一、向量组及其线性组合
1、向量的定义

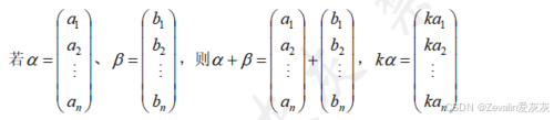
2、向量的加法与数乘
向量的加法与数乘和矩阵的加法与数乘基本一致,以列向量为例

3、向量的线性组合
(1)线性组合的定义:

(2)线性表示的概念:

(3)非齐次线性方程组与向量的线性组合关联:
以下四种描述是等效的,或者说,它们互为充要条件

对以上四个条件同时取否,它们依然互为充要条件

(4)矩阵方程与向量的线性组合关联:
以下种描述是等效的,或者说,它们互为充要条件

对以上四个条件同时取否,它们依然互为充要条件

4、向量组的等价

5、例题

二、向量组的线性相关性
1、线性相关与线性无关的定义
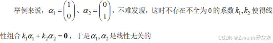
(1)线性相关的定义:

(2)线性无关的定义:


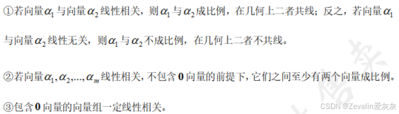
(3)几个典型结论:

2、向量组相关性的基本性质





3、例题







三、向量组的秩
1、极大无关组的两种定义

2、向量组的秩的定义

3、向量组的秩的性质


4、例题




四、线性方程组解的结构
1、齐次线性方程组解的结构



2、非齐次线性方程组解的结构



3、例题









五、向量空间
1、向量空间的相关概念
(1)向量空间的定义:

(2)基的定义:

(3)坐标的定义:


(4)基变换与过渡矩阵:

(5)坐标变换公式:


2、例题
