一、光场相机成像系统模拟
1. 系统模型构建
光场相机通过微透镜阵列记录光线方向与位置信息,其核心模型包含:
- 主镜头:负责物体光的初步聚焦
- 微透镜阵列:将光线分解为方向与位置维度
- 传感器:记录光场强度分布
关键参数:
| 参数 | 符号 | 物理意义 | 典型值 |
|---|---|---|---|
| 微透镜焦距 | fmf_mfm | 微透镜光学特性 | 25mm |
| 微透镜间距 | dmd_mdm | 阵列单元间隔 | 10μm~1mm |
| 主镜头焦距 | fff | 主光学系统焦距 | 50mm |
| 传感器间距 | bbb | 微透镜到传感器距离 | 0.6f_m |
2. 光场数据生成流程
matlab
% 光场成像模拟代码框架(基于Zemax模型)
function light_field_simulation()
% 参数设置
f_m = 25e-3; % 微透镜焦距(m)
d_m = 500e-6; % 微透镜间距(m)
b = 0.6*f_m; % 传感器间距(m)
N = 328; % 微透镜阵列尺寸
% 构建光学系统
main_lens = struct('focal_length', 0.05, 'aperture', 0.02);
microlens_array = struct('focal_length', f_m, 'spacing', d_m);
% 光线追迹
for each object_point
% 主镜头成像
image_plane = propagate_through_lens(object_point, main_lens);
% 微透镜阵列采样
microlens_images = arrayfun(@(i) propagate_through_microlens(...
image_plane, microlens_array, i), 1:N);
% 传感器记录
sensor_data(:,:,i) = integrate_microlens_image(microlens_images{i});
end
% 生成光场数据立方体
light_field = cat(4, sensor_data, microlens_positions);
end
3. 关键算法实现
- 重聚焦算法:通过调整采样步长重构不同深度图像
matlab
function refocused_img = refocus(light_field, alpha)
% alpha: 重聚焦系数 μ = size(light_field,1)/2;
v = size(light_field,2)/2;
% 像素位移计算
shift_x = round(alpha * (1 - v/N));
shift_y = round(alpha * (1 - u/N));
% 图像拼接
refocused_img = zeros(size(light_field));
for i = 1:N
for j = 1:N
src_pos = [i-shift_x, j-shift_y];
refocused_img(i,j) = bilinear_interp(light_field, src_pos);
end
end
end
二、普通相机二维成像模拟
1. 针孔模型实现
基于小孔成像原理,核心公式:
1f=1Z+1z\frac{1}{f}=\frac{1}{Z}+\frac{1}{z}f1=Z1+z1
其中:
- fff:焦距
- ZZZ:物距
- zzz:像距
MATLAB实现:
matlab
function img = pinhole_projection(points, K)
% points: 3xN齐次坐标 [X; Y; Z]
% K: 内参矩阵 [f_x 0 c_x; 0 f_y c_y; 0 0 1]
% 投影变换
projected = K * points;
% 归一化处理
for i = 1:size(projected,2)
projected(:,i) = projected(:,i)/projected(3,i);
end
img = reshape(projected(1:2,:), size(points,1)/2, 2);
end
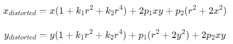
2. 畸变校正模型
包含径向畸变和切向畸变:

OpenCV实现示例:
python
import cv2
import numpy as np
def undistort_image(img, K, dist_coeffs):
h, w = img.shape[:2]
new_K, roi = cv2.getOptimalNewCameraMatrix(K, dist_coeffs, (w,h), 1, (w,h))
undistorted = cv2.undistort(img, K, dist_coeffs, None, new_K)
return undistorted
参考代码 对于光场相机成像系统的模拟以及普通相机二维成像的模拟 www.youwenfan.com/contentcsn/84831.html
三、系统对比与参数设置建议
| 维度 | 光场相机模拟要点 | 普通相机模拟要点 |
|---|---|---|
| 坐标系统 | 四维光场参数化 (u,v,s,t) | 三维到二维投影 (X,Y,Z→u,v) |
| 噪声模型 | 传感器噪声(泊松分布) | 读出噪声+暗电流噪声 |
| 分辨率 | 角度分辨率(微透镜数量) | 空间分辨率(像素密度) |
| 标定方法 | 微透镜中心标定+重聚焦验证 | 棋盘格标定法 |
| 数据维度 | 4D光场数据立方体 | 2D像素阵列 |
四、应用场景实现建议
- 光场相机 : 三维重建 :使用Raytrix SDK进行深度图计算 动态场景 :采用事件相机模型捕捉运动轨迹 工业检测:结合重聚焦序列进行缺陷分析
- 普通相机 : SLAM系统 :构建相机位姿估计模型 HDR成像 :多曝光图像融合 目标跟踪:基于特征点匹配的跟踪算法
五、工具链推荐
- 光场仿真: Zemax/Zemax-OpticStudio:光学系统建模 LightField Toolbox:MATLAB光场处理库 Blender+Python:三维场景渲染
- 普通相机建模: OpenCV:图像处理与标定 Kalibr:多传感器标定 ROS:机器人视觉系统集成