把输入层的特征进行加权求和,通过sigmod映射前面的加权求和结果

神经元死亡问题
如何选择激活函数:
隐藏层:
ReLU > Leaky ReLU > PReLU > Tanh > Sigmoid
输出层:
二分类: Sigmoid + BCELoss 或 Softmax + CrossEntropyLoss(内部自动做 softmax)
多分类: Softmax + CrossEntropyLoss(内部自动做 softmax)
回归问题: identity(无需激活函数),如果限制区间,则考虑ReLU, sigmoid, tanh
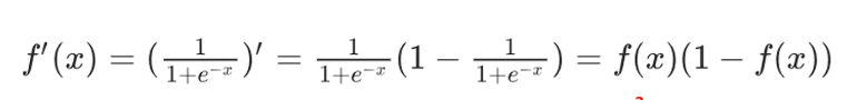
sigmoid激活函数
激活函数公式:
激活函数求导公式:


一般情况下sigmoid激活函数在五层之内就会出现梯度消失sigmoid函数一般只用于二分类的输出层
python
import torch
import matplotlib.pyplot as plt
plt.rcParams['font.sans-serif'] = ['SimHei'] # 用来正常显示中文标签
plt.rcParams['axes.unicode_minus'] = False # 用来正常显示负号
# 1. 创建画布和坐标轴, 1行2列.
fig, axes = plt.subplots(1, 2)
# 2. 生成 -20 ~ 20之间的 1000个数据点.
x = torch.linspace(-10, 10, 1000)
# print(f'x: {x}')
# 3. 计算上述1000个点, Sigmoid激活函数处理后的值.
y = torch.sigmoid(x)
# print(f'y: {y}')
# 4. 在第1个子图中绘制Sigmoid激活函数的图像.
axes[0].plot(x, y)
axes[0].set_title('Sigmoid激活函数图像')
axes[0].grid()
# 5. 在第2个图上, 绘制Sigmoid激活函数的导数图像.
# 5.1 重新生成 -20 ~ 20之间的 1000个数据点.
# 参1: 起始值, 参2: 结束值, 参3: 元素的个数, 参4: 是否需要求导.
x = torch.linspace(-20, 20, 1000, requires_grad=True)
# 5.2 具体的计算上述1000个点, Sigmoid激活函数导数后的值.
torch.sigmoid(x).sum().backward()
# 5.3 绘制图像.
axes[1].plot(x.detach(), x.grad)
axes[1].set_title('Sigmoid激活函数导数图像')
axes[1].grid(True)
plt.show()
tanh激活函数
x越大整体越接近于1 x越小整体越接近于-1
tanh激活函数是将输入映射到[-1,1]之间
tanh是最优解的情况下是1
relu则永远是1
用于隐藏层,浅层网络(不超过5层),存在梯度消失问题.输出范围(-1,1), 导数范围(0,1], 输入的有效区间[-3,3].

