DCT 在视频有损压缩中的地位
在现代视频编码技术中(如 H.261 / MPEG-1/2 / H.263 / MPEG-4 / H.264 / H.265 ),离散余弦变换(Discrete Cosine Transform, DCT)是最核心的能量变换工具之一。
其主要作用是:将空间域中高度相关的像素信号,转换为频率域中能量高度集中的系数表示,从而为后续的量化(Quantization)和熵编码创造条件。
可以说:
DCT 是视频有损压缩中"损失发生之前的准备阶段",决定了压缩效率的上限。
为什么视频压缩需要 DCT
1. 视频信号的空间冗余
视频帧本质是二维图像,存在大量冗余特性:
- 相邻像素灰度高度相关
- 大块区域亮度变化平缓
- 人眼对高频细节不敏感
如果直接对像素编码:
- 数据量巨大
- 冗余无法消除
- 压缩效率极低
2. 变换编码的基本思想
DCT 属于正交变换编码,其核心思想是:
- 将像素值 → 一组频率分量
- 低频:图像主体信息
- 高频:纹理、噪声、细节
经过 DCT 后:
- 能量集中在低频系数
- 高频系数大量接近 0
- 非常适合进行"有损舍弃"
离散余弦变换的基本原理
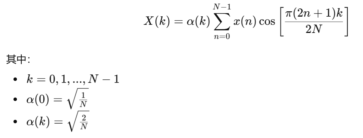
1. 一维 DCT 定义
对长度为 N 的离散信号 x(n),一维 DCT 定义为:

2. 二维 DCT(图像/视频实际使用)
视频编码中使用的是 二维 DCT:

常见变换块大小:
- JPEG / MPEG-2:8×8
- H.264:4×4、8×8(整数 DCT)
- H.265:可变变换单元(4×4~32×32)
DCT 的核心特性
1. 能量集中特性(Energy Compaction)
这是 DCT 被广泛采用的最重要原因:
- 图像中 90% 以上能量集中在低频
- 左上角 DC、低频 AC 系数占主导
- 高频系数趋近于 0
示意(频率分布):
低频 → → 高频
[ DC | AC | AC | ... ]
[ AC | | | ]
[ AC | | | ]
2. 去相关能力强
- 空间域像素相关性高
- DCT 后频率系数近似独立
- 非常适合后续熵编码(CABAC / CAVLC)
3. 正交、可逆(量化前)
- 正交矩阵
- 无失真反变换(IDCT)
- 损失只来自量化阶段,而非 DCT 本身
DCT 在视频编码流程中的位置
以 H.264 为例:
预测(帧内/帧间)
↓
残差计算(当前块 - 预测块)
↓
DCT / 整数变换
↓
量化(产生有损)
↓
熵编码
关键点:
- DCT 编码的是"残差",不是原图
- 残差能量更集中,DCT 效果更好
- 视频编码是"预测 + DCT"的组合压缩
DCT 与量化:有损压缩的真正发生点
1. 量化是"有损"的根源
DCT 本身不丢信息,真正的损失发生在:

- 低频:Qstep 小,保留精度
- 高频:Qstep 大,直接归零
2. 人眼视觉特性支撑有损
- 对亮度比色度敏感
- 对低频比高频敏感
- 对边缘方向更敏感
因此:
- 高频系数舍弃 → 视觉损失不明显
- 压缩比大幅提升
整数 DCT 与现代视频编码
1. 浮点 DCT 的问题
- 计算复杂
- 硬件实现困难
- 误差累积影响一致性
2. H.264 的整数变换
H.264 采用:
- 整数近似 DCT
- 完全可逆
- 编解码器结果一致
示例特点:
- 4×4 整数变换矩阵
- 位移和加法实现
- 极大提升实时性
DCT 带来的典型失真现象
1. 块效应(Blocking Artifact)
原因:
- DCT 以块为单位
- 高频被强量化
- 相邻块边界不连续
表现:
- 方块状边缘明显
- 低码率视频尤为突出
2. 振铃效应(Ringing)
原因:
- 高频截断
- 反变换产生波纹
表现:
- 边缘附近出现"水波纹"
现代编码通过:
- 去块滤波(Deblocking)
- SAO、ALF(H.265)
进行缓解。
总结
离散余弦变换是视频有损压缩的基石技术,其成功源于:
- 优秀的能量集中特性
- 与人眼视觉模型高度契合
- 与预测编码完美结合
- 计算复杂度与压缩效率平衡良好
虽然现代编码引入了更复杂的工具(自适应预测、可变块、环路滤波),但 DCT 及其整数变种依然是视频编码不可替代的核心模块。
没有 DCT,就没有高效的视频有损压缩。