一、题目
给定两个整数数组
preorder和inorder,其中preorder是二叉树的先序遍历 ,inorder是同一棵树的中序遍历,请构造二叉树并返回其根节点。示例 1:
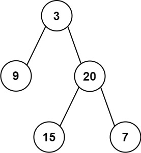
输入: preorder = [3,9,20,15,7], inorder = [9,3,15,20,7] 输出: [3,9,20,null,null,15,7]示例 2:
输入: preorder = [-1], inorder = [-1] 输出: [-1]提示:
1 <= preorder.length <= 3000inorder.length == preorder.length-3000 <= preorder[i], inorder[i] <= 3000preorder和inorder均 无重复 元素inorder均出现在preorderpreorder保证 为二叉树的前序遍历序列inorder保证 为二叉树的中序遍历序列
二、源代码
objectivec
/**
* Definition for a binary tree node.
* struct TreeNode {
* int val;
* struct TreeNode *left;
* struct TreeNode *right;
* };
*/
struct TreeNode* buildTree(int* preorder, int preorderSize, int* inorder, int inorderSize){
if(preorderSize == 0 || inorderSize == 0)
return NULL;
struct TreeNode* root = (struct TreeNode*)malloc(sizeof(struct TreeNode));
int index;
root -> val = preorder[0];
for(index = 0;index < inorderSize;index++)
if(inorder[index] == preorder[0])
break;
root -> left = buildTree(preorder + 1,index,inorder,index);
root -> right = buildTree(preorder + index + 1,preorderSize - index - 1,inorder + index + 1,preorderSize - index - 1);
return root;
}
三、解题思路
- 递归终止条件
objectivecif(preorderSize == 0 || inorderSize == 0) return NULL;当子树的前序 / 中序数组长度为 0 时,说明这个子树没有节点,返回NULL(比如叶子节点的左 / 右子树)。
- 确定根节点
objectivecroot -> val = preorder[0];前序遍历的第一个元素必然是当前子树的根节点,这是核心依据。
- 找中序数组中的根节点下标
objectivecfor(index = 0;index < inorderSize;index++) if(inorder[index] == preorder[0]) break;(1)中序数组中,根节点左侧的所有元素都是左子树的节点;
(2)右侧的所有元素都是右子树的节点;
(3)index的值就是左子树的节点个数。
- 递归构建左子树
objectivecroot -> left = buildTree(preorder + 1, index, inorder, index);(1)preorder + 1:前序数组跳过根节点,从第二个元素开始是左子树的前序遍历;
(2)index:左子树的节点个数(中序数组中根左侧的元素数);
(3)inorder:中序数组从开头到根节点前,都是左子树的中序遍历;
(4)最终返回的NULL或节点,作为当前根的左孩子。
- 递归构建右子树
objectivecroot -> right = buildTree(preorder + index + 1, preorderSize - index - 1, inorder + index + 1, preorderSize - index - 1);(1)preorder + index + 1:前序数组跳过根 + 左子树,剩下的是右子树的前序遍历;
(2)preorderSize - index - 1:右子树的节点个数(总节点数 - 根 - 左子树节点数);
(3)inorder + index + 1:中序数组跳过根节点,剩下的是右子树的中序遍历;
(4)最终返回的NULL或节点,作为当前根的右孩子。
四、总结
这段代码的核心是利用前序 / 中序的遍历特性,通过递归逐层拆解子树,最终还原整个二叉树