python
import torch
import matplotlib.pyplot as plt
# 设置中文字体
plt.rcParams['font.sans-serif'] = ['Microsoft YaHei'] # 微软雅黑
plt.rcParams['axes.unicode_minus'] = False # 解决负号显示问题
# 1. 创建画布和坐标轴, 1行2列.
fig, axes = plt.subplots(1, 2, figsize=(12, 5))
# 2. 生成 -10 ~ 10之间的 1000个数据点.
x = torch.linspace(-10, 10, 1000)
# 3. 上述1000个点, 输入tanh(x)
y = torch.tanh(x)
# 4. 在第1个子图中绘制tanh激活函数的图像.
axes[0].plot(x, y)
axes[0].set_title('tanh激活函数图像')
axes[0].grid()
# 5. 在第2个图上, 绘制tanh激活函数的导数图像.
# 重新生成 -10 ~ 10之间的 1000个数据点.
# 参1: 起始值, 参2: 结束值, 参3: 元素的个数, 参4: 是否需要求导.
x = torch.linspace(-10, 10, 1000, requires_grad=True)
# 上述1000个点, 输入tanh进行求导,sum().backward()
torch.tanh(x).sum().backward()
# 绘制图像
axes[1].plot(x.detach(), x.grad)
axes[1].set_title('tanh激活函数导数图像')
axes[1].grid()
plt.tight_layout()
plt.show()
Relu激活函数
常用于 隐藏层,目前使用最多.
计算公式是max(0,x),输出范围[0,+∞],导数0或1,计算简单,模型训练收敛快.
负数输入的输出为0,会带来稀疏性,起到正则化效果,利于图像类任务.
负数输入的梯度为0,可能导致部分神经元永久失活(dead ReLU),是缺点,可以用 Leaky ReLU, PReLU 来考虑 负数输入的梯度.
python
import torch
import numpy as np
import matplotlib.pyplot as plt
import matplotlib
matplotlib.use('TKAgg')
plt.rcParams['font.sans-serif'] = ['SimHei'] # 用来正常显示中文标签
plt.rcParams['axes.unicode_minus'] = False # 用来正常显示负号
#设置设备
device=torch.device('cuda' if torch.cuda.is_available() else 'cpu')
fig,axes=plt.subplots(1,2,figsize=(10,5))
#生成x轴的数据点 1000点 -10到10之间
x=torch.linspace(-10,10,1000)
#经过relu激活函数运算
y=torch.relu(x)
#4.在第一个子图上绘制relu激活函数图像
axes[0].plot(x,y)
axes[0].set_title('relu激活函数图像')
axes[0].set_xlabel('x')
axes[0].set_ylabel('y')
axes[0].grid()
#5.绘制relu激活函数的导数图像
#创建一个新的开启梯度计算的x
x=torch.linspace(-10,10,1000,requires_grad=True)
#经过relu激活函数运算 再求和
y=torch.relu(x).sum()
#反向传播,获取梯度值x.grad
y.backward()
axes[1].plot(x.detach(),x.grad)
axes[1].set_title('relu激活函数导数图像')
axes[1].set_xlabel('x')
axes[1].set_ylabel('y')
axes[1].grid()
plt.show()
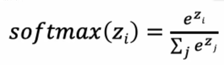
softMAx激活函数
用于多分类任务的输出层,二分类任务上可以替代sigmoid.
输出各个类别的概率分布,范围(0,1), 并且概率总和为1.

python
import torch
import matplotlib.pyplot as plt
import matplotlib
matplotlib.use('TKAgg')
plt.rcParams['font.sans-serif'] = ['SimHei'] # 用来正常显示中文标签
plt.rcParams['axes.unicode_minus'] = False # 用来正常显示负号
#设置设备
device=torch.device('cuda' if torch.cuda.is_available() else 'cpu')
fig,axes=plt.subplots(1,2,figsize=(10,5))
#生成x轴的数据点 1000点 -10到10之间
x=torch.tensor([0.2, 0.02, 0.15, 0.15, 1.3, 0.5, 0.06, 1.1, 0.05, 3.75])
#经过softmax激活函数运算
y=torch.softmax(x,dim=0)
#4.在第一个子图上绘制softmax激活函数图像
axes[0].bar(range(len(x)),y)
axes[0].set_title('softmax激活函数图像')
axes[0].set_xlabel('x')
axes[0].set_ylabel('y')
axes[0].grid()
#5.绘制softmax激活函数的导数图像
#创建一个新的开启梯度计算的x
z=torch.softmax(y,dim=0)
axes[1].bar(range(len(x)),z)
axes[1].set_title('softmax(softmax(x)')
axes[1].set_xlabel('x')
axes[1].set_ylabel('y')
axes[1].grid()
plt.show()

