通用树(N叉树)
一、通用树(N叉树)

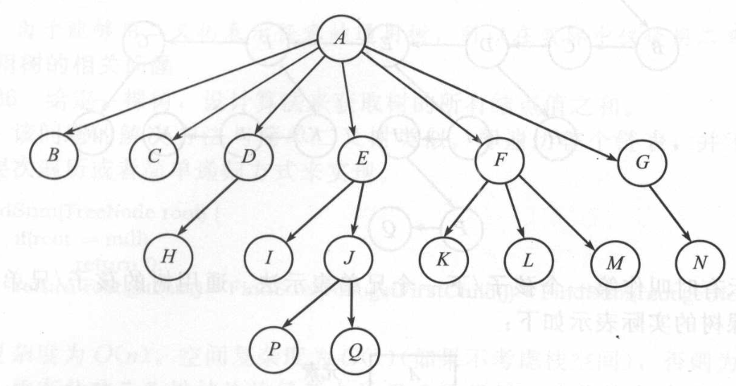
1.1、通用树的表示
- 同一个双亲结点(兄弟)的孩子结点从左至右排列。
- 双亲结点只指向第一个孩子结点,删除从双亲结点到其他孩子结点的链接。
上述的具体含义是,如果孩子结点之间有一条链路相连,那么双亲结点就不需要额外的指针指向所有的孩子结点。这是因为从双亲结点的第一个孩子结点开始就能够遍历所有的元素。因此,只要双亲结点用一个指针指向其第一个孩子结点,且同一个双亲结点的所有孩子结点之间都有链路,那么就能解决上面的问题。

这种表示有时叫作第一个孩子/下一个兄弟表示法。通用树的孩子/兄弟表示法如上图所示。这棵树的实际表示如下:

1.2、Java实现
java
public class TreeNode {
public int data;
public TreeNode firstChild;
public TreeNode nextSibling;
public TreeNode() {
}
public TreeNode(int data) {
this.data = data;
}
}
public class Tree {
private TreeNode root;
public Tree() {
}
public Tree(TreeNode root) {
this.root = root;
}
public TreeNode getRoot() {
return root;
}
public void setRoot(TreeNode root) {
this.root = root;
}
}
二、通用树相关问题
2.1、求通用树所有节点值之和
该问题的解决方法与简单二叉树类似。即遍历整个链表,并不断累加其值。可以使用层次遍历或者简单递归方式来实现。
时间复杂度为O(n),空间复杂度为O(1)如果不考虑栈空间,否则为O(n)。
java
/**
* 求通用树节点之和
* @param root
* @return
*/
public int findSum(TreeNode root) {
if (root == null)
return 0;
return root.data + findSum(root.firstChild) + findSum(root.nextSibling);
}
2.2、给定一个双亲节点数组,求树高度
给定一个双亲结点数组P,其中P[门是树的第个结点的双亲结点(假设根结点的双亲结点用一1表示)。设计算法获取树的高度或深度。
根据问题的定义,给定数组表示双亲结点数组。这意味着,需要考察数组对应的树,从而求出树的高度。
例如,如果数组P为:

其对应的树就是:

这棵给定树的深度为4。如果仔细观察可得,只需要从每一个结点开始,跟踪找其双亲结点直到找到一1为止,同时跟踪所有结点深度的最大值,就可以得到问题的解。
时间复杂度为O(n2),对于斜树,将重复计算出与i相同的值。空间复杂度为O(1)。
java
/**
* 给定一个双亲节点数组,求树高度
* @param p
* @param n
* @return
*/
public int findDepthInGenericTree(int[] p, int n) {
int maxDepth = -1, currentDepth = -1, j;
for (int i = 0; i < n; i++) {
currentDepth = 0;
j = i;
while (p[j] != -1) {
currentDepth++;
j = p[j];
}
if (currentDepth > maxDepth)
maxDepth = currentDepth;
}
return maxDepth;
}
2.3、给定一个节点,求其兄弟节点个数
对于树中一个给定结点,只需要遍历其所有的兄弟结点即可。
时间复杂度为O(n),空间复杂度为O(1)。
java
/**
* 兄弟节点个数
* @param current
* @return
*/
public int siblingsCount(TreeNode current) {
int count = 0;
while (current != null) {
count++;
current = current.nextSibling;
}
return count;
}