目录
[(1)、数学公式(标准 GCN)](#(1)、数学公式(标准 GCN))
一、图神经网络架构pytorch
1.GCNConv
python
self.conv1 = GCNConv(in_dim, hidden_dim)
(1)、数学公式(标准 GCN)
(2)一个例子
图结构内容如下
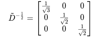
邻接矩阵 A(不含自环)
计算归一化系数
![]()
假设每个节点 1 维特征(为了好算):
线性变换权重 W
先算 XW
之后有
(3)、解释一下
对于每个结点来说,他的来源包括自己以及和自己相连的其他结点的内容。归一化就是让自己的数据/根号下结点的度 + 其他数据/根号下结点的度。但是由于度越大,结合的数据越多,所以还要在外面进行归一化,/根号下结点的度。
第一步计算每个结点和权重矩阵处理后的结果
第二步是每个结点的数据与他相连的数据,归一化后求和
第三步是 对计算的结果进行最后的归一化
2.归一化层
python
self.norm1 = nn.LayerNorm(hidden_dim)
不跨节点、不跨 batch、不关心图大小
(1).定义

(2).一个例子
假设某个节点经过 GCNConv 后:
h_i = [100, 0.1, -3, 2, 50]这会导致:
后面的 ReLU / Linear 非常不稳定
PPO 的 value / logit 很容易炸
LayerNorm 会把它拉成:
h_i ≈ [1.2, -0.8, -1.1, -0.6, 1.3]👉 形状不变,尺度统一
3.GATConv
python
self.conv1 = GATConv(in_dim, hidden_dim, heads=heads, concat=True) # 注意:concat=True 表示将每个头的输出拼接
(1)、如何计算的
🕐计算原始注意力系数:
🕑对所有邻居进行计算:
对于节点
i的每个邻居节点j,都需要计算上述的注意力系数。通过这种方式,我们可以得到所有邻居节点的注意力系数。注意这个邻居也包括他自己。🕑注意力系数的归一化
🕑加权聚合邻居特征:
(2)、多头注意力机制
把上面的过程复制几次,那么每个结点都可以得到很多个维度一样的特征,把这个特征拼接在一起,就是多头注意力机制。
下图中一条颜色的线,就可以表示一个注意力头。