参数的初始化(仅了解)
因为后续的神经网络训练时默认都进行初始化
python
案例:
演示 参数初始化 的 7种方式
参数初始化的作用:
1. 防止 梯度消失 或 梯度爆炸
2. 提高收敛速度
3. 打破对称性
参数初始化的方式:
1. 均匀分布初始化 init.uniform
2. 正态分布初始化 init.normal
3. 全0初始化 init.zeros_
4. 全1初始化 init.ones_
5. 固定值初始化 init.constant
6. kaiming 初始化,也叫做 HE 初始化
正态分布的he初始化 init.kaiming_normal_
均匀分布的he初始化 init.kaiming_uniform_
7.xavier 初始化,也叫做 Glorot初始化
正态化的Xavier初始化 init.xavier_normal_
均匀分布的Xavier初始化 init.xavier_uniform_
总结:
1.掌握 kaiming(权重w), xavier(权重w), 全0初始化(偏置)
2.如何选择参数初始化方式:
ReLU及其变体:kaiming
非ReLU: xavier
浅层:均匀分布初始化/正态分布初始化
python
# 1. 均匀分布初始化
def demo01():
print("1. 均匀分布初始化")
# 创建一个线性层,输入维度3,输出维度5
linear = nn.Linear(3, 5)
# 对权重w 进行初始化
nn.init.uniform_(linear.weight)
# 对偏置b 进行初始化
nn.init.uniform_(linear.bias)
# 打印
print(linear.weight.data)
print(linear.bias.data)
print("-"*60)
python
# 2. 正态分布初始化
def demo02():
print("2. 正态分布初始化")
# 创建一个线性层,输入维度3,输出维度5
linear = nn.Linear(3, 5)
# 对权重w 进行初始化
nn.init.normal_(linear.weight)
# 对偏置b 进行初始化
nn.init.normal_(linear.bias)
# 打印
print(linear.weight.data)
print(linear.bias.data)
print("-"*60)
python
# 3. 全0初始化
def demo03():
print("3. 全0初始化")
# 创建一个线性层,输入维度3,输出维度5
linear = nn.Linear(3, 5)
# 对权重w 进行初始化
nn.init.zeros_(linear.weight)
# 对偏置b 进行初始化
nn.init.zeros_(linear.bias)
# 打印
print(linear.weight.data)
print(linear.bias.data)
print("-"*60)
python
# 4. 全1初始化
def demo04():
print("4. 全1初始化")
# 创建一个线性层,输入维度3,输出维度5
linear = nn.Linear(3, 5)
# 对权重w 进行初始化
nn.init.ones_(linear.weight)
# 对偏置b 进行初始化
nn.init.ones_(linear.bias)
# 打印
print(linear.weight.data)
print(linear.bias.data)
print("-"*60)
python
# 5. 固定值初始化
def demo05():
print("5. 固定值初始化")
# 创建一个线性层,输入维度3,输出维度5
linear = nn.Linear(3, 5)
# 对权重w 进行初始化
nn.init.constant_(linear.weight, 6)
# 对偏置b 进行初始化
nn.init.constant_(linear.bias, 6)
# 打印
print(linear.weight.data)
print(linear.bias.data)
print("-"*60)
python
# 6. kaiming 初始化,也叫做 HE 初始化
def demo06():
print("6. kaiming 初始化")
# 创建一个线性层,输入维度3,输出维度5
linear = nn.Linear(3, 5)
# 正态分布的he初始化
print("正态分布的he初始化")
# 对权重w 进行初始化
nn.init.kaiming_normal_(linear.weight)
# 打印
print(linear.weight.data)
# 均匀分布的he初始化
print("均匀分布的he初始化")
# 对权重w 进行初始化
nn.init.kaiming_uniform_(linear.weight)
# 打印
print(linear.weight.data)
print("-"*60)
python
def demo07():
print("7.xavier 初始化")
# 创建一个线性层,输入维度3,输出维度5
linear = nn.Linear(3, 5)
# 正态分布的xavier初始化
print("正态分布的xavier初始化")
# 对权重w 进行初始化
nn.init.xavier_normal_(linear.weight)
# 打印
print(linear.weight.data)
# 均匀分布的xavier初始化
print("均匀分布的xavier初始化")
# 对权重w 进行初始化
nn.init.xavier_uniform_(linear.weight)
# 打印
print(linear.weight.data)
print("-"*60)