学习中,经常是:
𝐿
L:损失函数(loss)

这就是反向传播里每一层算梯度的本质。
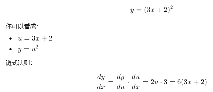
二、从一个最简单的标量例子开始
比如有:

在代码里(伪反向传播)就是:
python
x -> u = 3*x + 2 -> y = u**2
# 反向:
dy_du = 2 * u
du_dx = 3
dy_dx = dy_du * du_dx
神经网络只不过是这个过程的「多层版本」+「矩阵形式」。
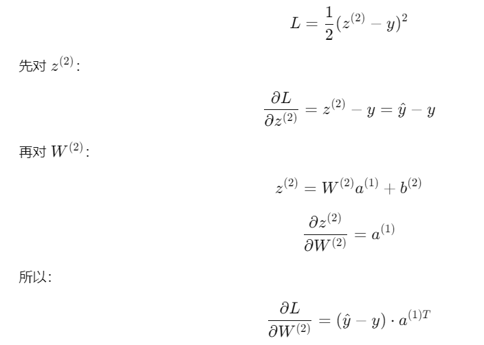
三、一个两层全连接网络里的链式法则
设一个简单网络:

我们要:




这整个过程,就是链式法则在神经网络里的「矩阵版」。
四、用纯 NumPy 手写一个小网络 + 反向传播
下面是一个1 隐层网络,只有一个样本时的前向、反向计算示例:
python
import numpy as np
# 激活函数和导数(这里用 sigmoid)
def sigmoid(x):
return 1 / (1 + np.exp(-x))
def sigmoid_grad(x):
s = sigmoid(x)
return s * (s - 1)
# 一些简单数据
np.random.seed(0)
x = np.random.randn(3, 1) # 输入维度 3,列向量
y = np.array([[1.0]]) # 标量目标
# 网络结构:3 -> 4 -> 1
W1 = np.random.randn(4, 3) # 第一层权重
b1 = np.zeros((4, 1))
W2 = np.random.randn(1, 4) # 第二层权重
b2 = np.zeros((1, 1))
# ========= 前向传播 =========
# 隐藏层
z1 = W1 @ x + b1 # (4,1)
a1 = sigmoid(z1) # (4,1)
# 输出层(线性)
z2 = W2 @ a1 + b2 # (1,1)
y_hat = z2 # 回归问题,输出=线性
# MSE 损失: 0.5 * (y_hat - y)^2
L = 0.5 * (y_hat - y) ** 2
print("Loss:", float(L))
# ========= 反向传播(链式法则) =========
# dL/dy_hat
dL_dyhat = (y_hat - y) # (1,1)
# 输出层: y_hat = z2
dL_dz2 = dL_dyhat # (1,1)
# dL/dW2 = dL/dz2 * da1/dW2 = dL/dz2 * a1^T
dL_dW2 = dL_dz2 @ a1.T # (1,4)
dL_db2 = dL_dz2 # (1,1)
# 反传到 a1: dL/da1 = W2^T * dL/dz2
dL_da1 = W2.T @ dL_dz2 # (4,1)
# 过激活: a1 = sigmoid(z1)
dL_dz1 = dL_da1 * sigmoid_grad(z1) # (4,1)
# 第一层参数
dL_dW1 = dL_dz1 @ x.T # (4,3)
dL_db1 = dL_dz1 # (4,1)
print("dL_dW2 shape:", dL_dW2.shape)
print("dL_dW1 shape:", dL_dW1.shape)
可以在这段代码基础上:
加一个学习率 lr,用
W1 -= lr * dL_dW1 这样更新参数
循环多轮,就变成一个最简易的「手写版训练过程」。
五、用 PyTorch 看看自动求导怎么用链式法则
在 PyTorch 里你不会手写链式法则,但 底层一样在做这件事。你只负责:
定义前向计算
调 loss.backward()
框架帮你自动用链式法则算梯度。
python
import torch
import torch.nn as nn
import torch.optim as optim
# 简单两层网络
class SimpleNet(nn.Module):
def __init__(self):
super().__init__()
self.fc1 = nn.Linear(3, 4)
self.act = nn.Sigmoid()
self.fc2 = nn.Linear(4, 1)
def forward(self, x):
x = self.fc1(x)
x = self.act(x)
x = self.fc2(x)
return x
net = SimpleNet()
criterion = nn.MSELoss()
optimizer = optim.SGD(net.parameters(), lr=0.1)
x = torch.randn(1, 3) # batch=1, dim=3
y = torch.tensor([[1.0]])
# 前向
y_hat = net(x)
loss = criterion(y_hat, y)
print("loss:", loss.item())
# 反向(内部自动用链式法则)
optimizer.zero_grad()
loss.backward()
# 看梯度
for name, param in net.named_parameters():
print(name, param.grad.shape)
你看到的 .grad 就是通过链式法则 + 计算图一层层传回来的结果。
总结一句
链式法则 = 把复杂复合函数的导数拆成一层一层的乘积
深度学习 = 用链式法则,把损失函数对每一层参数的梯度都算出来